The Prospering of Macromolecular Materials Based on Plant Oils within the Blooming Field of Polymers from Renewable Resources †
Abstract
1. Introduction
2. Vegetable Oils: A Unique Source of Chemicals and Monomers
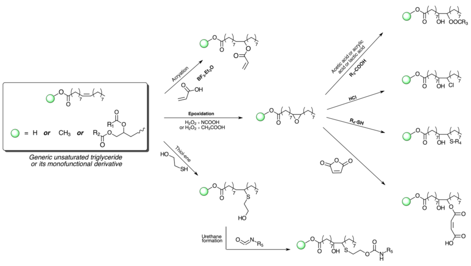
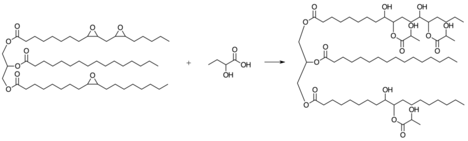
3. Branched and Crosslinked Polymers Based on Pristine or Chemically Modified Triglycerides
4. Linear Polymers Based on Fatty Acids or Their Ensuing Derivatives
5. Vegetable Oils-Based Composite Materials
6. The Case of Tung Oil: An Old Ally for Original Materials
7. Conclusions
Author Contributions
Funding
Institutional Review Board Statement
Informed Consent Statement
Data Availability Statement
Acknowledgments
Conflicts of Interest
References
- Belgacem, M.N.; Gandini, A. (Eds.) Monomers Polymers and Composites from Renewable Resources; Elsevier: Amsterdam, The Neterlands, 2008; 552p. [Google Scholar]
- Gandini, A.; Lacerda, T.M. Polymers from Renewable Resources: Macromolecular Materials for the XXI Century? In Macro-molecular Engineering: From Precise Synthesis to Macroscopic Materials and Applications, 2nd ed.; Gnanou, Y., Hadjichristidis, N., Matyjaszewski, K., Muthukumar, M., Sheiko, S., Eds.; John Wiley & Sons: Hoboken, NJ, USA, 2021; in press. [Google Scholar]
- Stadler, B.M.; Wulf, C.; Werner, T.; Tin, S.; De Vries, J.G. Catalytic Approaches to Monomers for Polymers Based on Renewables. ACS Catal. 2019, 9, 8012–8067. [Google Scholar] [CrossRef]
- Kawashima, N.; Yagi, T.; Kojima, K. How Do Bioplastics and Fossil-Based Plastics Play in a Circular Economy? Macromol. Mater. Eng. 2019, 304, 1900383. [Google Scholar] [CrossRef]
- Hillmyer, M.A. The promise of plastics from plants. Science 2017, 358, 868–870. [Google Scholar] [CrossRef] [PubMed]
- Gandini, A.; Lacerda, T.M. Polymers from Plant Oils, 2nd ed.; John Wiley & Sons: Hoboken, NJ, USA; Scrivener Publishing: Beverly, MA, USA, 2019. [Google Scholar]
- Demchuk, Z.; Wu, N.; Pourhashem, G.; Voronov, A. Life Cycle Environmental Impact Considerations in the Design of Soybean Oil-Based Acrylic Monomers. ACS Sustain. Chem. Eng. 2020, 8, 12870. [Google Scholar] [CrossRef]
- Latif, F.E.A.; Abidin, Z.Z.; Cardona, F.; Biak, D.R.A.; Abdan, K.; Tahir, P.M.; Ern, L.K. Bio-Resin Production through Ethylene Unsaturated Carbon Using Vegetable Oils. Processes 2020, 8, 48. [Google Scholar] [CrossRef]
- Mucci, V.L.; Hormaiztegui, M.E.V.; Aranguren, M.I. Plant Oil-Based Waterborne Polyurethanes: A Brief Review. J. Renew. Mater. 2020, 8, 579–601. [Google Scholar] [CrossRef]
- Carré, C.; Ecochard, Y.; Caillol, S.; Avérous, L. From the Synthesis of Biobased Cyclic Carbonate to Polyhydroxyurethanes: A Promising Route towards Renewable Non-Isocyanate Polyurethanes. ChemSusChem 2019, 12, 3410–3430. [Google Scholar] [CrossRef]
- John, G.; Nagarajan, S.; Vemula, P.K.; Silverman, J.R.; Pillai, C.K.S. Natural monomers: A mine for functional and sustainable materials—Occurrence, chemical modification and polymerization. Prog. Polym. Sci. 2019, 92, 158–209. [Google Scholar] [CrossRef]
- Molina-Gutierrez, S.; Ladmiral, V.; Bongiovanni, R.; Caillol, S.; Lacroix-Desmazes, P. Radical polymerization of biobased monomers in aqueous dispersed media. Green Chem. 2019, 21, 36–53. [Google Scholar] [CrossRef]
- Lomège, J.; Lapinte, V.; Negrell, C.; Robin, J.-J.; Caillol, S. Fatty Acid-Based Radically Polymerizable Monomers: From Novel Poly(meth)acrylates to Cutting-Edge Properties. Biomacromolecules 2019, 20, 4–26. [Google Scholar] [CrossRef]
- Web of Science. Available online: www.webofknowledge.com (accessed on 9 March 2021).
