Comparative Study of Oil Recovery Using Amphoteric Terpolymer and Hydrolyzed Polyacrylamide
Abstract
:1. Introduction
- Its low cost;
 - Its commercial availability;
 - Its remarkable capability to increase viscosity;
 - Its acceptable and adjustable injectivity;
 - Its resistance to microbial degradation.
 
2. Experimental Part
2.1. Materials
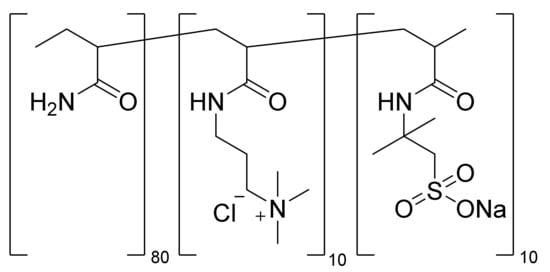
2.1.1. Polymers
2.1.2. Sand-Pack Models
2.1.3. Core Samples
2.1.4. Brine
2.1.5. Oil
2.2. Methods
2.2.1. Rheological Studies
2.2.2. Sand Pack and Core Flooding
- Vacuum the model for at least 10 min;
 - Saturate the model with brine using a high-pressure piston pump;
 - Displace brine with oil until irreducible water saturation is reached;
 - Simulate water flooding using one or, in some cases, more pore volumes of brine;
 - Simulate polymer flooding using several pore volumes of TPA or HPAM solutions.
 
3. Results and Discussion
3.1. Rheological Studies
3.2. Core and Sand-Pack Flooding Tests
3.2.1. Experiment 1
3.2.2. Experiments 2 and 3
3.2.3. Experiments 4 and 5
4. Conclusions
Author Contributions
Funding
Institutional Review Board Statement
Informed Consent Statement
Data Availability Statement
Acknowledgments
Conflicts of Interest
References
- Sydansk, R.D.; Romero-Zeron, L. Reservoir Conformance Improvement; SPE: Richardson, TX, USA, 2011. [Google Scholar]
 - Seright, R.S. How Much Polymer Should Be Injected during a Polymer Flood? Review of Previous and Current Practices. In Proceedings of the SPE Journal, Stavanger, Norway, 24–27 April 2017; p. 22. [Google Scholar] [CrossRef]
 - Kumar, S.; Mandal, A. Rheological Properties and Performance Evaluation of Synthesized Anionic Polymeric Surfactant for Its Application in Enhanced Oil Recovery. Polymer 2017, 120, 30–42. [Google Scholar] [CrossRef]
 - Samanta, A.; Bera, A.; Ojha, K.; Mandal, A. Effects of Alkali, Salts, and Surfactant on Rheological Behavior of Partially Hydrolyzed Polyacrylamide Solutions. J. Chem. Eng. Data 2010, 55, 4315–4322. [Google Scholar] [CrossRef]
 - Hernández, E.; Valero, E.; Rodríguez, I.; Guerra, E.; Espinoza, J.; Briceño, R.; Veliz, A. Enhancing the Recovery of an Extra Heavy Oil Reservoir by Using Low Salinity Polymer Flooding. In Proceedings of the SPE Latin American and Caribbean Petroleum Engineering Conference Proceedings, online, 27–31 July 2020. [Google Scholar]
 - Kudaibergenov, S.E.; Shayakhmetov, S.S.; Rafikov, S.R.; Bekturov, E.A. On Hydrodynamic Properties of Amphoteric Copolymers. Dokl. Acad. Nauk USSR 1979, 246, 147–149. [Google Scholar]
 - Nisato, G.; Munch, J.P.; Candau, S.J. Swelling, Structure, and Elasticity of Polyampholyte Hydrogels. Langmuir 1999, 15, 4236–4244. [Google Scholar] [CrossRef]
 - Kudaibergenov, S.E. Polyampholytes: Synthesis, Characterization and Application; Kluwer Academic/Plenum Publishers: New York, NY, USA, 2002. [Google Scholar]
