Thermally Reversible Polymeric Networks from Vegetable Oils
Abstract
1. Introduction
2. Materials and Methods
2.1. Materials
2.2. Methods
2.2.1. Epoxidation of Jatropha and Sunflower Oils
2.2.2. Furan-functionalization of the Epoxidized Oils
2.2.3. Synthesis of 1,12-Bismaleimido Dodecane
2.2.4. Model Reactions
2.2.5. Cross-Linking via the Diels-Alder Reaction
2.2.6. Characterization
2.2.7. Polymer Performance as Adhesive Test
3. Results and Discussion
3.1. Epoxidation of the Vegetable Oils
3.2. Furan-Functionalization of the Epoxidized Oil
3.3. Model Reactions
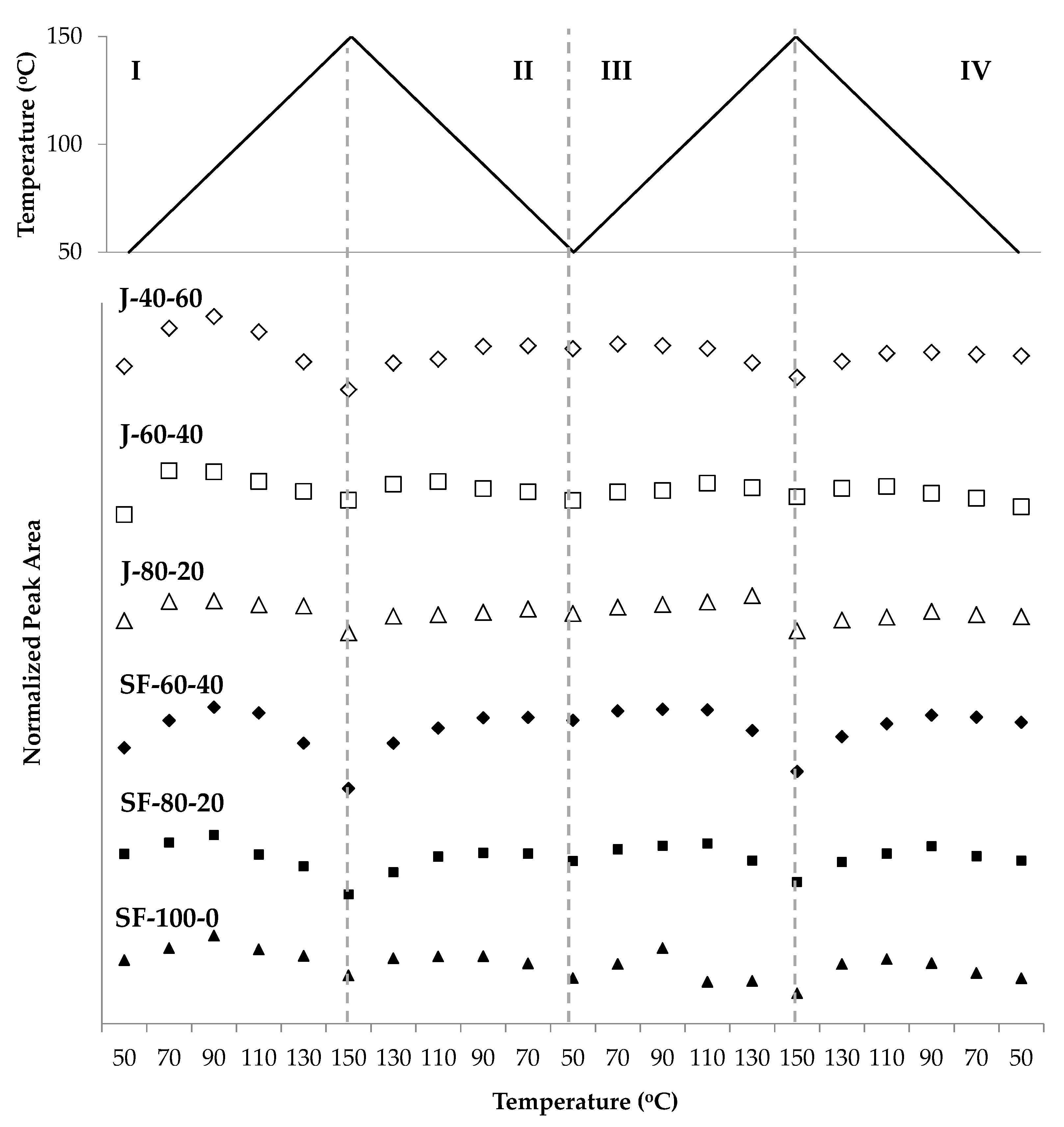
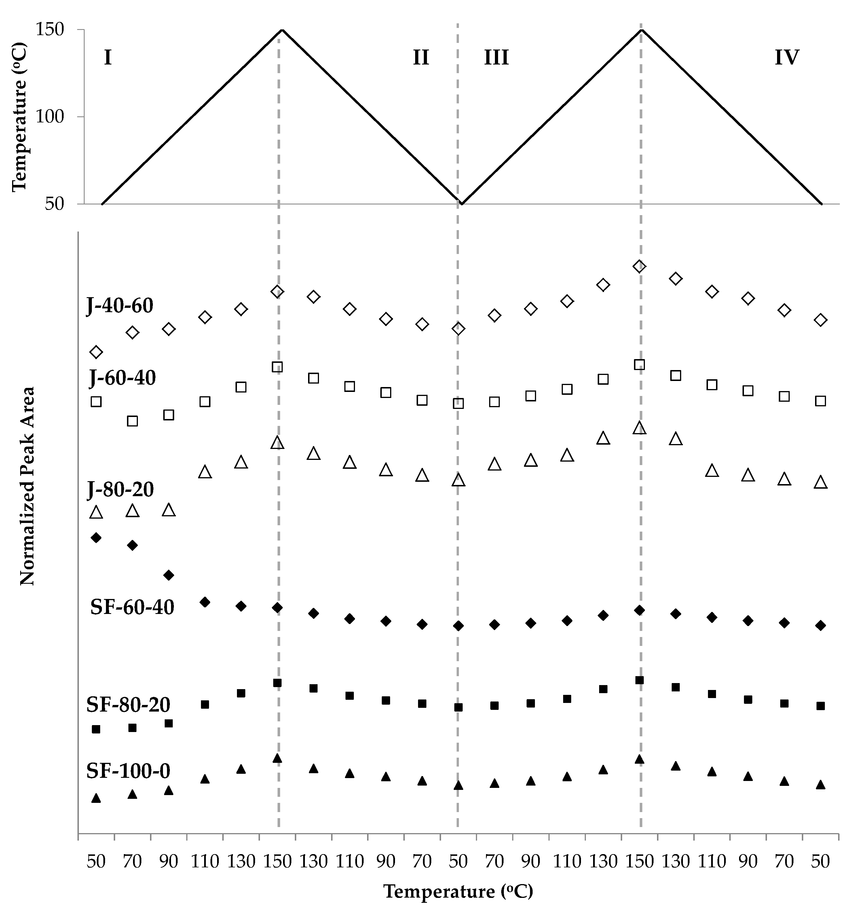
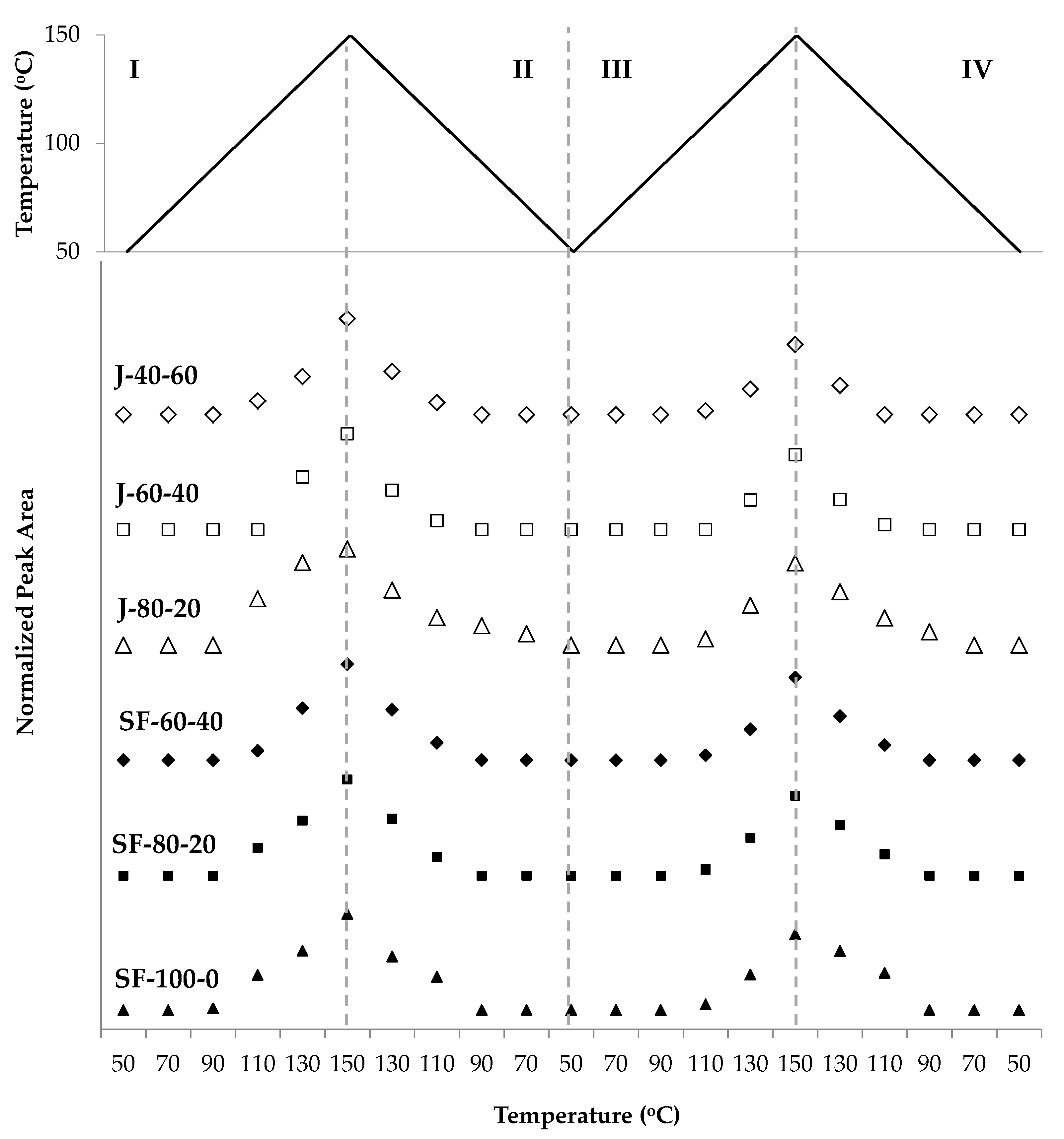
3.4. Synthesis and Characterization of Thermally Reversible Networks
4. Conclusions
Supplementary Materials
Author Contributions
Funding
Acknowledgments
Conflicts of Interest
References
- Zhang, C.; Garrison, T.F.; Madbouly, S.A.; Kessler, M.R. Recent advances in vegetable oil-based polymers and their composites. Prog. Polym. Sci. 2017, 71, 91–143. [Google Scholar] [CrossRef]
- Vilela, C.; Silvestre, A.J.D.; Gandini, A. Thermoreversible nonlinear diels-alder polymerization of furan/plant oil monomers. J. Polym. Sci. Part A Polym. Chem. 2013, 51, 2260–2270. [Google Scholar] [CrossRef]
- Sousa, A.F.; Vilela, C.; Fonseca, A.C.; Matos, M.; Freire, C.S.R.; Gruter, G.-J.M.; Coelho, J.F.J.; Silvestre, A.J.D. Biobased polyesters and other polymers from 2,5-furandicarboxylic acid: A tribute to furan excellency. Polym. Chem. 2015, 6, 5961–5983. [Google Scholar] [CrossRef]
- Lligadas, G.; Ronda, J.C.; Galià, M.; Cádiz, V. Renewable polymeric materials from vegetable oils: A perspective. Mater. Today 2013, 16, 337–343. [Google Scholar] [CrossRef]
- Belgacem, M.N.; Gandini, A. Monomers, Polymers and Composites from Renewable Resources; Elsevier Ltd.: Oxford, UK, 2008; ISBN 9780080453163. [Google Scholar]
- Hess, P.S.; O’Hare, G.A. Oxidation of Linseed Oil. Ind. Eng. Chem. 1950, 42, 1424–1431. [Google Scholar] [CrossRef]
- Wexler, H. Polymerization of drying oils. Chem. Rev. 1964, 64, 591–611. [Google Scholar] [CrossRef]