- Finnveden, M.; Hendil-Forssell, P.; Claudino, M.; Johansson, M.; Martinelle, M. Lipase-Catalyzed Synthesis of Renewable Plant Oil-Based Polyamides. Polymers 2019, 11, 1730. [Google Scholar] [CrossRef]
- Tai, Y.-S.; Zhang, K. Enzyme-assisted synthesis of plant oil-based polymers. In Bio-Based Plant Oil Polymers and Composites; Madbouly, S.A., Zhang, C., Kessler, M., Eds.; William Andrew Publishing; Elsevier: Amsterdam, The Neterlands, 2016. [Google Scholar] [CrossRef]
- Zarski, A.; Bajer, K.; Zarska, S.; Kapusniak, J. From high oleic vegetable oils to hydrophobic starch derivatives: I. Development and structural studies. Carbohydr. Polym. 2019, 214, 124–130. [Google Scholar] [CrossRef]
- Kerenkan, A.E.; Béland, F.; Do, T.-O. Chemically catalyzed oxidative cleavage of unsaturated fatty acids and their derivatives into valuable products for industrial applications: A review and perspective. Catal. Sci. Technol. 2015, 6, 971–987. [Google Scholar] [CrossRef]
- Tao, B.Y. Industrial Applications for Plant Oils and Lipids. In Bioprocessing for Value-Added Products from Renewable Resources; Yang, S., Ed.; Elsevier: Amsterdam, The Netherlands, 2007. [Google Scholar]
- Hill, K. Fats and oils as oleochemical raw materials. Pure Appl. Chem. 2000, 72, 1255–1264. [Google Scholar] [CrossRef]
- Lee, H.; Sugiharto, Y.E.C.; Lee, H.; Jeon, W.; Ahn, J.; Lee, H. Biotransformation of dicarboxylic acids from vegetable oil–derived sources: Current methods and suggestions for improvement. Appl. Microbiol. Biotechnol. 2019, 103, 1545–1555. [Google Scholar] [CrossRef]
- Zhang, C.; Garrison, T.F.; Madbouly, S.A.; Kessler, M.R. Recent advances in vegetable oil-based polymers and their composites. Prog. Polym. Sci. 2017, 71, 91–143. [Google Scholar] [CrossRef]
- Biermann, U.; Bornscheuer, U.T.; Feussner, I.; Meier, M.; Metzger, J.O. Fatty Acids and their Derivatives as Renewable Platform Molecules for the Chemical Industry. Angew. Chem. Int. Ed. 2021. [Google Scholar] [CrossRef]
- Gandini, A.; Lacerda, T.M. The Prospering of Macromolecular Materials Based on Plant Oils within the Blooming Field of Polymers from Renewable Resources. Proceedings 2020, 69, 26. [Google Scholar] [CrossRef]
- United States Department of Agriculture (USDA). Available online: https://www.fas.usda.gov/psdonline/circulars/oilseeds.pdf (accessed on 11 March 2021).
- Nde, D.B.; Foncha, A.C. Optimization Methods for the Extraction of Vegetable Oils: A Review. Processes 2020, 8, 209. [Google Scholar] [CrossRef]
- Wool, R.P.; Sun, X.S. Bio-Based Polymers and Composites; Elsevier: New York, NY, USA, 2005. [Google Scholar]
- Scrimgeour, C.; Gao, Y.; Oh, W.Y.; Shahidi, F. Chemistry of Fatty Acids. In Bailey’s Industrial Oil and Fat Products; Shahidi, F., Ed.; John Wiley & Sons: New York, NY, USA, 2021. [Google Scholar] [CrossRef]
- Meier, M.A.R.; Metzger, J.O.; Schubert, U.S. Plant oil renewable resources as green alternatives in polymer science. Chem. Soc. Rev. 2007, 36, 1788–1802. [Google Scholar] [CrossRef]
- Biermann, U.; Friedt, W.; Lang, S.; Lühs, W.; Machmüller, G.; Metzger, J.O.; Klaas, M.R.G.; Schäfer, H.J.; Schneider, M.P. New Syntheses with Oils and Fats as Renewable Raw Materials for the Chemical Industry. Angew. Chem. Int. Ed. 2000, 39, 2206–2224. [Google Scholar] [CrossRef]
- Fraile, J.M.; García, J.I.; Herrerías, C.I.; Pires, E. Synthetic Transformations for the Valorization of Fatty Acid Derivatives. Synthesis 2017, 49, 1444–1460. [Google Scholar] [CrossRef]
- Biermann, U.; Bornscheuer, U.; Meier, M.A.R.; Metzger, J.O.; Schäfer, H.J. Oils and Fats as Renewable Raw Materials in Chemistry. Angew. Chem. Int. Ed. 2011, 50, 3854–3871. [Google Scholar] [CrossRef] [PubMed]
- Türünç, O.; Billiet, S.; De Bruycker, K.; Ouardad, S.; Winne, J.; Du Prez, F.E. From plant oils to plant foils: Straightforward functionalization and crosslinking of natural plant oils with triazolinediones. Eur. Polym. J. 2015, 65, 286–297. [Google Scholar] [CrossRef]
- McNutt, J.; He, Q. Development of biolubricants from vegetable oils via chemical modification. J. Ind. Eng. Chem. 2016, 36, 1–12. [Google Scholar] [CrossRef]
- Berenblyum, A.S.; Danyushevsky, V.Y.; Kuznetsov, P.S.; Katsman, E.A.; Shamsiev, R.S. Catalytic methods for the manufacturing of high-production volume chemicals from vegetable oils and fats (review). Pet. Chem. 2016, 56, 663–671. [Google Scholar] [CrossRef]
- Metzger, J.O. Fats and oils as renewable feedstock for chemistry. Eur. J. Lipid Sci. Technol. 2009, 111, 865–876. [Google Scholar] [CrossRef]
