Photo- and Acid-Degradable Polyacylhydrazone–Doxorubicin Conjugates
Abstract
:1. Introduction
2. Experimental
2.1. Materials and Methods
2.2. Synthesis of the Dibenzaldehyde Terminated Poly(ethylene glycol) (Mn = 4000 g mol−1) Macromonomer
2.3. Synthesis of the PEG-alt-AA Alternating Copolymer
2.4. Synthesis of a Small-Molecule Acylhydrazone Analogue
2.5. Synthesis of the PEG-alt-AA-DOX Drug Conjugate
2.6. Self-Assembly of the Amphiphilic PEG-alt-AA-DOX Drug Conjugates in Water
2.7. Characterization Methods
2.8. Photoirradiation Experiments
2.9. Acidic Hydrolysis of the PEG-alt-AA Alternating Copolymer
2.10. In Vitro Acid- and Photo-Triggered Drug Release
3. Results and Discussion
3.1. Synthesis and Characterization of the PEG-alt-AA Alternating Copolymer
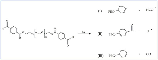
3.2. Synthesis and Photodegradation of a Small Acylhydrazone Molecule
3.3. Photodegradation of the PEG-alt-AA Alternating Copolymer
3.4. Synthesis and Self-Assembly of the PEG-alt-AA-DOX Drug Conjugates
3.5. Photo- and Acid-Induced Disruption of the Self-Assembled PEG-alt-AA-DOX Nanoparticles and the Release of the Drug
4. Conclusions
Supplementary Materials
Author Contributions
Funding
Institutional Review Board Statement
Informed Consent Statement
Data Availability Statement
Acknowledgments
Conflicts of Interest
References
- Hu, X.; Zhang, Y.; Xie, Z.; Jing, X.; Bellotti, A.; Gu, Z. Stimuli-responsive polymersomes for biomedical applications. Biomacromolecules 2017, 18, 649–673. [Google Scholar] [CrossRef]
- Manouras, T.; Vamvakaki, M. Field responsive materials: Photo-, electro-, magnetic- and ultrasound-sensitive polymers. Polym. Chem. 2017, 8, 74–96. [Google Scholar] [CrossRef]
- Seo, W.; Phillips, S.T.; Pennsyl, T.; State, V.; Uni, V.; Park, U.V.; Pennsyl, V. Patterned plastics that change physical structure in response to applied chemical signals. J. Am. Chem. Soc. 2010, 16802, 9234–9235. [Google Scholar] [CrossRef] [PubMed]
- Chen, T.; Wang, H.; Chu, Y.; Boyer, C.; Liu, J.; Xu, J. Photo-induced depolymerisation: Recent advances and future challenges. Chem. Photo. Chem. 2019, 3, 1059–1076. [Google Scholar] [CrossRef]
- Brieke, C.; Rohrbach, F.; Gottschalk, A.; Mayer, G.; Heckel, A. Light-controlled tools. Angew. Chem. Int. Ed. 2012, 51, 8446–8476. [Google Scholar] [CrossRef]
- Pasparakis, G.; Manouras, T.; Argitis, P.; Vamvakaki, M. Photodegradable polymers for biotechnological applications. Macromol. Rapid Commun. 2012, 33, 183–198. [Google Scholar] [CrossRef] [PubMed]
- Pasparakis, G.; Manouras, T.; Selimis, A.; Vamvakaki, M. Laser-Induced cell detachment and patterning with photodegradable polymer substrates. Angew. Chem Int. Ed. 2011, 50, 4142–4145. [Google Scholar] [CrossRef]
- Pasparakis, G.; Manouras, T.; Vamvakaki, M.; Argitis, P. Harnessing photochemical internalization with dual degradable nanoparticles for combinatorial photo-chemotherapy. Nat. Commun. 2014, 5, 3623. [Google Scholar] [CrossRef]
- Petit, C.; Bachmann, J.; Michalek, L.; Catel, Y.; Blasco, E.; Blinco, P.J.; Unterriener, N.A.; Barner-Kowollik, C. UV-Induced photolysis of polyurethanes. Chem. Comm. 2021, 57, 2911–2914. [Google Scholar] [CrossRef]