- De Viguerie, L.; Payard, P.A.; Portero, E.; Walter, P.; Cotte, M. The drying of linseed oil investigated by Fourier transform infrared spectroscopy: Historical recipes and influence of lead compounds. Prog. Org. Coat. 2016, 93, 46–60. [Google Scholar] [CrossRef]
- Mallégol, J.; Gardette, J.-L.; Lemaire, J. Long-term behavior of oil-based varnishes and paints I. Spectroscopic analysis of curing drying oils. J. Am. Oil Chem. Soc. 1999, 76, 967–976. [Google Scholar] [CrossRef]
- Igwe, I.O.; Ogbobe, O. Studies on the properties of polyesters and polyester blends of selected vegetable oils. J. Appl. Polym. Sci. 2000, 75, 1441–1446. [Google Scholar] [CrossRef]
- Gobin, M.; Loulergue, P.; Audic, J.-L.; Lemiègre, L. Synthesis and characterisation of bio-based polyester materials from vegetable oil and short to long chain dicarboxylic acids. Ind. Crops Prod. 2015, 70, 213–220. [Google Scholar] [CrossRef]
- Caillol, S.; Desroches, M.; Boutevin, G.; Loubat, C.; Auvergne, R.; Boutevin, B. Synthesis of new polyester polyols from epoxidized vegetable oils and biobased acids. Eur. J. Lipid Sci. Technol. 2012, 114, 1447–1459. [Google Scholar] [CrossRef]
- Desroches, M.; Escouvois, M.; Auvergne, R.; Cailol, S.; Boutevin, B. From Vegetable Oils to Polyurethanes: Synthetic Routes to Polyols and Main Industrial Products. Polym. Rev. 2012, 52, 38. [Google Scholar] [CrossRef]
- Xia, Y.; Henna, P.H.; Larock, R.C. Novel thermosets from the cationic copolymerization of modified linseed oils and dicyclopentadiene. Macromol. Mater. Eng. 2009, 294, 590–598. [Google Scholar] [CrossRef]
- Biermann, U.; Metzger, J.O.; Meier, M.A.R. Acyclic triene metathesis oligo- and polymerization of high oleic sun flower oil. Macromol. Chem. Phys. 2010, 211, 854–862. [Google Scholar] [CrossRef]
- Akintayo, C.O.; Mutlu, H.; Kempf, M.; Wilhelm, M.; Meier, M.A.R. Acyclic triene metathesis polymerization of plukenetia conophora oil: Branched polymers by direct polymerization of renewable resources. Macromol. Chem. Phys. 2012, 213, 87–96. [Google Scholar] [CrossRef]