- Rios, Í.C.; Cordeiro, J.P.; Arruda, T.B.M.G.; Rodrigues, F.E.A.; Uchoa, A.F.J.; Luna, F.M.T.; Cavalcante, C.L., Jr.; Ricardo, N.M.P.S. Chemical modification of castor oil fatty acids (Ricinus communis) for biolubricant applications: An alternative for Brazil’s green market. Ind. Crop. Prod. 2020, 145, 112000. [Google Scholar] [CrossRef]
- Buchori, L.; Istadi, I.; Purwanto, P. Advanced Chemical Reactor Technologies for Biodiesel Production from Vegetable Oils—A Review. Bull. Chem. React. Eng. Catal. 2016, 11, 406–430. [Google Scholar] [CrossRef]
- Llevot, A. Sustainable Synthetic Approaches for the Preparation of Plant Oil-Based Thermosets. J. Am. Oil Chem. Soc. 2016, 94, 169–186. [Google Scholar] [CrossRef]
- Abbasi, A.; Nasef, M.M.; Yahya, W.Z.N. Copolymerization of vegetable oils and bio-based monomers with elemental sulfur: A new promising route for bio-based polymers. Sustain. Chem. Pharm. 2019, 13, 100158. [Google Scholar] [CrossRef]
- Worthington, M.J.H.; Kucera, R.L.; Albuquerque, I.S.; Gibson, C.T.; Sibley, A.; Slattery, A.D.; Campbell, J.A.; Alboaiji, S.F.K.; Muller, K.A.; Young, J.; et al. Laying Waste to Mercury: Inexpensive Sorbents Made from Sulfur and Recycled Cooking Oils. Chem. Eur. J. 2017, 23, 16219–16230. [Google Scholar] [CrossRef]
- Balanuca, B.; Ott, C.; Damian, C.M.; Iovu, H.; Trusca, R.; Stan, R. Exploring the potential of inexpensive high oleic sunflower oil for new polymeric architectures. Polym. Adv. Technol. 2021, 32, 1813–1821. [Google Scholar] [CrossRef]
- Tajau, R.; Rohani, R.; Salleh, M.Z. Physicochemical and Thermal Properties of Acrylated Palm Olein as a Promising Biopolymer. J. Polym. Environ. 2020, 28, 2734–2748. [Google Scholar] [CrossRef]
- Su, Y.; Lin, H.; Zhang, S.; Yang, Z.; Yuan, T. One-Step Synthesis of Novel Renewable Vegetable Oil-Based Acrylate Prepolymers and Their Application in UV-Curable Coatings. Polymers 2020, 12, 1165. [Google Scholar] [CrossRef]
- Ecochard, Y.; Auvergne, R.; Boutevin, B.; Caillol, S. Linseed Oil-Based Thermosets by Aza-Michael Polymerization. Eur. J. Lipid Sci. Technol. 2020, 122, 1900145. [Google Scholar] [CrossRef]
- Chen, J.; Liu, H.; Zhang, W.; Lv, L.; Liu, Z. Thermosets resins prepared from soybean oil and lignin derivatives with high biocontent, superior thermal properties, and biodegradability. J. Appl. Polym. Sci. 2020, 137, 48827. [Google Scholar] [CrossRef]
- Hombunma, P.; Parnklang, T.; Mora, P.; Jubsilp, C.; Rimdusit, S. Shape memory polymers from bio-based benzoxazine/epoxidized natural oil copolymers. Smart Mater. Struct. 2020, 29, 015036. [Google Scholar] [CrossRef]
- Wijayapala, R.; Mishra, S.; Elmore, B.; Freeman, C.; Kundu, S. Synthesis and characterization of crosslinked polymers from cottonseed oil. J. Appl. Polym. Sci. 2019, 136, 47655. [Google Scholar] [CrossRef]
- Acik, G. Bio-based Poly(ɛ-caprolactone) from Soybean-Oil Derived Polyol via Ring-Opening Polymerization. J. Polym. Environ. 2020, 28, 668–675. [Google Scholar] [CrossRef]
- Feng, Y.; Hu, Y.; Man, L.; Yuan, T.; Zhang, C.; Yang, Z. Biobased thiol-epoxy shape memory networks from gallic acid and vegetable oils. Eur. Polym. J. 2019, 112, 619–628. [Google Scholar] [CrossRef]
- Radojčić, D.; Ionescu, M.; Petrović, Z.S. Room Temperature Cationic Polymerization of Epoxy Methyl Oleate with B(C6F5)3. J. Polym. Environ. 2021. [Google Scholar] [CrossRef]
- Echeverri, D.A.; Pérez, W.A.; Inciarte, H.C.; Rios, L.A. Accelerated weathering behavior of castor oil bio-based thermosets. J. Appl. Polym. Sci. 2020, 137, 49509. [Google Scholar] [CrossRef]
- Fu, C.; Wang, J.; Chen, L.; Shen, L. Synthesis of a Fully Biobased Polyfunctional Vinyl Oligomer and Their UV Cured Films Prepared via Thiol-ene Coupling. J. Renew. Mater. 2019, 7, 795–805. [Google Scholar] [CrossRef]
- Cui, Y.; Chen, Y.; Lei, D.; Yang, J.; Yang, Y.; Su, J. Facile method to prepared photoinitiated cationic curable plant oil and its enhancement on the impact strength of cycloaliphatic diepoxide. Ind. Crop. Prod. 2019, 135, 72–80. [Google Scholar] [CrossRef]
- Cui, Y.; Yang, J.; Lei, D.; Su, J. 3D Printing of a Dual-Curing Resin with Cationic Curable Vegetable Oil. Ind. Eng. Chem. Res. 2020, 59, 11381–11388. [Google Scholar] [CrossRef]
- Wang, T.; Li, L.; Cao, Y.; Wang, Q.; Guo, C. Preparation and flame retardancy of castor oil based UV-cured flame retardant coating containing P/Si/S on wood surface. Ind. Crop. Prod. 2019, 130, 562–570. [Google Scholar] [CrossRef]