 - Su, E.; Okay, O. Polyampholyte Hydrogels Formed via Electrostatic and Hydrophobic Interactions. Eur. Polym. J. 2017, 88, 191–204. [Google Scholar] [CrossRef]
 - Toleutay, G.; Shakhvorostov, A.V.; Kabdrakhmanova, S.K.; Kudaibergenov, S.E. Solution Behavior of Quenched or Strongly Charged Polyampholytes in Aqueous-Salt Solutions. Bull. Karaganda Univ. Chem. Ser. 2019, 94, 35–44. [Google Scholar] [CrossRef]
 - Khokhlov, A.R.; Starodubtzev, S.G.; Vasilevskaya, V.V. Conformational Transitions in Polymer Gels: Theory and Experiment. Adv. Polym. Sci. 1993, 109, 123–171. [Google Scholar]
 - Kudaibergenov, S. Polyampholytes: Past, Present, Perspectives; cop-almaty.kz: Almaty, Kazakhstan, 2021. [Google Scholar]
 - Nakahata, R.; Yusa, S. Solution Properties of Amphoteric Random Copolymers Bearing Pendant Sulfonate and Quaternary Ammonium Groups with Controlled Structures. Langmuir 2019, 35, 1690–1698. [Google Scholar] [CrossRef]
 - Kawata, Y.; Kozuka, S.; Yusa, S. Thermo-Responsive Behavior of Amphoteric Diblock Copolymers Bearing Sulfonate and Quaternary Amino Pendant Groups. Langmuir 2019, 35, 1458–1464. [Google Scholar] [CrossRef]
 - Ezell, R.G.; McCormick, C.L. Electrolyte- and PH-Responsive Polyampholytes with Potential as Viscosity-Control Agents in Enhanced Petroleum Recovery. J. Appl. Polym. Sci. 2007, 104, 2812–2821. [Google Scholar] [CrossRef]
 - McCormick, C.L.; Brent Johnson, C. Water-Soluble Polymers. 28. Ampholytic Copolymers of Sodium 2-Acrylamido-2-MethyIpropanesulfonate with (2-Acrylamido-2-Methylpropyl)Dimethylammonium Chloride: Synthesis and Characterization. Macromolecules 1988, 21, 686–693. [Google Scholar] [CrossRef]
 - Kathman, E.E.; Salazar, L.C.; McCormick, C.L. Copolymers of Sodium 2-Acrylamido-2-Methyl-Propanesulfonate with (2-Acrylamido-2-Methyl-Propyl) Trimethylammonium Chloride. Polym. Prepr. 1991, 32, 98–99. [Google Scholar]
 - McCormick, C.L.; Salazar, L.C. Water-Soluble Copolymers. 43. Ampholytic Copolymers of Sodium 2-(Acrylamido)-2-Methylpropanesulfonate with [2-(Acrylamido)-2-Methylpropyl]Trimethylammonium Chloride. Macromolecules 1992, 25, 1896–1900. [Google Scholar] [CrossRef]
 - McCormick, C.L.; Salazar, L.C. Water Soluble Copolymers: 44. Ampholytic Terpolymers of Acrylamide with Sodium 2-Acrylamido-2-Methylpropanesulphonate and 2-Acrylamido-2-Methylpropanetrimethyl-Ammonium Chloride. Polymer 1992, 33, 4384–4387. [Google Scholar] [CrossRef]
 - McCormick, C.L.; Salazar, L.C. Water Soluble Copolymers 45. Ampholytic Terpolymers of Acrylamide with Sodium 3-Acrylamido-3-Methylbutanoate and 2-Acrylamido-2-Methylpropane-Trimethylammonium Chloride. J. Appl. Polym. Sci. 1993, 47, 1115–1120. [Google Scholar] [CrossRef]
 - Fevola, M.J.; Bridges, J.K.; Kellum, M.C.; Hester, R.D.; McCormick, C.L. PH-Responsive Ampholytic Terpolymers of Acrylamide, Sodium 3-Acrylamido-3-Methylbutanoate, and (3-Acrylamidopropyl)Trimethylammonium Chloride. I. Synthesis and Characterization. J. Polym. Sci. Part A Polym. Chem. 2004, 42, 3236–3251. [Google Scholar] [CrossRef]
