Modified Molecular Chain Displacement Analysis Employing Electro-Mechanical Threshold Energy Condition for Direct Current Breakdown of Low-Density Polyethylene
Abstract
:1. Introduction
2. Analysis Setup and Test Conditions
3. Analysis of Space Charge Transport and Electric Field Distribution
3.1. Bipolar Charge Transport Model
3.2. Heat Transfer Model
3.3. Characteristics of Space Charge Transport Resulting in the Maximum Electric Field Strength
4. Prediction of Breakdown Strength with Electro-Mechanical Threshold Energy Condition
4.1. Modified Molecular Chain Displacement Model
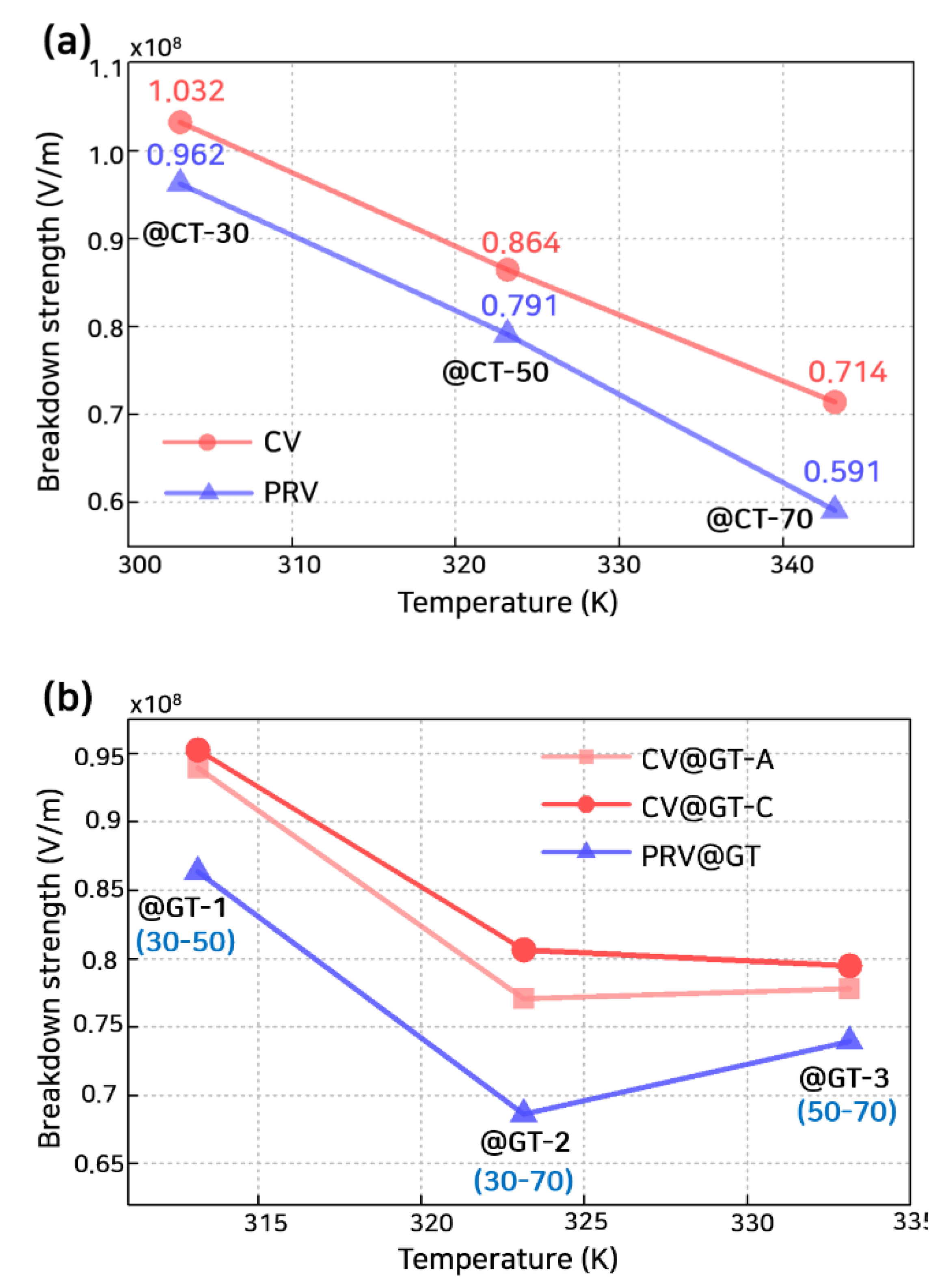
4.2. Analysis Results of Breakdown Strength
5. Discussion
6. Conclusions
Supplementary Materials
Author Contributions
Funding
Institutional Review Board Statement
Informed Consent Statement
Data Availability Statement
Acknowledgments
Conflicts of Interest
Abbreviations
| CT | Constant temperature |
| CV | Constant voltage |
| FEF | Field enhancement factor |
| MCD | Molecular chain displacement |
| M-MCD | Modified molecular chain displacement |
| PRV | Polarity-reversal voltage |
References
- Min, D.; Yan, C.; Mi, R.; Ma, C.; Huang, Y.; Li, S.; Wu, Q.; Xing, Z. Carrier Transport and Molecular Displacement Modulated dc Electrical Breakdown of Polypropylene Nanocomposites. Polymers 2018, 10, 1207. [Google Scholar] [CrossRef] [Green Version]
- Li, J.; Du, B.; Su, J.; Liang, H.; Liu, Y. Surface Layer Fluorination-Modulated Space Charge Behaviors in HVDC Cable Accessory. Polymers 2018, 10, 500. [Google Scholar] [CrossRef] [Green Version]
- Bian, W.; Wang, W.; Yang, Y. A Self-Healing and Electrical-Tree-Inhibiting Epoxy Composite with Hydrogen-Bonds and SiO2 Particles. Polymers 2017, 9, 431. [Google Scholar] [CrossRef] [Green Version]
- Hoang, A.T.; Serdyuk, Y.V.; Gubanski, S.M. Charge Transport in LDPE Nanocomposites Part II—Computational Approach. Polymers 2016, 8, 103. [Google Scholar] [CrossRef]
- Li, G.; Wang, J.; Han, W.; Wei, Y.; Li, S. Influence of Temperature on Charge Accumulation in Low-Density Polyethylene Based on Depolarization Current and Space Charge Decay. Polymers 2019, 11, 587. [Google Scholar] [CrossRef] [Green Version]
- Andersson, M.; Hynynen, J.; Andersson, M.; Englund, V.; Hagstrand, P.-O.; Gkourmpis, T.; Müller, C. Highly Insulating Polyethylene Blends for High-Voltage Direct-Current Power Cables. ACS Macro Lett. 2017, 6, 78–82. [Google Scholar] [CrossRef]
- Li, X.; Guo, Q.; Yang, F.; Sun, X.; Li, W.; Yao, Z. Electrical Properties of LLDPE/LLDPE-g-PS Blends with Carboxylic Acid Functional Groups for Cable Insulation Applications. ACS Appl. Polym. Mater. 2020, 2, 3450–3457. [Google Scholar] [CrossRef]
- Montanari, G.C. Bringing an insulation to failure: The role of space charge. IEEE Trans. Dielectr. Electr. Insul. 2011, 18, 339–364. [Google Scholar] [CrossRef]