- Wang, T.; Li, L.; Wang, Q.; Xie, G.; Guo, C. Castor oil based UV-cured coatings using thiol-ene click reaction for thermal degradation with flame retardance. Ind. Crop. Prod. 2019, 141, 111798. [Google Scholar] [CrossRef]
- Bhoyate, S.; Ionescu, M.; Kahol, P.K.; Gupta, R.K. Castor-oil derived nonhalogenated reactive flame-retardant-based polyurethane foams with significant reduced heat release rate. J. Appl. Polym. Sci. 2019, 136, 47276. [Google Scholar] [CrossRef]
- Nakamura, K.; Nishimura, Y. Polyurethane foam derived from waste vegetable oil. Kobunshi Ronbunshu 1993, 50, 881–886. [Google Scholar] [CrossRef]
- Ghasemlou, M.; Daver, F.; Ivanova, E.P.; Adhikari, B. Polyurethanes from seed oil-based polyols: A review of synthesis, mechanical and thermal properties. Ind. Crop. Prod. 2019, 142, 111841. [Google Scholar] [CrossRef]
- Yang, R.; Wang, B.; Xu, L.; Zhao, C.; Zhang, X.; Li, J. Synthesis and characterization of rigid polyurethane foam with dimer fatty acid-based polyols. Polym. Bull. 2019, 76, 3753–3768. [Google Scholar] [CrossRef]
- Agrawal, A.; Kaur, R.; Walia, R.S. Development of vegetable oil-based conducting rigid PU foam. e-Polymers 2019, 19, 411–420. [Google Scholar] [CrossRef]
- Vahabi, H.; Rastin, H.; Movahedifar, E.; Antoun, K.; Brosse, N.; Saeb, M.R. Flame Retardancy of Bio-Based Polyurethanes: Opportunities and Challenges. Polymers 2020, 12, 1234. [Google Scholar] [CrossRef]
- Liang, H.; Li, Y.; Huang, S.; Huang, K.; Zeng, X.; Dong, Q.; Liu, C.; Feng, P.; Zhang, C. Tailoring the Performance of Vegetable Oil-Based Waterborne Polyurethanes through Incorporation of Rigid Cyclic Rings into Soft Polymer Networks. ACS Sustain. Chem. Eng. 2020, 8, 914–925. [Google Scholar] [CrossRef]
- Zhang, C.; Liang, H.; Liang, D.; Lin, Z.; Chen, Q.; Feng, P.; Wang, Q. Renewable Castor-Oil-based Waterborne Polyurethane Networks: Simultaneously Showing High Strength, Self-Healing, Processability and Tunable Multishape Memory. Angew. Chem. Int. Ed. 2021, 60, 4289–4299. [Google Scholar] [CrossRef]
- Zhao, X.; Qi, X.; Chen, Q.; Ao, X.; Guo, Y. Sulfur-Modified Coated Slow-Release Fertilizer Based on Castor Oil: Synthesis and a Controlled-Release Model. ACS Sustain. Chem. Eng. 2020, 8, 18044–18053. [Google Scholar] [CrossRef]
- Shen, Y.; He, J.; Xie, Z.; Zhou, X.; Fang, C.; Zhang, C. Synthesis and characterization of vegetable oil based polyurethanes with tunable thermomechanical performance. Ind. Crop. Prod. 2019, 140, 111711. [Google Scholar] [CrossRef]
- Herrán, R.; Amalvy, J.I.; Chiacchiarelli, L.M. Highly functional lactic acid ring-opened soybean polyols applied to rigid polyurethane foams. J. Appl. Polym. Sci. 2019, 136, 47959. [Google Scholar] [CrossRef]
- Fridrihsone, A.; Romagnoli, F.; Kirsanovs, V.; Cabulis, U. Life Cycle Assessment of vegetable oil based polyols for polyurethane production. J. Clean. Prod. 2020, 266, 121403. [Google Scholar] [CrossRef]
- Tremblay-Parrado, K.-K.; Avérous, L. Renewable Responsive Systems Based on Original Click and Polyurethane Cross-Linked Architectures with Advanced Properties. ChemSusChem 2020, 13, 238–251. [Google Scholar] [CrossRef] [PubMed]
- Gholami, H.; Yeganeh, H. Vegetable oil-based polyurethanes as antimicrobial wound dressings: In vitro and in vivo evaluation. Biomed. Mater. 2020, 15, 045001. [Google Scholar] [CrossRef] [PubMed]
- Poussard, L.; Mariage, J.; Grignard, B.; Detrembleur, C.; Jérôme, C.; Calberg, C.; Heinrichs, B.; De Winter, J.; Gerbaux, P.; Raquez, J.-M.; et al. Non-Isocyanate Polyurethanes from Carbonated Soybean Oil Using Monomeric or Oligomeric Diamines To Achieve Thermosets or Thermoplastics. Macromolecules 2016, 49, 2162–2171. [Google Scholar] [CrossRef]
- Yuan, L.; Zhang, Y.; Wang, Z.; Han, Y.; Tang, C. Plant Oil and Lignin-Derived Elastomers via Thermal Azide–Alkyne Cycloaddition Click Chemistry. ACS Sustain. Chem. Eng. 2019, 7, 2593–2601. [Google Scholar] [CrossRef]
- Lamm, M.E.; Li, P.; Hankinson, S.; Zhu, T.; Tang, C. Plant oil-derived copolymers with remarkable post-polymerization induced mechanical enhancement for high performance coating applications. Polymer 2019, 174, 170–177. [Google Scholar] [CrossRef]
- Demchuk, Z.; Li, W.S.J.; Eshete, H.; Caillol, S.; Voronov, A. Synergistic Effects of Cardanol- and High Oleic Soybean Oil Vinyl Monomers in Miniemulsion Polymers. ACS Sustain. Chem. Eng. 2019, 7, 9613–9621. [Google Scholar] [CrossRef]