 - Fevola, M.J.; Kellum, M.G.; Hester, R.D.; McCormick, C.L. PH-Responsive Ampholytic Terpolymers of Acrylamide, Sodium 3-Acrylamido-3-Methylbutanoate, and (3-Acrylamidopropyl)Trimethylammonium Chloride. II. Solution Properties. J. Polym. Sci. Part A Polym. Chem. 2004, 42, 3252–3270. [Google Scholar] [CrossRef]
 - Quan, H.; Li, Z.; Huang, Z. Self-Assembly Properties of a Temperature- and Salt-Tolerant Amphoteric Hydrophobically Associating Polyacrylamide. RSC Adv. 2016, 6, 49281–49288. [Google Scholar] [CrossRef]
 - Kujawa, P.; Rosiak, J.M.; Selb, J.; Candau, F. Synthesis and Properties of Hydrophobically Modified Polyampholytes. Mol. Cryst. Liq. Cryst. Sci. Technol. Sect. A Mol. Cryst. Liq. Cryst. 2000, 354, 401–407. [Google Scholar] [CrossRef]
 - Kujawa, P.; Rosiak, J.M.; Selb, J.; Candau, F. Micellar Synthesis and Properties of Hydrophobically Associating Polyampholytes. Macromol. Chem. Phys. 2001, 202, 1384–1397. [Google Scholar] [CrossRef]
 - El-Hoshoudy, A.N.; Desouky, S.E.M.; Elkady, M.Y.; Alsabagh, A.M.; Betiha, M.A.; Mahmoud, S. Investigation of Optimum Polymerization Conditions for Synthesis of Cross-Linked Polyacrylamide-Amphoteric Surfmer Nanocomposites for Polymer Flooding in Sandstone Reservoirs. Int. J. Polym. Sci. 2015, 2015, 318708. [Google Scholar] [CrossRef] [Green Version]
 - Rabiee, A.; Ershad-Langroudi, A.; Jamshidi, H. Polyacrylamide-Based Polyampholytes and Their Applications. Rev. Chem. Eng. 2014, 30, 501–519. [Google Scholar] [CrossRef]
 - Kudaibergenov, S.E.; Okay, O. Behaviors of Quenched Polyampholytes in Solution and Gel State. Polym. Adv. Technol. 2021, 32, 2639–2654. [Google Scholar] [CrossRef]
 - Mukhametgazy, N.; Gussenov, I.S.; Shakhvorostov, A.V.; Kudaibergenov, S.E. Salt Tolerant Acrylamide-Based Quenched Polyampholytes for Polymer Flooding. Bull. Karaganda Univ. Chem. Ser. 2020, 100, 119–127. [Google Scholar] [CrossRef]
 - Gussenov, I.; Mukhametgazy, N.; Shakhvorostov, A.; Kudaibergenov, S. Synthesis and Characterization of High Molecular Weight Amphoteric Terpolymer Based on Acrylamide, 2-Acrylamido-2-Methyl-1-Propanesulfonic Acid Sodium Salt and (3-Acrylamidopropyl)Trimethylammonium Chloride for Oil Recovery. Chem. Bull. Kazakh Natl. Univ. 2021, 103, 12–20. [Google Scholar] [CrossRef]
 - Zhou, Z.; Slaný, M.; Kuzielová, E.; Zhang, W.; Ma, L.; Dong, S.; Zhang, J.; Chen, G. Influence of Reservoir Minerals and Ethanol on Catalytic Aquathermolysis of Heavy Oil. Fuel 2022, 307, 121871. [Google Scholar] [CrossRef]
 - Seright, R.S.; Wang, D.; Lerner, N.; Nguyen, A.; Sabid, J.; Tochor, R. Can 25-Cp Polymer Solution Efficiently Displace 1,600-Cp Oil During Polymer Flooding? SPE J. 2018, 23, 2260–2278. [Google Scholar] [CrossRef]
