Synthesis and Properties of Thermotropic Copolyesters Based on Poly(ethylene terephthalate) and 4′-Acetoxy-4-biphenyl-carboxylic Acid
Abstract
1. Introduction
2. Materials and Methods
3. Results and Discussion
3.1. Synthesis and Structure of Copolyesters
3.2. Thermal Properties of Copolyesters
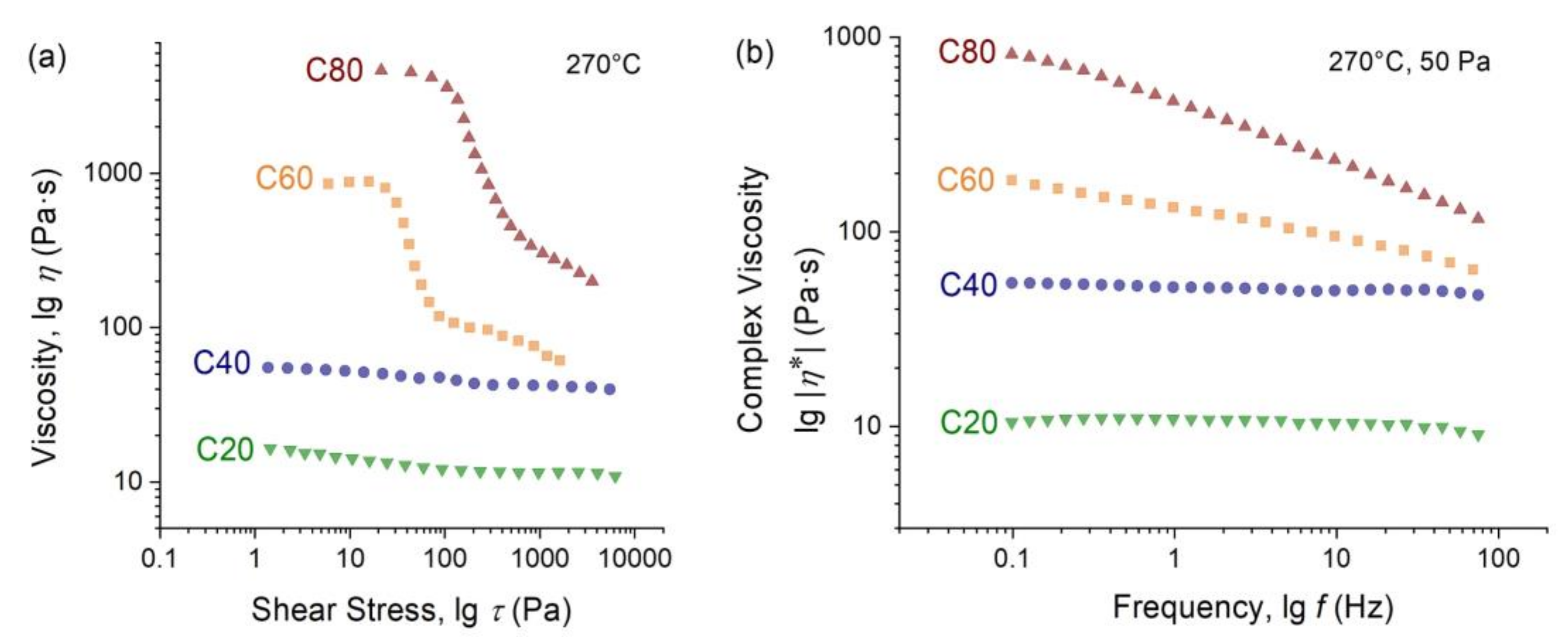
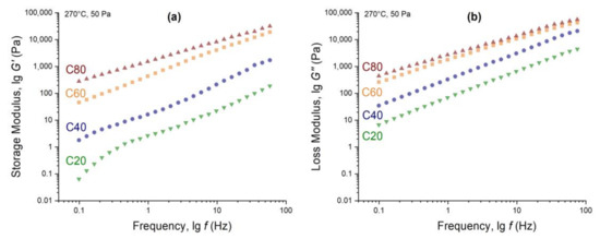
3.3. Melt Rheology
3.4. Polarizing Light Microscopy
3.5. Mechanical Characteristics of Copolyesters
4. Conclusions
Author Contributions
Funding
Institutional Review Board Statement
Informed Consent Statement
Data Availability Statement
Acknowledgments
Conflicts of Interest
References
- McKeen, L.W. Film Properties of Plastics and Elastomers, 4th ed.; Elsevier Inc.: Amsterdam, The Netherlands, 2017; p. 522. [Google Scholar] [CrossRef]
- Scheirs, J.; Long, T.E. (Eds.) Modern Polyesters: Chemistry and Technology of Polyesters and Copolyesters; John Wiley & Sons, Ltd.: Hoboken, NJ, USA, 2003; p. 750. Available online: https://www.wiley.com/en-us/Modern+Polyesters%3A+Chemistry+and+Technology+of+Polyesters+and+Copolyesters-p-9780470090688 (accessed on 24 May 2021).
- Castellano, M.; Marsano, E.; Turturro, A.; Canetti, M. Reactive blending of aromatic polyesters: Thermal and X-ray analysis of melt-blended poly(ethylene terephthalate)/poly(trimethylene terephthalate). J. Appl. Polym. Sci. 2011, 122, 698–705. [Google Scholar] [CrossRef]
- Sellares, J.; Diego, J.A.; Canadas, J.C.; Mudarra, M.; Belana, J.; Colomer, P.; Roman, F.; Calventus, Y. Dielectric study of the glass transition of PET/PEN blends. J. Phys. D Appl. Phys. 2012, 45, 505301. [Google Scholar] [CrossRef][Green Version]
- Al-Jabareen, A.; Illescas, S.; Maspoch, M.L.; Santana, O.O. Effects of composition and transesterification catalysts on the physico-chemical and dynamic properties of PC/PET blends rich in PC. J. Mater. Sci. 2010, 45, 6623–6633. [Google Scholar] [CrossRef]
- Kibler, C.J.; Bell, A.; Smith, J.G. Polyesters of 1,4-cyclohexanedimethanol. J. Polym. Sci. Part A Gen. Pap. 1964, 2, 2115–2135. [Google Scholar] [CrossRef]
- Jackson, W.J.; Kuhfuss, H.F. Liquid crystal polymers. I. Preparation and properties of p-hydroxybenzoic acid copolyesters. J. Polym. Sci. Part A 1996, 34, 3031–3046. [Google Scholar] [CrossRef]