- Tong, R.; Xia, H.; Lu, X. Fast release behavior of block copolymer micelles under high intensity focused ultrasound/redox combined stimulus. J. Mater. Chem. B 2013, 1, 886–894. [Google Scholar] [CrossRef]
- Hu, Q.; Katti, P.S.; Gu, Z. Enzyme-responsive nanomaterials for controlled drug delivery. Nanoscale 2014, 6, 12273–12286. [Google Scholar] [CrossRef]
- Zhang, Q.; Re Ko, N.; Kwon Oh, J. Recent advances in stimuli-responsive degradable block copolymer micelles: Synthesis and controlled drug delivery applications. Chem. Commun. 2012, 48, 7542. [Google Scholar] [CrossRef] [PubMed]
- Duncan, R. Polymer conjugates as anticancer nanomedicines. Nat. Rev. Cancer 2006, 6, 688–701. [Google Scholar] [CrossRef] [PubMed]
- Seifu, M.F.; Nath, L.K.; Seifu, M.F.; Nath, L.K. Polymer-Drug conjugates: Novel Carriers for Cancer Chemotherapy. Polym. Plast. Technol. Eng. 2018, 58, 158–171. [Google Scholar] [CrossRef]
- Li, J.; Dirisala, A.; Ge, Z.; Wang, Y.; Yin, W.; Ke, W.; Toh, K.; Xie, J.; Matsumoto, Y.; Anraku, Y.; et al. Therapeutic vesicular nanoreactors with tumor-specific activation and self-destruction for synergistic tumor ablation. Angew. Chem. Int. Ed. 2017, 56, 14025–14030. [Google Scholar] [CrossRef]
- Li, J.; Anraku, Y.; Kataoka, K. Self-boosting catalytic nanoreactors integrated with triggerable crosslinking membrane networks for initiation of immunogenic cell death by pyroptosis. Angew. Chem. Int. Ed. 2020, 59, 13526–13530. [Google Scholar] [CrossRef]
- Li, J.; Kataoka, K. Chemo-physical Strategies to Advance the in vivo functionality of targeted nanomedicine: The next generation. J. Am. Chem. Soc. 2021, 143, 538–559. [Google Scholar] [CrossRef]
- Wei, X.; Luo, Q.; Sun, L.; Li, X.; Zhu, H.; Guan, P.; Wu, M.; Luo, K.; Gong, Q. Enzyme- and pH-sensitive branched polymer-doxorubicin conjugate-based nanoscale drug delivery system for cancer therapy. ACS Appl. Mater. Interfaces 2016, 8, 11765–11778. [Google Scholar] [CrossRef]
- Seetharaman, G.; Kallar, A.R.; Vijayan, V.M.; Muthu, J.; Selvam, S. Design, preparation and characterization of pH-responsive prodrug micelles with hydrolyzable anhydride linkages for controlled drug delivery. J. Colloid Interface Sci. 2016, 492, 61–72. [Google Scholar] [CrossRef] [PubMed]
- Tomlinson, R.; Heller, J.; Brocchini, S.; Duncan, R. Polyacetal-doxorubicin conjugates designed for pH-dependent degradation. Bioconjug. Chem. 2003, 14, 1096–1106. [Google Scholar] [CrossRef] [PubMed]
- Samanta, S.; De Silva, C.; Leophairatana, P.; Koberstein, J. Main-chain polyacetal conjugates with HIF-1 inhibitors: Temperature-responsive, pH-degradable drug delivery vehicles. J. Mater. Chem. B 2018, 6, 666–674. [Google Scholar] [CrossRef]
- Dong, S.; Sun, Y.; Liu, J.; Li, L.; He, J.; Zhang, M.; Ni, P. Multifunctional polymeric prodrug with simultaneous conjugating camptothecin and doxorubicin for pH/reduction dual-responsive drug delivery. ACS Appl. Mater. Interfaces 2019, 11, 8740–8748. [Google Scholar] [CrossRef] [PubMed]
