Effects of Poly(ethylene-co-glycidyl methacrylate) on the Microstructure, Thermal, Rheological, and Mechanical Properties of Thermotropic Liquid Crystalline Polyester Blends
Abstract
1. Introduction
2. Experimental
2.1. Materials
2.2. Preparation of TLCP/PEGMA Blends
2.3. Characterization
3. Results and Discussion
3.1. Morphological and Structural Characterization
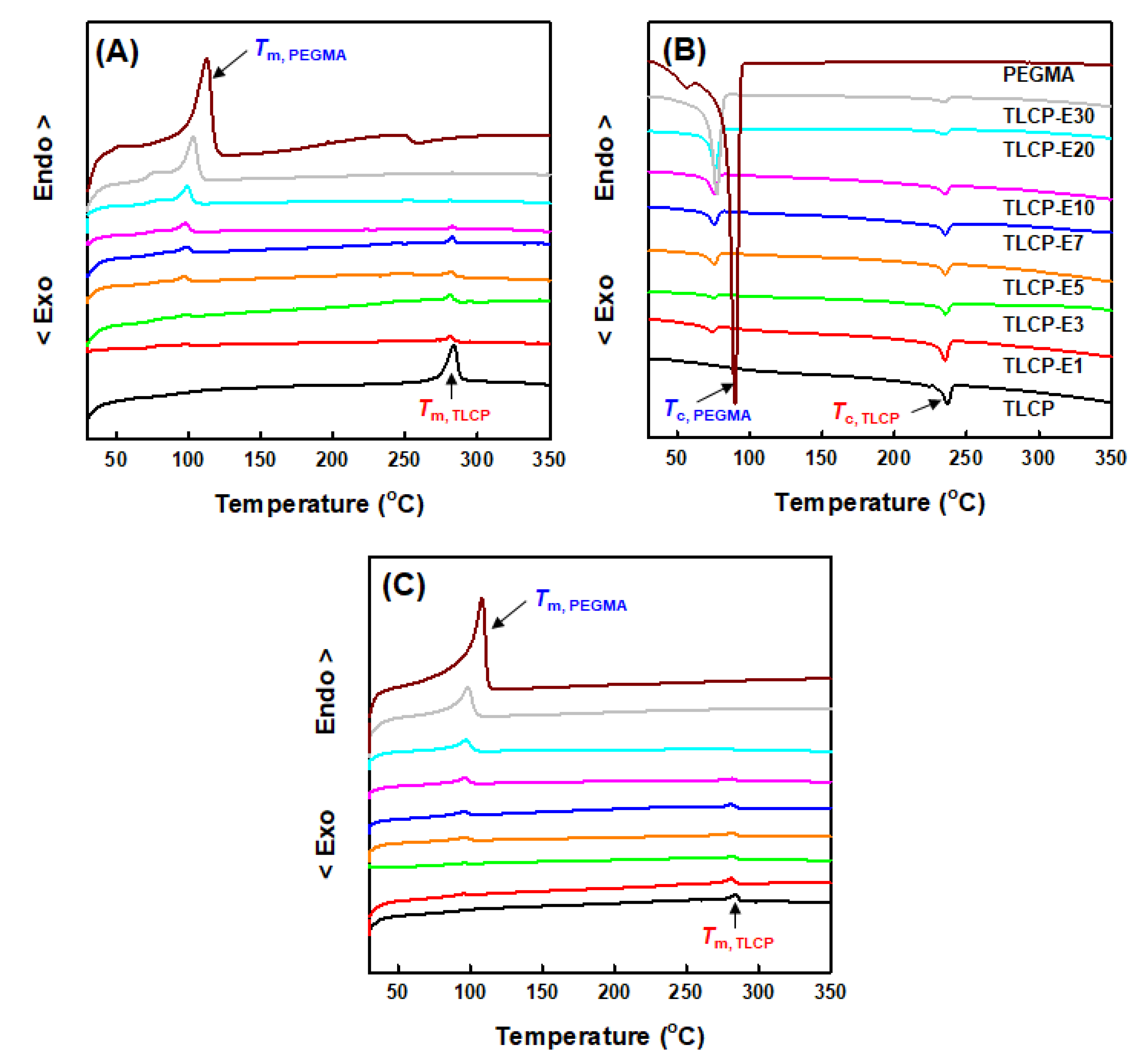
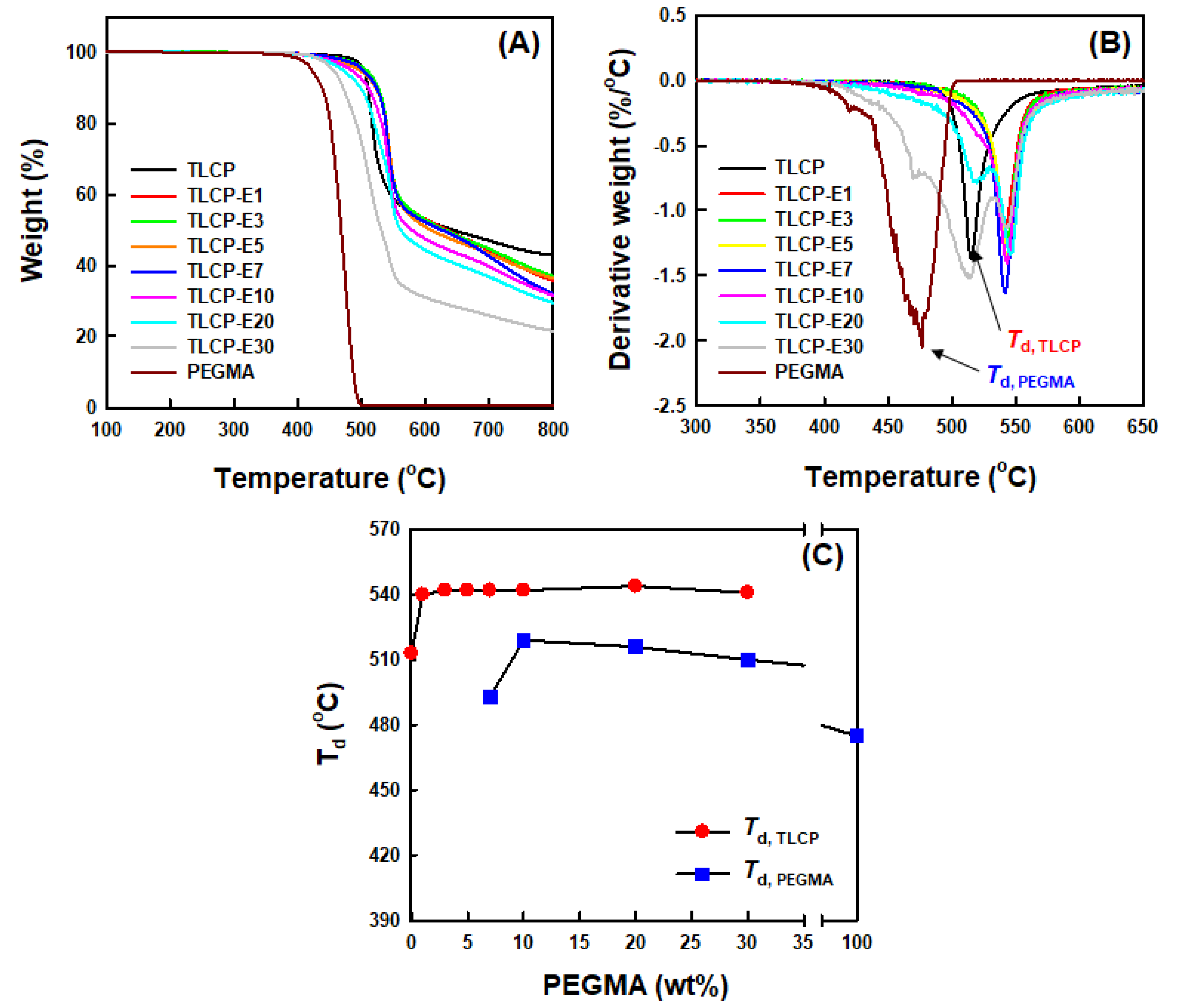
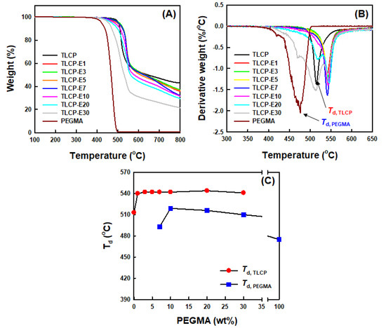
3.2. Thermal Transition and the Decomposition Property
3.3. Rheological Property
3.4. Dynamic Mechanical Property
4. Conclusions
Author Contributions
Funding
Conflicts of Interest
References
- Economy, J.; Goranov, K. Thermotropic Liquid-Crystalline Polymers for High-Performance Applications. In High Performance Polymers; Springer: Berlin/Heidelberg, Germany, 1994; pp. 221–256. [Google Scholar]
- Jin, J.-I. Microchemical structures and properties of main chain thermotropic polyesters. Mol. Cryst. Liq. Cryst. Sci. Technol. Sec. A Mol. Cryst. Liq. Cryst. 1994, 254, 197–207. [Google Scholar] [CrossRef]
- Kwon, Y.-W.; Choi, D.H.; Jin, J.-I. Liquid crystalline aromatic polyesters. Polym. Korea 2005, 29, 523–535. [Google Scholar]
- Yoo, T.J.; Song, B.S.; Lee, Y.E.; Bae, B.-S.; Jeong, Y.G. Effects of plasticizer on structures, non-isothermal crystallization, and rheological properties of polyarylates. J. Appl. Polym. Sci. 2018, 135, 45704. [Google Scholar] [CrossRef]
- De Kort, G.W.; Leone, N.; Stellamanns, E.; Auhl, D.; Wilsens, C.H.R.M.; Rastogi, S. Effect of shear rate on the orientation and relaxation of a vanillic acid based liquid crystalline polymer. Polymers 2018, 10, 935. [Google Scholar] [CrossRef]
- Park, G.T.; Chang, J.-H.; Lim, A.R. Thermotropic liquid crystalline polymers with various alkoxy side groups: Thermal properties and molecular dynamics. Polymers 2019, 11, 992. [Google Scholar] [CrossRef]
- Yamazaki, S.; Tokita, M. A correlation between thermal diffusivity and long period in thermotropic liquid crystalline polyesters. Macromolecules 2019, 52, 9781–9785. [Google Scholar] [CrossRef]