- Lamm, M.E.; Song, L.; Wang, Z.; Lamm, B.; Fu, L.; Tang, C. A facile approach to thermomechanically enhanced fatty acid-containing bioplastics using metal–ligand coordination. Polym. Chem. 2019, 10, 6570–6579. [Google Scholar] [CrossRef]
- Hu, F.; Yadav, S.K.; La Scala, J.J.; Throckmorton, J.; Palmese, G.R. Epoxidized soybean oil modified using fatty acids as tougheners for thermosetting epoxy resins: Part 1. J. Appl. Polym. Sci. 2021, 138, 50570. [Google Scholar] [CrossRef]
- Koley, R.; Kasilingam, R.; Sahoo, S.; Chattopadhyay, S.; Bhowmick, A.K. Synthesis and characterization of epoxidized neem oil: A bio-derived natural processing aid for elastomer. J. Appl. Polym. Sci. 2021, 138, 50440. [Google Scholar] [CrossRef]
- Liu, P.; Zhang, X.; Liu, R.; Liu, X.; Liu, J. Highly functional bio-based acrylates with a hard core and soft arms: From synthesis to enhancement of an acrylated epoxidized soybean oil-based UV-curable coating. Prog. Org. Coat. 2019, 134, 342–348. [Google Scholar] [CrossRef]
- Sajjad, H.; Tolman, W.B.; Reineke, T.M. Block Copolymer Pressure-Sensitive Adhesives Derived from Fatty Acids and Triacetic Acid Lactone. ACS Appl. Polym. Mater. 2020, 2, 2719–2728. [Google Scholar] [CrossRef]
- Fleckhaus, A.; Fokou, P.A.; Klaassen, G.; Klaas, M.R.G. One-Pot Catalytic Copolymerization of Unsaturated Plant Oils or Fatty Acid Methyl Esters with Ethylene. Eur. J. Lipid Sci. Technol. 2019, 121, 1700429. [Google Scholar] [CrossRef]
- Ohtake, K.; Onose, Y.; Kuwabara, J.; Kanbara, T. Synthesis and characterization of a thermally crosslinkable polyolefin from oleic acid. J. Polym. Sci. Part A Polym. Chem. 2019, 57, 85–89. [Google Scholar] [CrossRef]
- Ohtake, K.; Onose, Y.; Kuwabara, J.; Kanbara, T. Postfunctionalization of reactive polyolefins derived from fatty acids. React. Funct. Polym. 2019, 139, 17–24. [Google Scholar] [CrossRef]
- Mecking, S. Polyethylene-like materials from plant oils. Philos. Trans. R. Soc. A Math. Phys. Eng. Sci. 2020, 378, 20190266. [Google Scholar] [CrossRef]
- Wu, W.-X.; Li, J.; Yang, X.-L.; Wang, N.; Yu, X.-Q. Lipase-catalyzed synthesis of renewable acid-degradable poly(β-thioether ester) and poly(β-thioether ester-co-ricinoleic acid) copolymers derived from castor oil. Eur. Polym. J. 2019, 121, 109315. [Google Scholar] [CrossRef]
- Xuebin, W.; Jincheng, W. Studies on the preparation and properties of biodegradable polyester from soybean oil. Green Process. Synth. 2017, 8, 1–7. [Google Scholar] [CrossRef]
- Liu, Y.; Mecking, S. A Synthetic Polyester from Plant Oil Feedstock by Functionalizing Polymerization. Angew. Chem. Int. Ed. 2019, 58, 3346–3350. [Google Scholar] [CrossRef]
- Aguilar-Castro, C.; Gomez, M.D.; Nava, M.G.; García, J.M.R.; Uribe, L.E.L. Biobased polyester obtained from bifunctional monomers through metathesis of fatty acids as precursor to synthesis of polyurethanes. J. Appl. Polym. Sci. 2019, 136, 47095. [Google Scholar] [CrossRef]
- Liu, X.; Jain, T.; Liu, Q.; Joy, A. Structural insight into the viscoelastic behaviour of elastomeric polyesters: Effect of the nature of fatty acid side chains and the degree of unsaturation. Polym. Chem. 2020, 11, 5216–5224. [Google Scholar] [CrossRef]
- Haia, T.A.P.; Neelakantan, N.; Tessman, M.; Sherman, S.D.; Griffin, G.; Pomeroy, R.S.; Mayfield, S.P.; Burkart, M.D. Flexible polyurethanes, renewable fuels, and flavorings from a microalgae oil waste stream. Green Chem. 2020, 22, 3088–3094. [Google Scholar] [CrossRef]
- Park, M.S.; Lee, S.; Kim, A.R.; Choi, I.; Shin, J.; Kim, Y.-W. Toughened and hydrophobically modified polyamide 11 copolymers with dimer acids derived from waste vegetable oil. J. Appl. Polym. Sci. 2019, 136, 47174. [Google Scholar] [CrossRef]
- Ahmadi, R.; Ullah, A. Synthesis and Characterization of Unsaturated Biobased-Polyamides from Plant Oil. ACS Sustain. Chem. Eng. 2020, 8, 8049–8058. [Google Scholar] [CrossRef]
- Durand, P.-L.; Brège, A.; Chollet, G.; Grau, E.; Cramail, H. Simple and Efficient Approach toward Photosensitive Biobased Aliphatic Polycarbonate Materials. ACS Macro Lett. 2018, 7, 250–254. [Google Scholar] [CrossRef]
- Cui, S.; Borgemenke, J.; Liu, Z.; Li, Y. Recent advances of “soft” bio-polycarbonate plastics from carbon dioxide and renewable bio-feedstocks via straightforward and innovative routes. J. CO2 Util. 2019, 34, 40–52. [Google Scholar] [CrossRef]
- Susa, A.; Bijleveld, J.; Santana, M.H.; Garcia, S.J. Understanding the Effect of the Dianhydride Structure on the Properties of Semiaromatic Polyimides Containing a Biobased Fatty Diamine. ACS Sustain. Chem. Eng. 2018, 6, 668–678. [Google Scholar] [CrossRef]
