Responsive Polyesters with Alkene and Carboxylic Acid Side-Groups for Tissue Engineering Applications
Abstract
1. Introduction
2. Materials and Methods
2.1. Materials
2.2. Synthesis of Poly(TPAE-alt-AD)
2.3. Synthesis of Functional Polyesters with Carboxylic Acid Side Groups
2.4. Preparation of Polyester-Based Thin Films
2.5. Characterization Techniques
2.6. Cell Culture of L929 and Seeding onto the Polyester Films
2.7. Cell Viability and Proliferation Assay
2.8. Optical Microscopy
2.9. Statistical Analysis of the Cell Viability
3. Results and Discussion
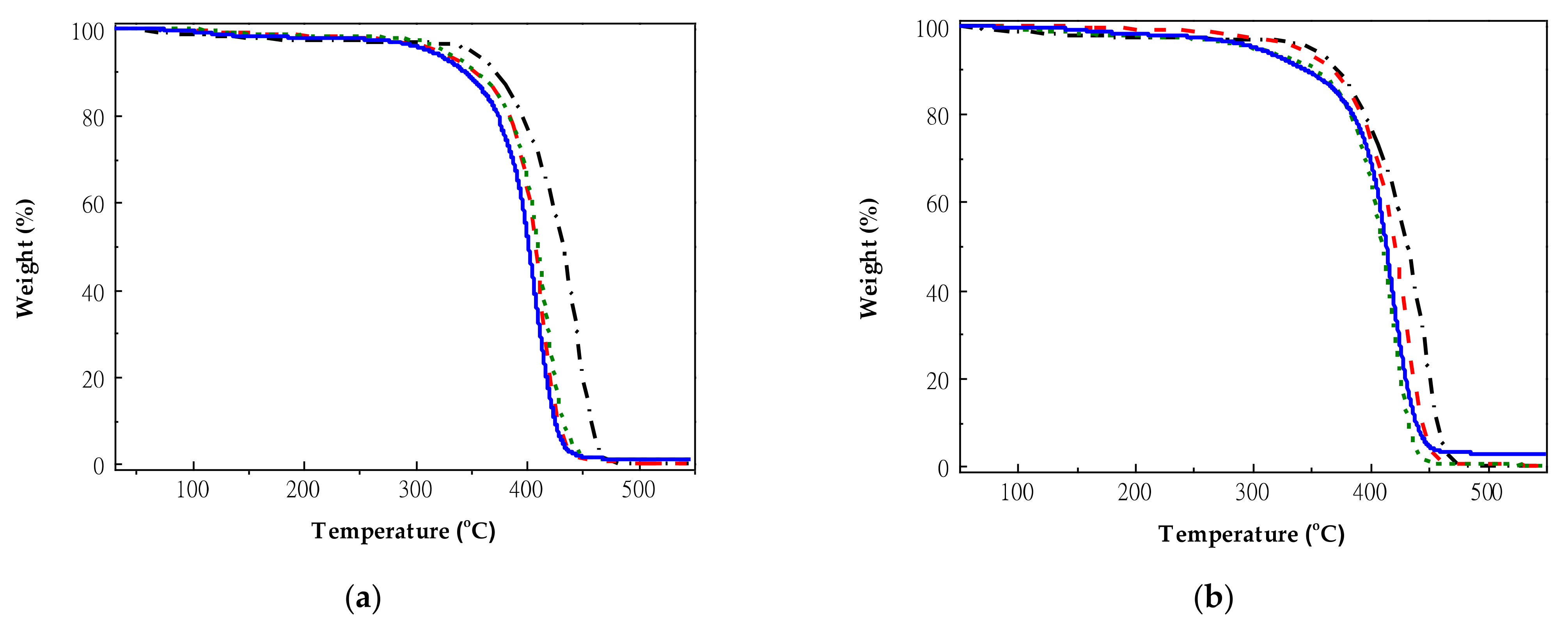
3.1. Synthesis and Characterization of the Alkene Functionalized Polyesters
3.2. Synthesis and Characterization of the pH-Responsive Polyesters
3.3. Deposition of Thin Polyester Films on Glass Substrates
3.4. Adhesion and Morphology of Fibroblasts Cultured on the Polyester Films
3.5. Evaluation of the Cell Viability and Proliferation on Polyester Films
4. Conclusions
Supplementary Materials
Author Contributions
Funding
Institutional Review Board Statement
Informed Consent Statement
Data Availability Statement
Acknowledgments
Conflicts of Interest
References
- Georgopoulou, A.; Kaliva, M.; Vamvakaki, M.; Chatzinikolaidou, M. Osteogenic Potential of Pre-Osteoblastic Cells on a Chitosan-graft-Polycaprolactone Copolymer. Materials 2018, 11, 1–14. [Google Scholar] [CrossRef]
- Albertsson, A.-C.; Varma, I.K. Aliphatic Polyesters: Synthesis, Properties and Applications. In Degradable Aliphatic Polyesters; Springer: Berlin/Heidelberg, Germany, 2002; pp. 1–40. [Google Scholar]
- Kaliva, M.; Georgopoulou, A.; Dragatogiannis, D.A.; Charitidis, C.A.; Chatzinikolaidou, M.; Vamvakaki, M. Biodegradable Chitosan-graft-Poly(l-lactide) Copolymers for Bone Tissue Engineering. Polymers 2020, 12, 1–17. [Google Scholar] [CrossRef]
- Lee, J.H.; Jung, H.W.; Kang, I.-K.; Lee, H.B. Cell behaviour on polymer surfaces with different functional groups. Biomaterials 1994, 15, 705–711. [Google Scholar] [CrossRef]
- Chen, T.; Cai, T.; Jin, Q.; Ji, J. Design and fabrication of functional polycaprolactone. e-Polymers 2015, 15, 3–13. [Google Scholar] [CrossRef]
- Becker, G.; Wurm, F.R. Functional biodegradable polymers via ring-opening polymerization of monomers without protective groups. Chem. Soc. Rev. 2018, 47, 7739–7782. [Google Scholar] [CrossRef] [PubMed]
- Su, R.-J.; Yang, H.-W.; Leu, Y.-L.; Hua, M.-Y.; Lee, R.-S. Synthesis and characterization of amphiphilic functional polyesters by ring-opening polymerization and click reaction. React. Funct. Polym. 2012, 72, 36–44. [Google Scholar] [CrossRef]
- Parrish, B.; Breitenkamp, R.B.; Emrick, T. PEG- and Peptide-Grafted Aliphatic Polyesters by Click Chemistry. J. Am. Chem. Soc. 2005, 127, 7404–7410. [Google Scholar] [CrossRef]