- Kreye, O.; Tóth, T.; Meier, M.A. Copolymers derived from rapeseed derivatives via ADMET and thiol-ene addition. Eur. Polym. J. 2011, 47, 1804–1816. [Google Scholar] [CrossRef]
- Lligadas, G. Renewable polyols for polyurethane synthesis via thiol-ene/yne couplings of plant oils. Macromol. Chem. Phys. 2013, 214, 415–422. [Google Scholar] [CrossRef]
- Ronda, J.C.; Lligadas, G.; Galià, M.; Cádiz, V. Vegetable oils as platform chemicals for polymer synthesis. Eur. J. Lipid Sci. Technol. 2011, 113, 46–58. [Google Scholar] [CrossRef]
- Karmakar, G.; Ghosh, P. Atom Transfer Radical Polymerization of Soybean Oil and Its Evaluation as a Biodegradable Multifunctional Additive in the Formulation of Eco-Friendly Lubricant. ACS Sustain. Chem. Eng. 2016, 4, 775–781. [Google Scholar] [CrossRef]
- Vilela, C.; Cruciani, L.; Silvestre, A.J.D.; Gandini, A. Reversible polymerization of novel monomers bearing furan and plant oil moieties: A double click exploitation of renewable resources. RSC Adv. 2012, 2, 2966. [Google Scholar] [CrossRef]
- Gandini, A.; Lacerda, T.M.; Carvalho, A.J.F.; Trovatti, E.; Isikgor, F.H. Remzi Becer Progress of Polymers from Renewable Resources: Furans, Vegetable Oils, and Polysaccharides. Polym. Chem. 2015, 6, 4497–4559. [Google Scholar]
- Lacerda, T.M.; Carvalho, A.J.F.; Gandini, A. Two alternative approaches to the Diels–Alder polymerization of tung oil. RSC Adv. 2014, 4, 26829–26837. [Google Scholar] [CrossRef]
- Iqbal, M.; Knigge, R.; Heeres, H.; Broekhuis, A.; Picchioni, F. Diels–Alder-Crosslinked Polymers Derived from Jatropha Oil. Polymers 2018, 10, 1177. [Google Scholar] [CrossRef] [PubMed]
- Murphy, E.B.; Wudl, F. The world of smart healable materials. Prog. Polym. Sci. 2010, 35, 223–251. [Google Scholar] [CrossRef]
- Carruthers, W. (Ed.) 1—The Diels-Alder Reaction—General Aspects. In Cycloaddition Reactions in Organic Synthesis; Tetrahedron Organic Chemistry Series; Elsevier: Oxford, UK, 1990; Volume 8, pp. 1–90. [Google Scholar]