- Włoch, M.; Datta, J.; Błażek, K. The Effect of High Molecular Weight Bio-based Diamine Derivative of Dimerized Fatty Acids Obtained from Vegetable Oils on the Structure, Morphology and Selected Properties of Poly(ether-urethane-urea)s. J. Polym. Environ. 2018, 26, 1592–1604. [Google Scholar] [CrossRef]
- Park, S.-H.; Alammar, A.; Fulop, Z.; Pulido, B.A.; Nunes, S.P.; Szekely, G. Hydrophobic thin film composite nanofiltration membranes derived solely from sustainable sources. Green Chem. 2021, 23, 1175–1184. [Google Scholar] [CrossRef]
- Hormaiztegui, M.E.V.; Mucci, V.L.; Aranguren, M.I. Composite films obtained from a waterborne biopolyurethane. Incorporation of tartaric acid and nanocellulose. Ind. Crop. Prod. 2019, 142, 111879. [Google Scholar] [CrossRef]
- Lu, Y.; Zhang, P.; Fan, M.; Jiang, P.; Bao, Y.; Gao, X.; Xia, J. Dual bond synergy enhancement to mechanical and thermal properties of castor oil-based waterborne polyurethane composites. Polymer 2019, 182, 121832. [Google Scholar] [CrossRef]
- Zhang, P.; Lu, Y.; Fan, M.; Jiang, P.; Bao, Y.; Gao, X.; Xia, J. Role of cellulose-based composite materials in synergistic reinforcement of environmentally friendly waterborne polyurethane. Prog. Org. Coat. 2020, 147, 105811. [Google Scholar] [CrossRef]
- Wang, X.; Zhang, Y.; Liang, H.; Zhou, X.; Fang, C.; Zhang, C.; Luo, Y. Synthesis and properties of castor oil-based waterborne polyurethane/sodium alginate composites with tunable properties. Carbohydr. Polym. 2019, 208, 391–397. [Google Scholar] [CrossRef]
- Zhang, W.; Zhang, Y.; Liang, H.; Liang, D.; Cao, H.; Liu, C.; Qian, Y.; Lu, Q.; Zhang, C. High bio-content castor oil based waterborne polyurethane/sodium lignosulfonate composites for environmental friendly UV absorption application. Ind. Crop. Prod. 2019, 142, 111836. [Google Scholar] [CrossRef]
- Zhang, W.; Deng, H.; Xia, L.; Shen, L.; Zhang, C.; Lu, Q.; Sun, S. Semi-interpenetrating polymer networks prepared from castor oil-based waterborne polyurethanes and carboxymethyl chitosan. Carbohydr. Polym. 2021, 256, 117507. [Google Scholar] [CrossRef]
- Luo, X.; Cai, Y.; Liu, L.; Zhang, F.; Wu, Q.; Zeng, J. Soy Oil-Based Rigid Polyurethane Biofoams Obtained by a Facile One-Pot Process and Reinforced with Hydroxyl-Functionalized Multiwalled Carbon Nanotube. J. Am. Oil Chem. Soc. 2019, 96, 319–328. [Google Scholar] [CrossRef]
- SaifulAzry, S.O.A.; Chuah, T.G.; Paridah, M.T.; Aung, M.M.; Ridzuan, M.A.; Lee, C.H.; Sariah, S.; Lee, S.H.; Juliana, A.H. Influence of cellulose II polymorph nanowhiskers on bio-based nanocomposite film from Jatropha oil polyurethane. Mater. Res. Express 2021, 8, 015003. [Google Scholar] [CrossRef]
- Paciorek-Sadowska, J.; Borowicz, M.; Isbrandt, M.; Czupryński, B.; Apiecionek, Ł. The Use of Waste from the Production of Rapeseed Oil for Obtaining of New Polyurethane Composites. Polymers 2019, 11, 1431. [Google Scholar] [CrossRef]
- Chen, T.; Liu, W. Highly Unsaturated Microcrystalline Cellulose and Its Cross-Linked Soybean-Oil-Based Thermoset Composites. ACS Sustain. Chem. Eng. 2019, 7, 1796–1805. [Google Scholar] [CrossRef]
- Mustapha, R.; Rahmat, A.R.; Majid, R.A.; Mustapha, S.N.H. Vegetable oil-based epoxy resins and their composites with bio-based hardener: A short review. Polym. Plast. Technol. Mater. 2019, 58, 1311–1326. [Google Scholar] [CrossRef]
- Fernandes, F.C.; Kirwan, K.; Lehane, D.; Coles, S.R. Epoxy resin blends and composites from waste vegetable oil. Eur. Polym. J. 2017, 89, 449–460. [Google Scholar] [CrossRef]
- Bach, Q.-V.; Vu, C.M.; Nguyen, D.D.; Kien, B.X. Impacts of phosphorous-linked epoxidized vegetable oil on mechanical behaviors and flammability properties of silica reinforced epoxy composite. Thermochim. Acta 2020, 691, 178722. [Google Scholar] [CrossRef]
- Ali, H.Q.; Raza, M.A.; Westwood, A.; Ghauri, F.A.; Asgar, H. Development and mechanical characterization of composites based on unsaturated polyester reinforced with maleated high oleic sunflower oil-treated cellulose fiber. Polym. Compos. 2019, 40, 901–908. [Google Scholar] [CrossRef]
- Liminana, P.; Quiles-Carrillo, L.; Boronat, T.; Balart, R.; Montanes, N. The Effect of Varying Almond Shell Flour (ASF) Loading in Composites with Poly(Butylene Succinate (PBS) Matrix Compatibilized with Maleinized Linseed Oil (MLO). Materials 2018, 11, 2179. [Google Scholar] [CrossRef] [PubMed]