- Leemhuis, M.; van Nostrum, C.F.; Kruijtzer, J.A.W.; Zhong, Z.Y.; ten Breteler, M.R.; Dijkstra, P.J.; Feijen, J.; Hennink, W.E. Functionalized Poly(α-hydroxy acid)s via Ring-Opening Polymerization: Toward Hydrophilic Polyesters with Pendant Hydroxyl Groups. Macromolecules 2006, 39, 3500–3508. [Google Scholar] [CrossRef]
- Chen, X.; Lai, H.; Xiao, C.; Tian, H.; Chen, X.; Tao, Y.; Wang, X. New bio-renewable polyester with rich side amino groups from l-lysine via controlled ring-opening polymerization. Polym. Chem. 2014, 5, 6495–6502. [Google Scholar] [CrossRef]
- Pounder, R.J.; Fox, D.J.; Barker, I.A.; Bennison, M.J.; Dove, A.P. Ring-opening polymerization of an O-carboxyanhydride monomer derived from l-malic acid. Polym. Chem. 2011, 2, 2204–2212. [Google Scholar] [CrossRef]
- Tardy, A.; Honoré, J.-C.; Tran, J.; Siri, D.; Delplace, V.; Bataille, I.; Letourneur, D.; Perrier, J.; Nicoletti, C.; Maresca, M.; et al. Radical Copolymerization of Vinyl Ethers and Cyclic Ketene Acetals as a Versatile Platform to Design Functional Polyesters. Angew. Chem. Int. Ed. 2017, 56, 16515–16520. [Google Scholar] [CrossRef]
- Undin, J.; Finne-Wistrand, A.; Albertsson, A.-C. Copolymerization of 2-Methylene-1,3-dioxepane and Glycidyl Methacrylate, a Well-Defined and Efficient Process for Achieving Functionalized Polyesters for Covalent Binding of Bioactive Molecules. Biomacromolecules 2013, 14, 2095–2102. [Google Scholar] [CrossRef]
- Wu, W.-X.; Wang, N.; Liu, B.-Y.; Deng, Q.-F.; Yu, X.-Q. Lipase-catalyzed synthesis of azido-functionalized aliphatic polyesters towards acid-degradable amphiphilic graft copolymers. Soft Matter 2014, 10, 1199–1213. [Google Scholar] [CrossRef]
- You, Z.; Cao, H.; Gao, J.; Shin, P.H.; Day, B.W.; Wang, Y. A functionalizable polyester with free hydroxyl groups and tunable physiochemical and biological properties. Biomaterials 2010, 31, 3129–3138. [Google Scholar] [CrossRef]
- Yan, Y.; Siegwart, D.J. Scalable synthesis and derivation of functional polyesters bearing ene and epoxide side chains. Polym. Chem. 2014, 5, 1362–1371. [Google Scholar] [CrossRef]
- Ji, S.; Dube, K.; Chesterman, J.P.; Fung, S.L.; Liaw, C.-Y.; Kohn, J.; Guvendiren, M. Polyester-based ink platform with tunable bioactivity for 3D printing of tissue engineering scaffolds. Biomater. Sci. 2019, 7, 560–570. [Google Scholar] [CrossRef]
- Huang, P.; Bi, X.; Gao, J.; Sun, L.; Wang, S.; Chen, S.; Fan, X.; You, Z.; Wang, Y. Phosphorylated poly(sebacoyl diglyceride)—A phosphate functionalized biodegradable polymer for bone tissue engineering. J. Mater. Chem. B 2016, 4, 2090–2101. [Google Scholar] [CrossRef]
- Brannigan, R.P.; Walder, A.; Dove, A.P. Application of functional diols derived from pentaerythritol as chain extenders in the synthesis of novel thermoplastic polyester-urethane elastomers. Polym. Chem. 2019, 10, 5236–5241. [Google Scholar] [CrossRef]