- Park, G.T.; Lee, W.J.; Chang, J.-H.; Lim, A.R. Dependence of the physical properties and molecular dynamics of thermotropic liquid crystalline copolyesters on p-hydroxybenzoic acid content. Polymers 2020, 12, 198. [Google Scholar] [CrossRef]
- Dutta, D.; Fruitwala, H.; Kohli, A.; Weiss, R.A. Polymer blends containing liquid crystals: A review. Polym. Eng. Sci. 1990, 30, 1005–1018. [Google Scholar] [CrossRef]
- Qin, Y.; Brydon, D.L.; Wardman, R.H. Fibres from polypropylene and liquid crystal polymer blends: 3. A comparison of polyblend fibres containing Vectra A900, Vectra B950 and Rodrun LC3000. Polymer 1993, 34, 3597–3604. [Google Scholar] [CrossRef]
- Datta, A.; Chen, H.H.; Baird, D.G. The effect of compatibilization on blends of polypropylene with a liquid-crystalline polymer. Polymer 1993, 34, 759–766. [Google Scholar] [CrossRef]
- Roetting, O.; Hinrichsen, G. Blends of thermotropic liquid crystalline and thermoplastic polymers: A short review. Adv. Polym. Technol. 1994, 13, 57–64. [Google Scholar] [CrossRef]
- Wiff, D.R.; Weinert, R.J. Blending thermotropic liquid crystal and thermoplastic polymers for microreinforcement. Polymer 1998, 39, 5069–5073. [Google Scholar] [CrossRef]
- Chen, L.; Huang, H.-Z.; Wang, Y.-Z.; Jow, J.; Su, K. Transesterification-controlled compatibility and microfibrillation in PC–ABS composites reinforced by phosphorus-containing thermotropic liquid crystalline polyester. Polymer 2009, 50, 3037–3046. [Google Scholar] [CrossRef]
- Chen, G.; Chen, P.; Zeng, L.; Xu, J.; Liu, P. Rheological behaviors and properties of poly (ether ether ketone) in-situ blends: Effect of chemical structure of added thermotropic liquid crystalline polyarylates. J. Macromol. Sci. B 2019, 58, 934–946. [Google Scholar] [CrossRef]
- De Kort, G.W.; Rastogi, S.; Wilsens, C.H.R.M. Controlling processing, morphology, and mechanical performance in blends of polylactide and thermotropic polyesters. Macromolecules 2019, 52, 6005–6017. [Google Scholar] [CrossRef] [PubMed]
- Chan, C.K.; Whitehouse, C.; Gao, P.; Chai, C.K. Flow induced chain alignment and disentanglement as the viscosity reduction mechanism within TLCP/HDPE blends. Polymer 2001, 42, 7847–7856. [Google Scholar] [CrossRef]