- Quiles-Carrillo, L.; Montanes, N.; Sammon, C.; Balart, R.; Torres-Giner, S. Compatibilization of highly sustainable polylactide/almond shell flour composites by reactive extrusion with maleinized linseed oil. Ind. Crop. Prod. 2018, 111, 878–888. [Google Scholar] [CrossRef]
- Gonzalez, L.; Agüero, A.; Quiles-Carrillo, L.; Lascano, D.; Montanes, N. Optimization of the loading of an environmentally friendly compatibilizer derived from linseed oil in poly(lactic acid)/diatomaceous earth composites. Materials 2019, 12, 1627. [Google Scholar] [CrossRef]
- Liminana, P.; Garcia-Sanoguera, D.; Quiles-Carrillo, L.; Balart, R.; Montanes, N. Optimization of Maleinized Linseed Oil Loading as a Biobased Compatibilizer in Poly(Butylene Succinate) Composites with Almond Shell Flour. Materials 2019, 12, 685. [Google Scholar] [CrossRef]
- Balart, R.; Montanes, N.; Dominici, F.; Boronat, T.; Torres-Giner, S. Environmentally Friendly Polymers and Polymer Composites. Materials 2020, 13, 4892. [Google Scholar] [CrossRef]
- Kalita, H.; Kamila, R.; Mohanty, S.; Nayak, S.K. Mechanical, thermal and accelerated weathering studies of bio-based polyurethane/clay nanocomposites coatings. Adv. Polym. Technol. 2018, 37, 1954–1962. [Google Scholar] [CrossRef]
- Diez-Pascual, A.M. Antibacterial Nanocomposites Based on Thermosetting Polymers Derived from Vegetable Oils and Metal Oxide Nanoparticles. Polymers 2019, 11, 1790. [Google Scholar] [CrossRef]
- Panchal, B.; Chang, T.; Qin, S.; Sun, Y.; Wang, J.; Bian, K. Optimization and kinetics of tung nut oil transesterification with methanol using novel solid acidic ionic liquid polymer as catalyst for methyl ester synthesis. Renew. Energy 2020, 151, 796–804. [Google Scholar] [CrossRef]
- He, Z.; Qian, J.; Qu, L.; Yan, N.; Yi, S. Effects of Tung oil treatment on wood hygroscopicity, dimensional stability and thermostability. Ind. Crop. Prod. 2019, 140, 111647. [Google Scholar] [CrossRef]
- Li, F.; LaRock, R.C. Thermosetting polymers from cationic copolymerization of tung oil: Synthesis and characterization. J. Appl. Polym. Sci. 2000, 78, 1044–1056. [Google Scholar] [CrossRef]
- Liang, B.; Zhao, J.; Li, G.; Huang, Y.; Yang, Z.; Yuan, T. Facile synthesis and characterization of novel multi-functional bio-based acrylate prepolymers derived from tung oil and its application in UV-curable coatings. Ind. Crop. Prod. 2019, 138, 111585. [Google Scholar] [CrossRef]
- Man, L.; Hu, Y.; Feng, Y.; Zhang, C.; Yuan, T.; Yang, Z. Facile synthesis of a novel bio-based methacrylate monomer derived from tung oil and its application for solvent-free thermosetting coatings. Ind. Crop. Prod. 2019, 133, 348–356. [Google Scholar] [CrossRef]
- Sain, S.; Åkesson, D.; Skrifvars, M. Synthesis and Properties of Thermosets from Tung Oil and Furfuryl Methacrylate. Polymers 2020, 12, 258. [Google Scholar] [CrossRef]
- Sain, S.; Åkesson, D.; Skrifvars, M.; Roy, S. Hydrophobic Shape-Memory Biocomposites from Tung-Oil-Based Bioresin and Onion-Skin-Derived Nanocellulose Networks. Polymers 2020, 12, 2470. [Google Scholar] [CrossRef]
- Murawski, A.; Quirino, R.L. Bio-Based Composites with Enhanced Matrix-Reinforcement Interactions from the Polymerization of α-Eleostearic Acid. Coatings 2019, 9, 447. [Google Scholar] [CrossRef]
- Bakshi, M.I.; Ahmad, S. In situ synthesis of high-performance 4,4′-diaminodiphenylsulfone modified oleo-alkyd nanocomposite coatings: Role of hybrid nanofillers on physico-mechanical, hydrophobic and corrosion protective performance. New J. Chem. 2020, 44, 17924–17937. [Google Scholar] [CrossRef]
- Bakshi, M.I.; Ahmad, S. In-situ synthesis of synergistically active ceria doped polypyrrole oleo-polyesteramide hybrid nanocomposite coatings: Corrosion protection and flame retardancy behaviour. Prog. Org. Coat. 2020, 147, 105778. [Google Scholar] [CrossRef]
- Madbouly, S.A.; Kessler, M.R. Preparation of Nanoscale Semi-IPNs with an Interconnected Microporous Structure via Cationic Polymerization of Bio-Based Tung Oil in a Homogeneous Solution of Poly(ε-caprolactone). ACS Omega 2020, 5, 9977–9984. [Google Scholar] [CrossRef]
- Madbouly, S.A. Nano/micro-scale morphologies of semi-interpenetrating poly(ε–caprolactone)/tung oil polymer networks: Isothermal and non–isothermal crystallization kinetics. Polym. Test. 2020, 89, 106586. [Google Scholar] [CrossRef]
- Anbinder, S.; Meiorin, C.; Macchi, C.; Mosiewicki, M.A.; Aranguren, M.I.; Somoza, A. Structural properties of vegetable oil thermosets: Effect of crosslinkers, modifiers and oxidative aging. Eur. Polym. J. 2020, 124, 109470. [Google Scholar] [CrossRef]