- Seyednejad, H.; Ji, W.; Yang, F.; van Nostrum, C.F.; Vermonden, T.; van den Beucken, J.J.J.P.; Dhert, W.J.A.; Hennink, W.E.; Jansen, J.A. Coaxially Electrospun Scaffolds Based on Hydroxyl-Functionalized Poly(ε-caprolactone) and Loaded with VEGF for Tissue Engineering Applications. Biomacromolecules 2012, 13, 3650–3660. [Google Scholar] [CrossRef]
- Flaig, F.; Ragot, H.; Simon, A.; Revet, G.; Kitsara, M.; Kitasato, L.; Hébraud, A.; Agbulut, O.; Schlatter, G. Design of Functional Electrospun Scaffolds Based on Poly(glycerol sebacate) Elastomer and Poly(lactic acid) for Cardiac Tissue Engineering. ACS Biomater. Sci. Eng. 2020, 6, 2388–2400. [Google Scholar] [CrossRef]
- Davenport Huyer, L.; Zhang, B.; Korolj, A.; Montgomery, M.; Drecun, S.; Conant, G.; Zhao, Y.; Reis, L.; Radisic, M. Highly Elastic and Moldable Polyester Biomaterial for Cardiac Tissue Engineering Applications. ACS Biomater. Sci. Eng. 2016, 2, 780–788. [Google Scholar] [CrossRef] [PubMed]
- Xie, Y.; Lei, D.; Wang, S.; Liu, Z.; Sun, L.; Zhang, J.; Qing, F.-L.; He, C.; You, Z. A Biocompatible, Biodegradable, and Functionalizable Copolyester and Its Application in Water-Responsive Shape Memory Scaffold. ACS Biomater. Sci. Eng. 2019, 5, 1668–1676. [Google Scholar] [CrossRef]
- Hoyle, C.E.; Bowman, C.N. Thiol–Ene Click Chemistry. Angew. Chem. Int. Ed. 2010, 49, 1540–1573. [Google Scholar] [CrossRef]
- Lowe, A.B. Thiol-ene “click” reactions and recent applications in polymer and materials synthesis. Polym. Chem. 2010, 1, 17–36. [Google Scholar] [CrossRef]
- Sawicki, L.A.; Kloxin, A.M. Design of thiol–ene photoclick hydrogels using facile techniques for cell culture applications. Biomater. Sci. 2014, 2, 1612–1626. [Google Scholar] [CrossRef] [PubMed]
- Yan, Y.; Liu, L.; Xiong, H.; Miller, J.B.; Zhou, K.; Kos, P.; Huffman, K.E.; Elkassih, S.; Norman, J.W.; Carstens, R.; et al. Functional polyesters enable selective siRNA delivery to lung cancer over matched normal cells. Proc. Natl. Acad. Sci. USA 2016, 113, E5702–E5710. [Google Scholar] [CrossRef] [PubMed]
- Anselme, K. Osteoblast adhesion on biomaterials. Biomaterials 2000, 21, 667–681. [Google Scholar] [CrossRef]
- Shin, H.; Quinten Ruhé, P.; Mikos, A.G.; Jansen, J.A. In vivo bone and soft tissue response to injectable, biodegradable oligo(poly(ethylene glycol) fumarate) hydrogels. Biomaterials 2003, 24, 3201–3211. [Google Scholar] [CrossRef]
- Charitidis, C.A.; Dragatogiannis, D.A.; Milioni, E.; Kaliva, M.; Vamvakaki, M.; Chatzinikolaidou, M. Synthesis, Nanomechanical Characterization and Biocompatibility of a Chitosan-Graft-Poly(ε-caprolactone) Copolymer for Soft Tissue Regeneration. Materials 2019, 12, 1–21. [Google Scholar] [CrossRef]
- Chatzinikolaidou, M.; Rekstyte, S.; Danilevicius, P.; Pontikoglou, C.; Papadaki, H.; Farsari, M.; Vamvakaki, M. Adhesion and growth of human bone marrow mesenchymal stem cells on precise-geometry 3D organic–inorganic composite scaffolds for bone repair. Mater. Sci. Eng. C 2015, 48, 301–309. [Google Scholar] [CrossRef]