- Pleşa, I.; Noţingher, P.V.; Stancu, C.; Wiesbrock, F.; Schlögl, S. Polyethylene Nanocomposites for Power Cable Insulations. Polymers 2019, 11, 24. [Google Scholar] [CrossRef] [PubMed] [Green Version]
- Fabiani, D.; Montanari, G.C.; Laurent, C.; Teyssedre, G.; Morshuis, P.; Bodega, R.; Dissado, L.; Campus, A.; Nilsson, U.H. Polymeric HVDC Cable Design and Space Charge Accumulation. Part 1: Insulation/Semicon Interface. IEEE Electr. Insul. Mag. 2007, 23, 11–19. [Google Scholar] [CrossRef]
- Zhou, Y.; Peng, S.; Hu, J.; He, J. Polymeric insulation materials for HVDC cables: Development, challenges and future perspective. IEEE Trans. Dielectr. Electr. Insul. 2017, 24, 1308–1318. [Google Scholar] [CrossRef]
- Bodega, R. Space Charge Accumulation in Polymeric High Voltage DC Cable Systems. Ph.D. Thesis, Technische Universiteit Delft, Delft, The Netherlands, 2006. [Google Scholar]
- Min, D.; Li, Y.; Yan, C.; Xie, D.; Li, S.; Wu, Q.; Xing, Z. Thickness-Dependent DC Electrical Breakdown of Polyimide Modulated by Charge Transport and Molecular Displacement. Polymers 2018, 10, 1012. [Google Scholar] [CrossRef] [Green Version]
- Chen, X.; Wang, X.; Wu, K.; Peng, Z.R.; Cheng, Y.H.; Tu, D.M. Effect of voltage reversal on space charge and transient field in LDPE films under temperature gradient. IEEE Trans. Dielectr. Electr. Insul. 2012, 19, 140–149. [Google Scholar] [CrossRef]
- Chen, X.; Wang, X.; Wu, K.; Peng, Z.; Cheng, Y.; Tu, D. Space charge measurement in LPDE films under temperature gradient and DC stress. IEEE Trans. Dielectr. Electr. Insul. 2010, 17, 1796–1805. [Google Scholar] [CrossRef]
- Fabiani, D.; Montanari, G.; Laurent, C.; Teyssedre, G.; Morshuis, P.; Bodega, R.; Dissado, L. HVDC Cable Design and Space Charge Accumulation. Part 3: Effect of Temperature Gradient [Feature article]. IEEE Electr. Insul. Mag. 2008, 24, 5–14. [Google Scholar] [CrossRef]
- Takada, T.; Tohmine, T.; Tanaka, Y.; Li, J. Space charge accumulation in double-layer dielectric systems—measurement methods and quantum chemical calculations. IEEE Electr. Insul. Mag. 2019, 35, 36–46. [Google Scholar] [CrossRef]
- Takada, T.; Tanaka, Y.; Adachi, N.; Qin, X. Comparison between the PEA method and the PWP method for space charge measurement in solid dielectrics. IEEE Trans. Dielectr. Electr. Insul. 1998, 5, 944–951. [Google Scholar] [CrossRef]
- Ono, R.; Nakazawa, M.; Oda, T. Charge storage in corona-charged polypropylene films analyzed by LIPP and TSC methods. IEEE Trans. Ind. Appl. 2004, 40, 1482–1488. [Google Scholar] [CrossRef]
- Jiang, X.; Sima, W.; Chen, G.; Peng, Q.; Sun, P. Physicochemical Characteristics and Dynamic Charge Mapping in Thermally Aged Two-Layered Polymer Considering Surface States: Experiment and Simulation. Polymers 2020, 12, 634. [Google Scholar] [CrossRef] [Green Version]
- Tian, F.; Zhang, S.; Hou, C. Effects of Trapping Characteristics on Space Charge and Electric Field Distributions in HVDC Cable under Electrothermal Stress. Energies 2021, 14, 1313–2021. [Google Scholar] [CrossRef]