- Lacerda, T.M.; Gandini, A. The cationic polymerization of tung oil and its fatty-acid methyl ester. Ind. Crop. Prod. 2020, 157, 112886. [Google Scholar] [CrossRef]
- Ribeiro, B.O.; Valério, V.S.; Gandini, A.; Lacerda, T.M. Copolymers of xylan-derived furfuryl alcohol and natural oligomeric tung oil derivatives. Int. J. Biol. Macromol. 2020, 164, 2497–2511. [Google Scholar] [CrossRef]
- Lacerda, T.M.; Carvalho, A.J.F.; Gandini, A. Two alternative approaches to the Diels–Alder polymerization of tung oil. RSC Adv. 2014, 4, 26829–26837. [Google Scholar] [CrossRef]
- Li, M.; Ding, H.; Yang, X.; Xu, L.; Xia, J.; Li, S. Preparation and Properties of Self-Healing Polyurethane Elastomer Derived from Tung-Oil-Based Polyphenol. ACS Omega 2019, 5, 529–536. [Google Scholar] [CrossRef]
- Feng, Y.; Man, L.; Hu, Y.; Chen, L.; Xie, B.; Zhang, C.; Yuan, T.; Yang, Z. One-pot synthesis of polyurethane-imides with tailored performance from castor and tung oil. Prog. Org. Coat. 2019, 132, 62–69. [Google Scholar] [CrossRef]
- Zhang, J.; Shang, Q.; Hu, Y.; Zhang, F.; Huang, J.; Lu, J.; Cheng, J.; Liu, C.; Hu, L.; Miao, H.; et al. High-biobased-content UV-curable oligomers derived from tung oil and citric acid: Microwave-assisted synthesis and properties. Eur. Polym. J. 2020, 140, 109997. [Google Scholar] [CrossRef]
- Xiao, L.; Liu, Z.; Li, N.; Li, S.; Fu, P.; Wang, Y.; Huang, J.; Chen, J.; Nie, X. A hyperbranched polymer from tung oil for the modification of epoxy thermoset with simultaneous improvement in toughness and strength. New J. Chem. 2020, 44, 16856–16863. [Google Scholar] [CrossRef]
- Jiang, L.; Ren, Z.; Liu, W.; Liu, H.; Zhu, C. Synthesis and molecular interaction of tung oil-based anionic waterborne polyurethane dispersion. J. Appl. Polym. Sci. 2020, 137, 49383. [Google Scholar] [CrossRef]
- Man, L.; Feng, Y.; Hu, Y.; Yuan, T.; Yang, Z. A renewable and multifunctional eco-friendly coating from novel tung oil-based cationic waterborne polyurethane dispersions. J. Clean. Prod. 2019, 241, 118341. [Google Scholar] [CrossRef]
- Feng, Y.; Cui, Y.; Zhang, M.; Li, M.; Li, H. Preparation of Tung Oil-Loaded PU/PANI Microcapsules and Synergetic Anti-Corrosion Properties of Self-Healing Epoxy Coatings. Macromol. Mater. Eng. 2021, 306, 2000581. [Google Scholar] [CrossRef]














| Oilseeds | 2002/2003 | 2019/2020 | ||
|---|---|---|---|---|
| Production | Production | Imports | Exports | |
| Cottonseed | 3.51 | 44.42 | 0.66 | 0.84 |
| Palm kernel | 3.36 | 19.38 | 0.11 | 0.08 |
| Peanut | 4.62 | 46.06 | 4.36 | 4.69 |
| Rapeseed | 12.21 | 69.22 | 15.55 | 15.53 |
| Soybean | 30.57 | 336.46 | 165.43 | 165.17 |
| Sunflower seed | 8.12 | 54.89 | 3.27 | 3.58 |
| Total | 62.39 | 570.43 | 189.37 | 189.88 |
| Fatty Acid (Number of Carbon Atoms) | Iodine Value | |
|---|---|---|
| Acid | Triglyceride | |
| Palmitoleic (C16) | 99.8 | 95 |
| Oleic (C18) | 89.9 | 86 |
| Linoleic (C18) | 181 | 173.2 |
| Linolenic (C18) and α-eleostearic (C18) | 273.5 | 261.6 |
| Ricinoleic (C18) | 85.1 | 81.6 |
| Licanic (C18) | 261 | 258.6 |
Publisher’s Note: MDPI stays neutral with regard to jurisdictional claims in published maps and institutional affiliations. |
© 2021 by the authors. Licensee MDPI, Basel, Switzerland. This article is an open access article distributed under the terms and conditions of the Creative Commons Attribution (CC BY) license (https://creativecommons.org/licenses/by/4.0/).
Share and Cite
Silva, J.A.C.; Grilo, L.M.; Gandini, A.; Lacerda, T.M. The Prospering of Macromolecular Materials Based on Plant Oils within the Blooming Field of Polymers from Renewable Resources. Polymers 2021, 13, 1722. https://doi.org/10.3390/polym13111722
Silva JAC, Grilo LM, Gandini A, Lacerda TM. The Prospering of Macromolecular Materials Based on Plant Oils within the Blooming Field of Polymers from Renewable Resources. Polymers. 2021; 13(11):1722. https://doi.org/10.3390/polym13111722
Chicago/Turabian StyleSilva, Julio Antonio Conti, Luan Moreira Grilo, Alessandro Gandini, and Talita Martins Lacerda. 2021. "The Prospering of Macromolecular Materials Based on Plant Oils within the Blooming Field of Polymers from Renewable Resources" Polymers 13, no. 11: 1722. https://doi.org/10.3390/polym13111722
APA StyleSilva, J. A. C., Grilo, L. M., Gandini, A., & Lacerda, T. M. (2021). The Prospering of Macromolecular Materials Based on Plant Oils within the Blooming Field of Polymers from Renewable Resources. Polymers, 13(11), 1722. https://doi.org/10.3390/polym13111722