- Jackson, W.J. Liquid Crystal Polymers. XI. Liquid Crystal Aromatic Polyesters: Early History and Future Trends. Mol. Cryst. Liq. Cryst. Inc. Nonlinear Opt. 1989, 169, 23–49. [Google Scholar] [CrossRef]
- Yulchibaev, B.; Perfilov, A.; Strelets, B.; Kulichikhin, V. Composition Heterogeneity of Liquid-Crystal Alkylenearomatic p-Hydroxybenzoic Acid-Based Copolyester. Polym. Sci. Ser. B. 1995, 37, 166–171. [Google Scholar]
- Makarova, V.V.; Smirnova, N.M.; Kulichikhin, V.G.; Strelets, B.K.; Akulin, Y.A.; Avdeev, N.N. Approaches To Chemical and Physical Modification of Poly(Ethylene Terephthalate). Polym. Sci. Ser. A 2005, 47, 700–710. [Google Scholar]
- Han, H.S.; Bhowmik, P.K. Wholly aromatic liquid-crystalline polyesters. Prog. Polym. Sci. 1997, 22, 1431–1502. [Google Scholar] [CrossRef]
- Krigbaum, W.R.; Asrar, J.; Toriumi, H.; Ciferri, A.; Preston, J. Aromatic Polyesters Forming Thermotropic Smectic Mesophases. J. Polym. Sci. Polym. Lett. Ed. 1982, 20, 109–115. [Google Scholar] [CrossRef]
- Schiraldi, D.A.; Lee, J.J.; Gould, S.A.C.; Occelli, M.L. Mechanical properties and atomic force microscopic cross sectional analysis of injection molded poly(ethylene terephthalate-co-4,4′-bibenzoate). J. Ind. Eng. Chem. 2001, 7, 67–71. [Google Scholar]
- Schiraldi, D.A.; Occelli, M.L.; Gould, S.A.C. Atomic force microscopy (AFM) study of poly(ethylene terephthalate-co-4,4′-bibenzoate): A polymer of intermediate structure. J. Appl. Polym. Sci. 2001, 82, 2616–2623. [Google Scholar] [CrossRef]
- Heifferon, K.V.; Mondschein, R.J.; Talley, S.J.; Moore, R.B.; Turner, S.R.; Long, T.E. Tailoring the glassy mesophase range of thermotropic polyesters through copolymerization of 4,4′-bibenzoate and kinked isomer. Polymer 2019, 163, 125–133. [Google Scholar] [CrossRef]
- Sakaguchi, Y.; Okamoto, M.; Tanaka, I. Modification of Crystallization Properties of Poly(ethylene terephthalate) by Copolymerization with Arylate Units. 1. Preparation and Isothermal Crystallization of 4,4′-Biphenol-Containing Copolymers. Macromolecules 1995, 28, 6155–6160. [Google Scholar] [CrossRef]
- Schwarz, G.; Kricheldorf, H.R. New polymer syntheses, 23. Poly(oxy-4,4′-biphenylylenecarbonyl). Macromol. Rapid Commun. 1988, 9, 717–720. [Google Scholar] [CrossRef]