- Sastry, G.S.; Murthy, B.G.; Aggarwal, J. Diels-Alder adducts from safflower oil fatty acids: I. Maleic Anhydrine as Dienophile. J. Am. Oil Chem. Soc. 1971, 48, 686–688. [Google Scholar] [CrossRef]
- Balakrishna, R.S.; Murthy, B.G.K.; Aggarwal, J.S. Diels-Alder adducts from safflower oil fatty acids: II. Styrene as Dienophile. J. Am. Oil Chem. Soc. 1971, 48, 689–692. [Google Scholar] [CrossRef]
- Sastry, G.S.R.; Murthy, B.G.K.; Aggarwal, J.S. Diels-alder adducts from safflower fatty acids: III. Acrylic and related acid dienophiles. J. Am. Oil Chem. Soc. 1972, 49, 192–195. [Google Scholar] [CrossRef]
- Biermann, U.; Butte, W.; Eren, T.; Haase, D.; Metzger, J.O. Regio- and stereoselective Diels-Alder additions of maleic anhydride to conjugated triene fatty acid methyl esters. Eur. J. Org. Chem. 2007, 23, 3859–3862. [Google Scholar] [CrossRef]
- Shibata, M.; Teramoto, N.; Nakamura, Y. High Performance Bio-Based Thermosetting Resins Composed of Tung Oil and Bismaleimide. J. Appl. Polym. Sci. 2011, 119, 896–901. [Google Scholar] [CrossRef]
- Vilela, C.; Cruciani, L.; Silvestre, A.J.D.; Gandini, A. A double click strategy applied to the reversible polymerization of furan/vegetable oil monomers. Macromol. Rapid Commun. 2011, 32, 1319–1323. [Google Scholar] [CrossRef]
- Frias, C.F.; Fonseca, A.C.; Coelho, J.F.J.; Serra, A.C. Straightforward functionalization of acrylated soybean oil by Michael-addition and Diels–Alder reactions. Ind. Crops Prod. 2015, 64, 33–38. [Google Scholar] [CrossRef]
- Gandini, A.; Lacerda, T.M.; Carvalho, A.J.F. A straightforward double coupling of furan moieties onto epoxidized triglycerides: Synthesis of monomers based on two renewable resources. Green Chem. 2013, 15, 1514. [Google Scholar] [CrossRef]
- Yuliati, F.; Deuss, P.J.; Heeres, H.J.; Picchioni, F. Towards thermally reversible networks based on furan-functionalization of jatropha oil. Molecules 2020, in press. [Google Scholar]
- Kossmehl, G.; Nagel, H.-I.; Pahl, A. Cross-linking reactions on polyamides by bis- and tris(maleimide)s. Angew. Makromol. Chem. 1995, 227, 139–157. [Google Scholar] [CrossRef]