- Li, J.; Li, Y.; Wang, Y.; Ke, W.; Chen, W.; Wang, W.; Ge, Z. Polymer prodrug-based nanoreactors activated by tumor acidity for orchestrated oxidation/chemotherapy. Nano Lett. 2017, 17, 6983–6990. [Google Scholar] [CrossRef] [PubMed]
- Zhang, Y.; Yin, Q.; Yin, L.; Ma, L.; Tang, L.; Cheng, J. Chain-shattering polymeric therapeutics with on-demand drug-release capability. Angew. Chem. Int. Ed. 2013, 52, 6435–6439. [Google Scholar] [CrossRef] [PubMed] [Green Version]
- Skene, W.G.; Lehn, J.M.P. Dynamers: Polyacylhydrazone reversible covalent polymers, component exchange, and constitutional diversity. Proc. Natl. Acad. Sci. USA 2004, 101, 8270–8275. [Google Scholar] [CrossRef] [PubMed] [Green Version]
- Michel, R.H.; Murphey, W.A. Polymers from the condensation of dihydrazides with dialdehydes and diketones. J. Appl. Polym. Sci. 1963, 7, 617–624. [Google Scholar] [CrossRef]
- Guo, X.; Shi, C.; Wang, J.; Di, S.; Zhou, S. PH-triggered intracellular release from actively targeting polymer micelles. Biomaterials 2013, 34, 4544–4554. [Google Scholar] [CrossRef] [PubMed]
- Zhou, L.; Yu, L.; Ding, M.; Li, J.; Tan, H.; Wang, Z.; Fu, Q. Synthesis and characterization of pH-sensitive biodegradable polyurethane for potential drug delivery applications. Macromolecules 2011, 44, 857–864. [Google Scholar] [CrossRef]
- Binauld, S.; Stenzel, M.H. Acid-degradable polymers for drug delivery: A decade of innovation. Chem. Commun. 2013, 49, 2082. [Google Scholar] [CrossRef]
- Deng, G.; Tang, C.; Li, F.; Jiang, H.; Chen, Y. Covalent cross-linked polymer gels with reversible sol-gel transition and self-healing properties. Macromolecules 2010, 43, 1191–1194. [Google Scholar] [CrossRef]
- Ossipov, D.A.; Yang, X.; Varghese, O.; Kootala, S.; Hilborn, J. Modular approach to functional hyaluronic acid hydrogels using orthogonal chemical reactions. Chem. Commun. 2010, 46, 8368–8370. [Google Scholar] [CrossRef]
- Bae, Y.; Fukushima, S.; Harada, A.; Kataoka, K. Design of environment-sensitive supramolecular assemblies for intracellular drug delivery: Polymeric micelles that are responsive to intracellular pH change. Angew. Chem. Int. Ed. 2003, 42, 4640–4643. [Google Scholar] [CrossRef] [PubMed]
- Casey, J.R.; Grinstein, S.; Orlowski, J. Sensors and regulators of intracellular pH. Nat. Rev. Mol. Cell Biol. 2009, 11, 50–61. [Google Scholar] [CrossRef] [PubMed]
- Kuhl, N.; Bode, S.; Bose, R.K.; Vitz, J.; Seifert, A.; Hoeppener, S.; Garcia, S.J.; Spange, S.; Zwaag, S.; Van Der Hager, M.D.; et al. Acylhydrazones as reversible covalent crosslinkers for self-healing polymers. Adv. Funct. Mater. 2015, 25, 3295–3301. [Google Scholar] [CrossRef]
- Chakma, P.; Konkolewicz, D. Dynamic covalent bonds in polymeric materials. Angew. Chem. 2019, 131, 9784–9797. [Google Scholar] [CrossRef]
- Winne, J.M.; Leibler, L.; Du Prez, F.E. Dynamic covalent chemistry in polymer networks: A mechanistic perspective. Polym. Chem. 2019, 10, 6091–6108. [Google Scholar] [CrossRef]
- Su, W.Y.; Chen, Y.C.; Lin, F.H. Injectable oxidized hyaluronic acid/adipic acid dihydrazide hydrogel for nucleus pulposus regeneration. Acta Biomater. 2010, 6, 3044–3055. [Google Scholar] [CrossRef]