- East, A.J.; Calundann, G.W. Wholly Aromatic Polyester Comprising 4-oxy-4′-carboxybiphenyl Moiety Which Is Capable of Forming an Anisotropic Melt Phase. U.S. Patent 4,431,770, 14 February 1984. [Google Scholar]
- del Campo, A.; Bello, A.; Perez, E.; Garcıa-Bernabe, A.; Dıaz Calleja, R. Amorphous-Smectic Glassy Main-Chain LCPs, 1. Poly(ether esters) Derived from Hydroxybibenzoic Acid and (R,S)- and (R)-2-Methylpropane-1,3-diol. Macromol. Chem. Phys. 2002, 203, 2508–2515. [Google Scholar] [CrossRef]
- Fernandez-Blazquez, J.P.; Bello, A.; Perez, E. Observation of Two Glass Transitions in a Thermotropic Liquid-Crystalline Polymer. Macromolecules 2004, 37, 9018–9026. [Google Scholar] [CrossRef]
- McLeod, M.A.; Baird, D.G. The crystallization behavior of blends of thermotropic liquid crystalline polymers. Polymer 1999, 40, 3743–3752. [Google Scholar] [CrossRef]
- Schwarz, G.; Kricheldorf, H.R. Whiskers. 12. Whisker-like Crystals of Poly(4′-hydroxybiphenyl-4-carboxylic acid). Macromolecules 1995, 28, 3911–3917. [Google Scholar] [CrossRef]
- Kuhfuss, H.F.; Jackson, W.J. Copolyester Prepared from Polyethylene Terephthalate and an Acyloxy Benzoic Acid. U.S. Patent 3804805A, 16 April 1974. [Google Scholar]
- Ramao, W.; Franco, M.F.; Corilo, Y.E.; Eberlin, M.N.; Spinace, M.A.S.; De Paoli, M.-A. Poly(ethylene terephthalate) thermo-mechanical and thermo-oxidative degradation mechanisms. Polym. Degrad. Stab. 2009, 94, 1849–1859. [Google Scholar] [CrossRef]
- Lecomte, H.A.; Liggat, J.J. Degradation mechanism of diethylene glycol units in a terephthalate polymer. Polym. Degrad. Stab. 2006, 91, 681–689. [Google Scholar] [CrossRef]
- Shinn, T.-H.; Chen, J.-Y.; Lin, C.-C. Studies on co[poly(ethylene terephthalate-p-oxybenzoate)] thermotropic copolyester (I): Synthesis and thermogravimetric behavior. J. Appl. Polym. Sci. 1993, 47, 1233–1241. [Google Scholar] [CrossRef]
- Shinn, T.-H.; Lin, C.-C. Co[poly(ethylene terephthalate-p-oxybenzoate)] thermotropic copolyester. II. X-ray diffraction analysis. J. Appl. Polym. Sci. 1993, 47, 1105–1113. [Google Scholar] [CrossRef]
- Meesiri, M.; Menczel, J.; Gaur, U.; Wunderlich, B. Phase transitions in mesophase macromolecules. III. The transitions in poly(ethylene terephthalate-co-p-oxybenzoate). J. Polym. Sci. Part B Polym. Phys. 1982, 20, 719–728. [Google Scholar] [CrossRef]