- Le Roy, S.; Teyssedre, G.; Segur, P.; Laurent, C. Modelling of space charge, electroluminescence and current in low density polyethylene under DC and AC field. In Proceedings of the the 17th Annual Meeting of the IEEE Lasers and Electro-Optics Society, LEOS 2004, Boulder, CO, USA, 20 October 2004; pp. 29–32. [Google Scholar]
- Baudoin, F.; Le Roy, S.; Teyssedre, G.; Laurent, C. Bipolar charge transport model with trapping and recombination: An analysis of the current versus applied electric field characteristic in steady state conditions. J. Phys. D Appl. Phys. 2007, 41, 025306. [Google Scholar] [CrossRef]
- Miyairi, K.; Yamada, T. High Field Conduction Current and Electric Breakdown in Polyethylene. Jpn. J. Appl. Phys. 1977, 16, 1449–1450. [Google Scholar] [CrossRef]
- Min, D.; Li, S.; Ohki, Y. Numerical simulation on molecular displacement and DC breakdown of LDPE. IEEE Trans. Dielectr. Electr. Insul. 2016, 23, 507–516. [Google Scholar] [CrossRef]
- Li, Z.; Fan, M.; Zhong, Z.; Du, B. Coupling Effect of Molecular Chain Displacement and Carrier Trap Characteristics on DC Breakdown of HDPE/LDPE Blend Insulation. Polymers 2020, 12, 589. [Google Scholar] [CrossRef] [Green Version]
- Shen, Z.; Wang, J.-J.; Jiang, J.-Y.; Huang, S.X.; Lin, Y.-H.; Nan, C.-W.; Chen, L.-Q.; Shen, Y. Phase-field modeling and machine learning of electric-thermal-mechanical breakdown of polymer-based dielectrics. Nat. Commun. 2019, 10, 1–10. [Google Scholar] [CrossRef]
- Fothergill, J.C. Filamentary electromechanical breakdown in polymers. In Proceedings of the 4th International Conference on Conduction and Breakdown in Solid Dielectrics, ICSD, Sestri Levante, Italy, 22–25 June 1992; pp. 323–327. [Google Scholar] [CrossRef]
- Pallon, L.K.H.; Nilsson, F.; Yu, S.; Liu, D.; Diaz, A.; Holler, M.; Chen, X.; Gubanski, S.; Hedenqvist, M.S.; Olsson, R.T.; et al. Three-Dimensional Nanometer Features of Direct Current Electrical Trees in Low-Density Polyethylene. Nano Lett. 2017, 17, 1402–1408. [Google Scholar] [CrossRef]
- Hao, J.; Li, Y.; Liao, R.; Liu, G.; Liao, Q.; Tang, C. Fabrication of Al2O3 Nano-Structure Functional Film on a Cellulose Insulation Polymer Surface and Its Space Charge Suppression Effect. Polymers 2017, 9, 502. [Google Scholar] [CrossRef] [PubMed] [Green Version]
- Braun, M.; Aranda-Ruiz, J.; Fernández-Sáez, J. Mixed Mode Crack Propagation in Polymers Using a Discrete Lattice Method. Polymers 2021, 13, 1290. [Google Scholar] [CrossRef]
- Boufayed, F.; Leroy, S.; Teyssedre, G.; Laurent, C.; Ségur, P.; Dissado, L.; Montanari, G. Simulation of bipolar charge transport in polyethylene featuring trapping and hopping conduction through an exponential distribution of traps. In Proceedings of the 2005 International Symposium on Electrical Insulating Materials, ISEIM 2005, Kitakyushu, Japan, 5–9 June 2005; Volume 2, p. 340. [Google Scholar]