- Williams, D.F. There is no such thing as a biocompatible material. Biomaterials 2014, 35, 10009–10014. [Google Scholar] [CrossRef] [PubMed]
- Papadimitriou, L.; Kaliva, M.; Vamvakaki, M.; Chatzinikolaidou, M. Immunomodulatory Potential of Chitosan-graft-poly(ε-caprolactone) Copolymers toward the Polarization of Bone-Marrow-Derived Macrophages. ACS Biomater. Sci. Eng. 2017, 3, 1341–1349. [Google Scholar] [CrossRef]
- Berg, J.M.; Eriksson, L.G.T.; Claesson, P.M.; Borve, K.G.N. Three-Component Langmuir-Blodgett Films with a Controllable Degree of Polarity. Langmuir 1994, 10, 1225–1234. [Google Scholar] [CrossRef]
- Schwierz, N.; Horinek, D.; Liese, S.; Pirzer, T.; Balzer, B.N.; Hugel, T.; Netz, R.R. On the Relationship between Peptide Adsorption Resistance and Surface Contact Angle: A Combined Experimental and Simulation Single-Molecule Study. J. Am. Chem. Soc. 2012, 134, 19628–19638. [Google Scholar] [CrossRef] [PubMed]










| Functional Polyesters | Degree of Modification (%) 1 | pKα 2 | Transition pH 3 |
|---|---|---|---|
| P(TPAE-alt-AD) | - | - | - |
| PE-Prop50 | 49 | 6.9 | 8.1 |
| PE-Prop80 | 83 | 6.9 | 7.2 |
| PE-Prop100 | 100 | 6.6 | 6.7 |
| PE-Glyc50 | 46 | 6.4 | 6.9 |
| PE-Glyc80 | 83 | 6.5 | 6.4 |
| PE-Glyc100 | 100 | 5.8 | 5.6 |
| Sample | Degradation Temperature 1 (°C) | Water Contact Angle (°) |
|---|---|---|
| P(TPAE-alt-AD) | 447 | 83 ± 1 |
| PE-Prop50 | 410 | 86 ± 1 |
| PE-Prop80 | 414 | 84 ± 1 |
| PE-Prop100 | 406 | - |
| PE-Glyc50 | 428 | 83 ± 1 |
| PE-Glyc80 | 418 | 75 ± 1 |
| PE-Glyc100 | 419 | - |
Publisher’s Note: MDPI stays neutral with regard to jurisdictional claims in published maps and institutional affiliations. |
© 2021 by the authors. Licensee MDPI, Basel, Switzerland. This article is an open access article distributed under the terms and conditions of the Creative Commons Attribution (CC BY) license (https://creativecommons.org/licenses/by/4.0/).
Share and Cite
Mountaki, S.A.; Kaliva, M.; Loukelis, K.; Chatzinikolaidou, M.; Vamvakaki, M. Responsive Polyesters with Alkene and Carboxylic Acid Side-Groups for Tissue Engineering Applications. Polymers 2021, 13, 1636. https://doi.org/10.3390/polym13101636
Mountaki SA, Kaliva M, Loukelis K, Chatzinikolaidou M, Vamvakaki M. Responsive Polyesters with Alkene and Carboxylic Acid Side-Groups for Tissue Engineering Applications. Polymers. 2021; 13(10):1636. https://doi.org/10.3390/polym13101636
Chicago/Turabian StyleMountaki, Stella Afroditi, Maria Kaliva, Konstantinos Loukelis, Maria Chatzinikolaidou, and Maria Vamvakaki. 2021. "Responsive Polyesters with Alkene and Carboxylic Acid Side-Groups for Tissue Engineering Applications" Polymers 13, no. 10: 1636. https://doi.org/10.3390/polym13101636
APA StyleMountaki, S. A., Kaliva, M., Loukelis, K., Chatzinikolaidou, M., & Vamvakaki, M. (2021). Responsive Polyesters with Alkene and Carboxylic Acid Side-Groups for Tissue Engineering Applications. Polymers, 13(10), 1636. https://doi.org/10.3390/polym13101636