 - Du, W.; Slaný, M.; Wang, X.; Chen, G.; Zhang, J. The Inhibition Property and Mechanism of a Novel Low Molecular Weight Zwitterionic Copolymer for Improving Wellbore Stability. Polymers 2020, 12, 708. [Google Scholar] [CrossRef] [Green Version]
 - Kamal, M.S.; Sultan, A.S.; Al-Mubaiyedh, U.A.; Hussein, I.A. Review on Polymer Flooding: Rheology, Adsorption, Stability, and Field Applications of Various Polymer Systems. Polym. Rev. 2015, 55, 491–530. [Google Scholar] [CrossRef]
 - Han, X.; Li, C.; Pan, F.; Li, Y.; Feng, Y. A Comparative Study on Enhancing Oil Recovery with Partially Hydrolyzed Polyacrylamide: Emulsion versus Powder. Can. J. Chem. Eng. 2022, 100, 1336–1348. [Google Scholar] [CrossRef]
 














| Salinity (g∙L−1) | Concentration of Salts (g∙L−1) | ||
|---|---|---|---|
| NaCl | CaCl2 | MgCl2 | |
| 200 | 180 | 10 | 10 | 
| 232 | 208.8 | 11.6 | 11.6 | 
| 250 | 225 | 12.5 | 12.5 | 
| 300 | 270 | 15 | 15 | 
| Date | Aging Time, Days | Dynamic Viscosity, (±1 cp) | |
|---|---|---|---|
| TPA | HPAM | ||
| 6 October 2021 | 0 | 26 | 28 | 
| 8 October 2021 | 2 | 26 | 27 | 
| 11 October 2021 | 5 | 25 | 25 | 
| 14 October 2021 | 8 | 25 | 22 | 
| 19 October 2021 | 13 | 23 | 21 | 
| 21 October 2021 | 15 | 22 | 20 | 
| Experiment | Polymer Used | Stabilized Oil Pressure Drops (MPa) | Stabilized Water Pressure Drops (MPa) | Mobility Ratio | 
|---|---|---|---|---|
| 4 | TPA | 0.044 | 0.005 | 8.8 | 
| 5 | HPAM | 0.02 | 0.005 | 4 | 
Publisher’s Note: MDPI stays neutral with regard to jurisdictional claims in published maps and institutional affiliations.  | 
© 2022 by the authors. Licensee MDPI, Basel, Switzerland. This article is an open access article distributed under the terms and conditions of the Creative Commons Attribution (CC BY) license (https://creativecommons.org/licenses/by/4.0/).
Share and Cite
Gussenov, I.S.; Mukhametgazy, N.; Shakhvorostov, A.V.; Kudaibergenov, S.E. Comparative Study of Oil Recovery Using Amphoteric Terpolymer and Hydrolyzed Polyacrylamide. Polymers 2022, 14, 3095. https://doi.org/10.3390/polym14153095
Gussenov IS, Mukhametgazy N, Shakhvorostov AV, Kudaibergenov SE. Comparative Study of Oil Recovery Using Amphoteric Terpolymer and Hydrolyzed Polyacrylamide. Polymers. 2022; 14(15):3095. https://doi.org/10.3390/polym14153095
Chicago/Turabian StyleGussenov, Iskander Sh., Nurbatyr Mukhametgazy, Alexey V. Shakhvorostov, and Sarkyt E. Kudaibergenov. 2022. "Comparative Study of Oil Recovery Using Amphoteric Terpolymer and Hydrolyzed Polyacrylamide" Polymers 14, no. 15: 3095. https://doi.org/10.3390/polym14153095
APA StyleGussenov, I. S., Mukhametgazy, N., Shakhvorostov, A. V., & Kudaibergenov, S. E. (2022). Comparative Study of Oil Recovery Using Amphoteric Terpolymer and Hydrolyzed Polyacrylamide. Polymers, 14(15), 3095. https://doi.org/10.3390/polym14153095
        
                                                