- Chen, J.; Gao, Y.; Zhu, M.; Li, J.; Yu, Q. Space charge dynamics in double-layered insulation cable under polarity reversal voltage. IEEE Trans. Dielectr. Electr. Insul. 2020, 27, 622–630. [Google Scholar] [CrossRef]
- Takada, T.; Miyake, H.; Tanaka, Y.; Yoshida, M. Quantum chemical calculation studies on interface charge transfer between electrode and polyethylene under electrical stress. In Proceedings of the 2014 International Symposium on Electrical Insulating Materials, Niigata, Japan, 1–5 June 2014; pp. 97–100. [Google Scholar]
- Zhang, S.; Liu, Y. Simulation of space charge accumulation in LDPE under temperature gradient with temperature-dependent parameters. In Proceedings of the 2018 12th International Conference on the Properties and Applications of Dielectric Materials (ICPADM), Xi’an, China, 20–24 May 2018; Volume 2018, pp. 1028–1032. [Google Scholar]
- Fu, M.; Dissado, L.; Chen, G.; Fothergill, J.C. Space charge formation and its modified electric field under applied voltage reversal and temperature gradient in XLPE cable. IEEE Trans. Dielectr. Electr. Insul. 2008, 15, 851–860. [Google Scholar] [CrossRef] [Green Version]
- Min, D.; Wang, W.; Li, S. Numerical analysis of space charge accumulation and conduction properties in LDPE nanodielectrics. IEEE Trans. Dielectr. Electr. Insul. 2015, 22, 1483–1491. [Google Scholar] [CrossRef]
- Dissado, L.A.; Fothergill, J.C. Electrical Degradation and Breakdown in Polymers; The Institution of Engineering and Technology: Stevenage, UK, 1992; Volume 1. [Google Scholar]
- Kim, M.; Kim, S.-H.; Lee, S.-H. Numerical Prediction of DC Breakdown Characteristics in LDPE with Current Profile as Critical Index. IEEE Access 2020, 8, 200051–200062. [Google Scholar] [CrossRef]
- Kim, M.; Kim, S.-H.; Lee, S.-H. Finite Element Analysis of the Breakdown Prediction for LDPE Stressed by Various Ramp Rates of DC Voltage Based on Molecular Displacement Model. Energies 2020, 13, 1320. [Google Scholar] [CrossRef] [Green Version]
- Han, C.; Du, B.X.; Li, J.; Li, Z.; Tanaka, T. Investigation of charge transport and breakdown properties in XLPE/GO nanocomposites part 2: Effect of polarity reversal. IEEE Trans. Dielectr. Electr. Insul. 2020, 27, 1213–1221. [Google Scholar] [CrossRef]
- Zhonglei, L.; Boxue, D. Polymeric insulation for high-voltage dc extruded cables: Challenges and development directions. IEEE Electr. Insul. Mag. 2018, 34, 30–43. [Google Scholar] [CrossRef]
- Kaneko, K. Effect of space charge on the breakdown strength under polarity reversal. Electr. Eng. Jpn. 1986, 106, 25–33. [Google Scholar] [CrossRef]
- Zhu, L.; Du, B.; Hou, K. Effects of Temperature Gradient on Electrical Tree Initiation and Breakdown Phenomenon in XLPE under Harmonic Superimposed DC Voltage. IEEE Access 2021, 9, 7586–7596. [Google Scholar] [CrossRef]