- Kamal, M.R.; Khennache, O.; Goyal, S.K. Characterization of thermal behavior and kinetics of crystallization of a thermotropic rigid-chain copolymer. Polym. Eng. Sci. 1989, 29, 1089–1096. [Google Scholar] [CrossRef]
- Volksen, W.; Lyerla, J.R., Jr.; Economy, J.; Dawson, B. Liquid-crystalline copolyesters based on poly(p-oxybenzoate) and poly(p,p-biphenylene terephthalate). J. Polym. Sci. Part A Polym. Chem. 1983, 21, 2249–2259. [Google Scholar] [CrossRef]
- Edling, H.E.; Liu, H.; Sun, H.; Mondschein, R.J.; Schiraldi, D.A.; Long, T.E.; Turner, S.R. Copolyesters Based on Bibenzoic Acids. Polymer 2018, 135, 120–130. [Google Scholar] [CrossRef]
- Tsai, Y.; Fan, C.-H.; Hung, C.-Y.; Tsai, F.-J. Amorphous copolyesters based on 1,3/1,4-cyclohexanedimethanol: Synthesis, characterization and properties. J. Appl. Polym. Sci. 2008, 109, 2598–2604. [Google Scholar] [CrossRef]
- Kang, T.-K.; Ha, C.-S. Syntheses and characterization of poly(ethylene terephthalate) modified with p-acetoxybenzoic acid. J. Appl. Polym. Sci. 1999, 73, 1707–1719. [Google Scholar] [CrossRef]
- Ou, C.-F. Study on co[poly(butylene terephthalate-p-oxybenzoate)] thermotropic copolyester. II. Thermal behavior and crystalline morphology. J. Appl. Polym. Sci. 2000, 78, 2363–2368. [Google Scholar] [CrossRef]
- Kulichikhin, V.G.; Bilibin, A.Y.; Antipov, Y.M.; Zabugina, M.P.; Khokhlov, P.I.; Plotnikova, Y.P.; Skorokhodov, S.S.; Plate, N.A. Flow features and structural transitions in alkylene-aromatic polyesters. Polym. Sci. Ser. A 1990, 32, 70–76. [Google Scholar]
- Tormes, M.; Muñoz, M.E.; Peña, J.J.; Santamaría, A. Rheology of rodrun liquid-crystalline polymers. J. Polym. Sci. Part B Polym. Phys. 1998, 36, 253–263. [Google Scholar] [CrossRef]
- Yu, R.; Yu, W.; Zhou, C.; Feng, J.J. Rheology and relaxation processes in a melting thermotropic liquid-crystalline polymer. J. Appl. Polym. Sci. 2007, 104, 3780–3787. [Google Scholar] [CrossRef]
- Kulichikhin, V.G.; Malkin, A.Y.; Papkov, S.P. Rheological properties of liquid-crystalline polymeric systems. Polym. Sci. Ser. A 1984, 26, 451–471. [Google Scholar]
- Kulichikhin, V.G. Rheological Properties of Liquid-Crystal Polymers. In Specialty Polymers: Liquid-Crystal Polymers; Plate, N.A., Ed.; Springer: Berlin/Heidelberg, Germany, 1993. [Google Scholar] [CrossRef]