- Kim, S.H.; Park, S.W.; Gil, E.S. Crystallization kinetics of poly (ethylene terephthalate) with thermotropic liquid crystalline polymer blends. J. Appl. Polym. Sci. 1998, 67, 1383–1392. [Google Scholar] [CrossRef]
- Kim, J.Y.; Kim, S.H. Structure and property relationship of thermotropic liquid crystal polymer and polyester composite fibers. J. Appl. Polym. Sci. 2005, 99, 2211–2219. [Google Scholar] [CrossRef]
- Chan, C.K.; Whitehouse, C.; Gao, P. The effect of TLCP melt structure on the bulk viscosity of high molecular mass polyethylene. Polym. Eng. Sci. 1999, 39, 1353–1364. [Google Scholar] [CrossRef]
- Imai, Y.; Nishimura, S.; Abe, E.; Tateyama, H.; Abiko, A.; Yamaguchi, A.; Aoyama, T.; Taguchi, H. High-modulus poly(ethylene terephthalate)/expandable fluorine mica nanocomposites with a novel reactive compatibilizer. Chem. Mater. 2002, 14, 477–479. [Google Scholar] [CrossRef]
- Kim, J.K.; Lee, H. The effect of PS-GMA as an in situ compatibilizer on the morphology and rheological properties of the immiscible PBT/PS blend. Polymer 1996, 37, 305–311. [Google Scholar] [CrossRef]
- Kim, S.; Kim, J.K.; Park, C.E. Effect of molecular architecture of in situ reactive compatibilizer on the morphology and interfacial activity of an immiscible polyolefin/polystyrene blend. Polymer 1997, 38, 1809–1815. [Google Scholar] [CrossRef]
- Kudva, R.A.; Keskkula, H.; Paul, D.R. Compatibilization of nylon 6/ABS blends using glycidyl methacrylate/methyl methacrylate copolymers. Polymer 1998, 39, 2447–2460. [Google Scholar] [CrossRef]
- Hale, W.; Keskkula, H.; Paul, D.R. Compatibilization of PBT/ABS blends by methyl methacrylate-glycidyl methacrylate-ethyl acrylate terpolymers. Polymer 1999, 40, 365–377. [Google Scholar] [CrossRef]
- Rybnikar, F.; Yuan, B.-L.; Geil, P.H. Morphology of nascent melt polymerized poly (2,6-oxynaphthoate/m-oxybenzoate) copolymer. Polymer 1994, 35, 1831–1845. [Google Scholar] [CrossRef]
- Sahre, K.; Eichhorn, K.-J.; Reichelt, N.; Hummel, D.O. Orientational measurements on a crosslinkable thermotropic main-chain copolyester using FTIR spectrometry. Acta Polym. 1994, 45, 36–40. [Google Scholar] [CrossRef]