- Kadowaki, K.; Nakashiki, Y.; Nishimoto, S.; Kitani, I. Long time range breakdown due to field distortion in polyethylene under temperature gradient. In Proceedings of the 2004 IEEE International Conference on Solid Dielectrics, ICSD 2004, Toulouse, France, 5–9 July 2004; Volume 1, pp. 236–239. [Google Scholar]
- Li, J.; Wang, M.; Guo, Y.; Ma, Z.; Han, X.; Jiang, J.; Du, B.; Takada, T. Research Progress of Quantum Chemical Calculation for Mechanisms in Charge Transportation and Insulation Failure. In Proceedings of the 2020 IEEE 3rd International Conference on Dielectrics (ICD), Valencia, Spain, 5–31 July 2020; pp. 493–496. [Google Scholar]
- Merah, N.; Saghir, F.; Khan, Z.; Bazoune, A. Effect of temperature on tensile properties of HDPE pipe material. Plast. Rubber Compos. 2006, 35, 226–230. [Google Scholar] [CrossRef]
- Mallick, P.K.; Zhou, Y. Yield and fatigue behavior of polypropylene and polyamide-6 nanocomposites. J. Mater. Sci. 2003, 38, 3183–3190. [Google Scholar] [CrossRef]
- Gupta, S.; Dixit, M.; Sharma, K.; Saxena, N. Mechanical study of metallized polyethylene terephthalate (PET) films. Surf. Coat. Technol. 2009, 204, 661–666. [Google Scholar] [CrossRef]











| Applied Voltage | Temperature (°C) | |
|---|---|---|
| Constant | Gradient (Anode-Cathode) | |
| One-directional constant voltage (CV) | 30 (@CT30) 50 (@CT50) 70 (@CT70) | Heated Anode 30~50 (@GT-A1) 30~70 (@GT-A2) 50~70 (@GT-A3) Heated Cathode 50~30 (@GT-C1) 70~30 (@GT-C2) 70~50 (@GT-C3) |
| Polarity-reversal voltage (PRV) | 30 (@CT30) 50 (@CT50) 70 (@CT70) | 30~50 (@GT-1) 30~70 (@GT-2) 50~70 (@GT-3) |
Publisher’s Note: MDPI stays neutral with regard to jurisdictional claims in published maps and institutional affiliations. |
© 2021 by the authors. Licensee MDPI, Basel, Switzerland. This article is an open access article distributed under the terms and conditions of the Creative Commons Attribution (CC BY) license (https://creativecommons.org/licenses/by/4.0/).
Share and Cite
Kim, M.; Lee, S.-H. Modified Molecular Chain Displacement Analysis Employing Electro-Mechanical Threshold Energy Condition for Direct Current Breakdown of Low-Density Polyethylene. Polymers 2021, 13, 2746. https://doi.org/10.3390/polym13162746
Kim M, Lee S-H. Modified Molecular Chain Displacement Analysis Employing Electro-Mechanical Threshold Energy Condition for Direct Current Breakdown of Low-Density Polyethylene. Polymers. 2021; 13(16):2746. https://doi.org/10.3390/polym13162746
Chicago/Turabian StyleKim, Minhee, and Se-Hee Lee. 2021. "Modified Molecular Chain Displacement Analysis Employing Electro-Mechanical Threshold Energy Condition for Direct Current Breakdown of Low-Density Polyethylene" Polymers 13, no. 16: 2746. https://doi.org/10.3390/polym13162746
APA StyleKim, M., & Lee, S.-H. (2021). Modified Molecular Chain Displacement Analysis Employing Electro-Mechanical Threshold Energy Condition for Direct Current Breakdown of Low-Density Polyethylene. Polymers, 13(16), 2746. https://doi.org/10.3390/polym13162746