- Glowinska, E.; Parcheta, P.; Datta, J. Rheology of liquid crystalline polymers. Ch. 10 in Rheology of Polymer Blends and Nanocomposites: Theory, Modelling and Applications. Micro Nano Technol. 2020, 205–224. [Google Scholar] [CrossRef]
- Kim, D.-O.; Han, C.D. Effect of Bulkiness of Pendent Side Groups on the Rheology of Semiflexible Main-Chain Thermotropic Liquid-Crystalline Polymers. Macromolecules 2000, 33, 3349–3358. [Google Scholar] [CrossRef]
- Nakata, Y.; Watanabe, J. A New Type of Main-chain Liquid-crystal Polymer derived from 4′-Hydroxybiphenyl-4-carboxylic Acid and its Smectic Mesophase Behaviour. J. Mater. Chem. 1994, 4, 1699–1703. [Google Scholar] [CrossRef]











| Copolyester | Molar Ratio HBCA/(PET + HBCA), % | [η], dL/g | Vacuum Stage, h |
|---|---|---|---|
| C20 | 20 | 0.66 | 19.5 |
| C40 | 40 | 0.70 | 11.0 |
| C60 | 60 | 0.79 | 8.5 |
| C80 | 80 | 2.34 1 | 7.0 |
| B100 | 100 | insoluble | 16.0 2 |
| Sequences | Protons | Signals in the 1H NMR Spectrum |
|---|---|---|
| Aliphatic region of the spectra | ||
| T–E–T, T–E–B | A | 4.81; 4.82; 4.84 |
| –E–E– | H K | 4.14; 4.17 4.65; 4.68 |
| –B–E–T | B | 4.47; 4.50 |
| Aromatic region of the spectra | ||
| T–E–B–E | C | 7.08 (d, 8.6) |
| B–B–E–T(B) | C | 7.10 (d, 9.2); 7.11 (d, 8.3) |
| T–E–B–T | F | 7.32 (d, 8.5) |
| B–B–B | F | 7.34 |
| B | D | 7.60 (d, 8.2); 7.60 (d, 8.0); 7.71 (d, 8.0) |
| B | E | 8.08 (d, 8.3); 8.12 |
| T–E–T–E | G | 8.14 |
| B–E–T–E | G | 8.16 |
| NB, % | NTBE/NB, % | NBBE/NB, % | NTBT/NB, % | NBBT/NB, % | NEE/NE, % | |
|---|---|---|---|---|---|---|
| C20 | 19.7 | 44 | 13 | 32 | 11 | 3.1 |
| C40 | 40.0 | 41 | 22 | 21 | 16 | 1.4 |
| C60 | 59.5 | 29 | 35 | 22 | 14 | 3.4 |
| C80 | 84.0 | 24 | 76 | – | ||
| Glass Point, Tg, °C | Melting Point, °C Enthalpy, J/g | Crystallization Point, °C Enthalpy, J/g | |
|---|---|---|---|
| PET | 84.3 (80.5–89.0) | 257.5 (212.4–269.3) 59.5 | 195.9 (216.0–153.1) 48.8 |
| C20 | 85.7 (80.1–91.7) | 216.9 + 224.2 (195.9–235.8) 34.4 | 152.9 (130.2–168.8) 30.9 |
| C40 | 93.9 (87.5–99.5) | 197.1 (169.8–232.8) 16.9 | 135.5 (118.9–150.4) 14.8 |
| C60 | 99.2 (90.6–107.2) | – | – |
| C80 | 100.3 (94.5–113.3) | – | – |
| Sample | Value of Weight Loss, % | ||
|---|---|---|---|
| 5 | 10 | 50 | |
| Temperature at Which Weight Loss Is Observed, °C | |||