- Braschler, T.; Wu, S.; Wildhaber, F.; Bencherif, S.A.; Mooney, D.J. Soft nanofluidics governing minority ion exclusion in charged hydrogels. Soft Matter 2015, 11, 4081–4090. [Google Scholar] [CrossRef] [PubMed] [Green Version]
- Knop, K.; Hoogenboom, R.; Fischer, D.; Schubert, U.S. Poly(ethylene glycol) in drug delivery: Pros and cons as well as potential alternatives. Angew. Chem. Int. Ed. 2010, 49, 6288–6308. [Google Scholar] [CrossRef]
- Davis, M.E.; Chen, Z.; Shin, D.M. Nanoparticle therapeutics: An emerging treatment modality for cancer. Nat. Rev. Drug Discov. 2008, 7, 771–782. [Google Scholar] [CrossRef]
- Fan, W.; Tong, X.; Yan, Q.; Fu, S.; Zhao, Y. Photodegradable and size-tunable single-chain nanoparticles prepared from a single main-chain coumarin-containing polymer precursor. Chem. Commun. 2014, 50, 13492–13494. [Google Scholar] [CrossRef] [PubMed]
- Jin, Q.; Wang, Y.; Cai, T.; Wang, H.; Ji, J. Bioinspired photo-degradable amphiphilic hyperbranched poly(amino ester)s: Facile synthesis and intracellular drug delivery. Polymer 2014, 55, 4641–4650. [Google Scholar] [CrossRef]
- Folmer-Andersen, J.F.; Lehn, J. Thermoresponsive dynamers: Thermally induced, reversible chain elongation of amphiphilic poly(acylhydrazones). J. Am. Chem. Soc. 2011, 133, 10966–10973. [Google Scholar] [CrossRef]
- Xu, X.; Ma, S.; Wang, S.; Wu, J.; Li, Q.; Lu, N.; Liu, Y.; Yang, J.; Feng, J.; Zhu, J. Dihydrazone-based dynamic covalent epoxy networks with high creep resistance, controlled degradability, and intrinsic antibacterial properties from bioresources. J. Mater. Chem. A 2020, 8, 11261–11274. [Google Scholar] [CrossRef]
- Theodoropoulou, M.A.; Nikitas, N.F.; Kokotos, C.G. Aldehydes as powerful initiators for photochemical transformations. Beilstein J. Org. Chem. 2020, 16, 833–857. [Google Scholar] [CrossRef] [PubMed] [Green Version]
- Du, J.; Du, X.; Mao, C.; Wang, J. Tailor-made dual pH-sensitive polymer à doxorubicin nanoparticles. J. Am. Chem. Soc. 2011, 133, 17560–17563. [Google Scholar] [CrossRef]
















Publisher’s Note: MDPI stays neutral with regard to jurisdictional claims in published maps and institutional affiliations. |
© 2021 by the authors. Licensee MDPI, Basel, Switzerland. This article is an open access article distributed under the terms and conditions of the Creative Commons Attribution (CC BY) license (https://creativecommons.org/licenses/by/4.0/).
Share and Cite
Psarrou, M.; Kothri, M.G.; Vamvakaki, M. Photo- and Acid-Degradable Polyacylhydrazone–Doxorubicin Conjugates. Polymers 2021, 13, 2461. https://doi.org/10.3390/polym13152461
Psarrou M, Kothri MG, Vamvakaki M. Photo- and Acid-Degradable Polyacylhydrazone–Doxorubicin Conjugates. Polymers. 2021; 13(15):2461. https://doi.org/10.3390/polym13152461
Chicago/Turabian StylePsarrou, Maria, Martha Georgia Kothri, and Maria Vamvakaki. 2021. "Photo- and Acid-Degradable Polyacylhydrazone–Doxorubicin Conjugates" Polymers 13, no. 15: 2461. https://doi.org/10.3390/polym13152461
APA StylePsarrou, M., Kothri, M. G., & Vamvakaki, M. (2021). Photo- and Acid-Degradable Polyacylhydrazone–Doxorubicin Conjugates. Polymers, 13(15), 2461. https://doi.org/10.3390/polym13152461