- Polgar, L.M.; Cerpentier, R.R.J.; Vermeij, G.H.; Picchioni, F.; Van Duin, M. Influence of the chemical structure of cross-linking agents on properties of thermally reversible networks. Pure Appl. Chem. 2016, 88, 1103–1116. [Google Scholar] [CrossRef]
- Toncelli, C.; De Reus, D.C.; Picchioni, F.; Broekhuis, A.A. Properties of reversible Diels–Alder furan/maleimide polymer networks as function of crosslink density. Macromol. Chem. Phys. 2012, 213, 157–165. [Google Scholar] [CrossRef]
- ASTM. Standard Test Method for Peel Resistance of Adhesives (T-Peel Test); ASTM International: West Conshohocken, PA, USA, 2008. [Google Scholar]
- Iqbal, M. Synthesis and Properties of Bio-Based and Renewable Polymeric Products. Ph.D. Thesis, University of Groningen, Groningen, The Netherlands, 2014. [Google Scholar]
- Fan, M.; Liu, J.; Li, X.; Zhang, J.; Cheng, J. Recyclable Diels-Alder furan/maleimide polymer networks with shape memory effect. Ind. Eng. Chem. Res. 2014, 53, 16156–16163. [Google Scholar] [CrossRef]
- Teramoto, N.; Niwa, M.; Shibata, M.; Teramoto, N.; Niwa, M.; Shibata, M. Synthesis and Properties of Trehalose-Based Flexible Polymers Prepared from Difurfurylidene Trehalose and Maleimide- Terminated Oligo(dimethylsiloxane) by Diels-Alder Reactions. Materials 2010, 3, 369–385. [Google Scholar] [CrossRef]
- Brouwer, F. Developing Suitable Polymer Semiconducrors for the Application in BioFETs. Ph.D. Thesis, University of Groningen, Groningen, The Netherlands, 2011. [Google Scholar]
- Bandzierz, K.; Reuvekamp, L.; Dryzek, J.; Dierkes, W.; Blume, A.; Bielinski, D. Influence of Network Structure on Glass Transition Temperature of Elastomers. Materials 2016, 9, 607. [Google Scholar] [CrossRef]
- Rohman, A.; Riyanto, S.; Sasi, A.M.; Yusof, F.M. The use of FTIR spectroscopy in combination with chemometrics for the authentication of red fruit (Pandanus conoideus Lam) oil from sunflower and palm oils. Food Biosci. 2014, 7, 64–70. [Google Scholar] [CrossRef]
- Nisar, J.; Razaq, R.; Farooq, M.; Iqbal, M.; Khan, R.A.; Sayed, M.; Shah, A.; Rahman, I. Enhanced biodiesel production from Jatropha oil using calcined waste animal bones as catalyst. Renew. Energy 2017, 101, 111–119. [Google Scholar] [CrossRef]