- Chen, B.-K.; Tsay, S.-Y.; Chen, J.-Y. Synthesis and properties of liquid crystalline polymers with low Tm and broad mesophase temperature ranges. Polymer 2005, 46, 8624–8633. [Google Scholar] [CrossRef]
- Shi, L.-S.; Wang, L.-Y.; Wang, Y.-N. The investigation of argon plasma surface modification to polyethylene: Quantitative ATR-FTIR spectroscopic analysis. Eur. Polym. J. 2006, 42, 1625–1633. [Google Scholar] [CrossRef]
- Cho, K.Y.; Eom, J.-Y.; Kim, C.-H.; Park, J.-K. Grafting of glycidyl methacrylate onto high-density polyethylene with reaction time in the batch mixer. J. Appl. Polym. Sci. 2008, 108, 1093–1099. [Google Scholar] [CrossRef]
- Undin, J.; Finne-Wistrand, A.; Albertsson, A.-C. Copolymerization of 2-methylene-1, 3-dioxepane and glycidyl methacrylate, a well-defined and efficient process for achieving functionalized polyesters for covalent binding of bioactive molecules. Biomacromolecules 2013, 14, 2095–2102. [Google Scholar] [CrossRef]
- Field, N.D.; Baldwin, R.; Layton, R.; Frayer, P.; Scardiglia, F. Polymorphism in a liquid crystalline polyester based on 4,4′-bisphenol, terephthalic acid, and p-hydroxybenzoic acid. Macromolecules 1988, 21, 2155–2160. [Google Scholar] [CrossRef]
- Caminiti, R.; Pandolfi, L.; Ballirano, P. Structure of polyethylene from X-ray powder diffraction: Influence of the amorphous fraction on data analysis. J. Macromol. Sci. B 2007, B39, 481–492. [Google Scholar] [CrossRef]










| Sample Code | Vibrational Band (cm−1) | ||
|---|---|---|---|
| TLCP | 1176 | 1249 | 1724 |
| TLCP-E1 | 1176 | 1249 | 1724 |
| TLCP-E3 | 1179 | 1249 | 1725 |
| TLCP-E5 | 1179 | 1249 | 1724 |
| TLCP-E7 | 1179 | 1249 | 1724 |
| TLCP-E10 | 1179 | 1249 | 1724 |
| TLCP-E20 | 1179 | 1251 | 1725 |
| TLCP-E30 | 1179 | 1253 | 1727 |
| PEGMA | - | 1234 | 1733 |
| Sample Code | 1st Heating | 1st Cooling | 2nd Heating | |||
|---|---|---|---|---|---|---|
| Tm, PEGMA/ΔHm, PEGMA (°C, J/g) | Tm, TLCP/ΔHm, TLCP (°C, J/g) | Tc, PEGMA/ΔHc, PEGMA (°C, J/g) | Tc, TLCP/ΔHc, TLCP (°C, J/g) | Tm, PEGMA/ΔHm, PEGMA (°C, J/g) | Tm, TLCP/ΔHm, TLCP (°C, J/g) | |
| TLCP | - | 281/43.9 | - | 237/17.9 | - | 282/16.1 |
| TLCP-E1 | 85/1.6 | 276/1.4 | 77/0.7 | 235/4.0 | 93/0.6 | 276/1.7 |
| TLCP-E3 | 93/1.7 | 276/1.2 | 79/0.8 | 237/3.0 | 92/0.7 | 277/1.6 |