| PET | 391 | 411 | 437 |
| C20 | 373 | 403 | 430 |
| C40 | 414 | 426 | 470 |
| C60 | 417 | 431 | 486 |
| C80 | 417 | 435 | 531 |
| Sample | ||||
|---|---|---|---|---|
| η, Pa·s | |η*|, Pa·s | η, Pa·s | |η*|, Pa·s | |
| C20 | 12 | 11 | 11 | 10 |
| C40 | 46 | 53 | 41 | 49 |
| C60 | 111 | 183 | 62 | 102 |
| C80 | 486 | 747 | 184 | 306 |
| Sample | Elongation at Break, ε (%) | Tensile Strength, σ (MPa) | Elastic Modulus, E (MPa) |
|---|---|---|---|
| PET | 450 ± 14 | 31 ± 1 | 960 ± 160 |
| C20 | 65 ± 10 | 29 ± 4 | 910 ± 90 |
| C40 | 21 ± 7 | 30 ± 3 | 900 ± 60 |
| C60 | 8 ± 2 | 38 ± 3 | 930 ± 50 |
| C80 | 6 ± 1 | 54 ± 4 | 1600 ± 90 |
| PET–HBA (40/60) 1 | 19 ± 2 | 44 ± 8 | 1100 ± 110 |
| Zenite HX-8000 2 | 22 ± 2 | 61 ± 9 | 1100 ± 140 |
Publisher’s Note: MDPI stays neutral with regard to jurisdictional claims in published maps and institutional affiliations. |
© 2021 by the authors. Licensee MDPI, Basel, Switzerland. This article is an open access article distributed under the terms and conditions of the Creative Commons Attribution (CC BY) license (https://creativecommons.org/licenses/by/4.0/).
Share and Cite
Mikhaylov, P.A.; Zuev, K.V.; Filatova, M.P.; Strelets, B.K.; Kulichikhin, V.G. Synthesis and Properties of Thermotropic Copolyesters Based on Poly(ethylene terephthalate) and 4′-Acetoxy-4-biphenyl-carboxylic Acid. Polymers 2021, 13, 1720. https://doi.org/10.3390/polym13111720
Mikhaylov PA, Zuev KV, Filatova MP, Strelets BK, Kulichikhin VG. Synthesis and Properties of Thermotropic Copolyesters Based on Poly(ethylene terephthalate) and 4′-Acetoxy-4-biphenyl-carboxylic Acid. Polymers. 2021; 13(11):1720. https://doi.org/10.3390/polym13111720
Chicago/Turabian StyleMikhaylov, Pavel A., Kirill V. Zuev, Marina P. Filatova, Boris Kh. Strelets, and Valery G. Kulichikhin. 2021. "Synthesis and Properties of Thermotropic Copolyesters Based on Poly(ethylene terephthalate) and 4′-Acetoxy-4-biphenyl-carboxylic Acid" Polymers 13, no. 11: 1720. https://doi.org/10.3390/polym13111720
APA StyleMikhaylov, P. A., Zuev, K. V., Filatova, M. P., Strelets, B. K., & Kulichikhin, V. G. (2021). Synthesis and Properties of Thermotropic Copolyesters Based on Poly(ethylene terephthalate) and 4′-Acetoxy-4-biphenyl-carboxylic Acid. Polymers, 13(11), 1720. https://doi.org/10.3390/polym13111720