| TLCP-E5 | 92/2.5 | 279/1.1 | 76/1.9 | 236/2.1 | 92/2.1 | 278/1.5 |
| TLCP-E7 | 93/4.7 | 279/1.1 | 76/3.1 | 236/2.1 | 91/3.2 | 277/1.5 |
| TLCP-E10 | 95/5.6 | 278/0.6 | 76/4.7 | 237/2.0 | 92/4.5 | 277/1.0 |
| TLCP-E20 | 95/18.2 | 277/0.5 | 77/15.5 | 237/1.7 | 93/18.3 | 277/0.7 |
| TLCP-E30 | 101/29.4 | 277/0.3 | 77/27.0 | 237/1.1 | 95/26.6 | 277/0.4 |
| PEGMA | 110/448.6 | - | 90/472.5 | - | 107/486.4 | - |
© 2020 by the authors. Licensee MDPI, Basel, Switzerland. This article is an open access article distributed under the terms and conditions of the Creative Commons Attribution (CC BY) license (http://creativecommons.org/licenses/by/4.0/).
Share and Cite
Lee, S.H.; Jeon, H.-B.; Hwang, G.-H.; Kwon, Y.S.; Lee, J.-S.; Park, G.-T.; Kim, S.-Y.; Kang, H.-E.; Choi, E.-J.; Jang, S.-H.; et al. Effects of Poly(ethylene-co-glycidyl methacrylate) on the Microstructure, Thermal, Rheological, and Mechanical Properties of Thermotropic Liquid Crystalline Polyester Blends. Polymers 2020, 12, 2124. https://doi.org/10.3390/polym12092124
Lee SH, Jeon H-B, Hwang G-H, Kwon YS, Lee J-S, Park G-T, Kim S-Y, Kang H-E, Choi E-J, Jang S-H, et al. Effects of Poly(ethylene-co-glycidyl methacrylate) on the Microstructure, Thermal, Rheological, and Mechanical Properties of Thermotropic Liquid Crystalline Polyester Blends. Polymers. 2020; 12(9):2124. https://doi.org/10.3390/polym12092124
Chicago/Turabian StyleLee, Sang Hoon, Ha-Bin Jeon, Gyu-Hyun Hwang, Young Seung Kwon, Ji-Su Lee, Gyu-Tae Park, Soo-Yeon Kim, Ha-Eun Kang, Eun-Ji Choi, Sun-Hwa Jang, and et al. 2020. "Effects of Poly(ethylene-co-glycidyl methacrylate) on the Microstructure, Thermal, Rheological, and Mechanical Properties of Thermotropic Liquid Crystalline Polyester Blends" Polymers 12, no. 9: 2124. https://doi.org/10.3390/polym12092124
APA StyleLee, S. H., Jeon, H.-B., Hwang, G.-H., Kwon, Y. S., Lee, J.-S., Park, G.-T., Kim, S.-Y., Kang, H.-E., Choi, E.-J., Jang, S.-H., Lee, Y. E., & Jeong, Y. G. (2020). Effects of Poly(ethylene-co-glycidyl methacrylate) on the Microstructure, Thermal, Rheological, and Mechanical Properties of Thermotropic Liquid Crystalline Polyester Blends. Polymers, 12(9), 2124. https://doi.org/10.3390/polym12092124