- Liu, X.; Du, P.; Liu, L.; Zheng, Z.; Wang, X.; Joncheray, T.; Zhang, Y. Kinetic study of Diels–Alder reaction involving in maleimide–furan compounds and linear polyurethane. Polym. Bull. 2013, 70, 2319–2335. [Google Scholar] [CrossRef]
- Polgar, L.M. Thermoreversible Cross-Linking of Rubber. Ph.D. Thesis, University ofGroningen, Groningen, The Netherlands, 2017. [Google Scholar]
- Froidevaux, V.; Borne, M.; Laborbe, E.; Auvergne, R.; Gandini, A.; Boutevin, B. Study of the Diels-Alder and retro-Diels-Alder reaction between furan derivatives and maleimide for the creation of new materials. RSC Adv. 2015, 5, 37742. [Google Scholar] [CrossRef]
- Canadell, J.; Fischer, H.; De With, G.; Van Benthem, R.A.T.M. Stereoisomeric effects in thermo-remendable polymer networks based on Diels-Alder crosslink reactions. J. Polym. Sci. Part A Polym. Chem. 2010, 48, 3456–3467. [Google Scholar] [CrossRef]
- Jegat, C.; Mignard, N. Effect of the polymer matrix on the thermal behaviour of a furan-maleimide type adduct in the molten state. Polym. Bull. 2008, 60, 799–808. [Google Scholar] [CrossRef][Green Version]
- Bose, R.K.; Kötteritzsch, J.; Garcia, S.J.; Hager, M.D.; Schubert, U.S.; Van der Zwaag, S. A rheological and spectroscopic study on the kinetics of self-healing in a single-component diels-alder copolymer and its underlying chemical reaction. J. Polym. Sci. Part A Polym. Chem. 2014, 52, 1669–1675. [Google Scholar] [CrossRef]
- Sahu, U.S.; Bhadani, S.N. Homopolymerization of maleimide. Die Makromol. Chem. Rapid Commun. 1982, 3, 103–107. [Google Scholar] [CrossRef]
- Sigma Aldrich. 1,1′-(Methylenedi-4,1-phenylene)Bismaleimide; Sigma Aldrich: Eichenzell, Germany, 2016. [Google Scholar]
- Musto, P.; Martuscelli, E.; Ragosta, G.; Russo, P.; Scarinzi, G. An interpenetrated system based on a tetrafunctional epoxy resin and a thermosetting bismaleimide: Structure-properties correlation. J. Appl. Polym. Sci. 1998, 69, 1029–1042. [Google Scholar] [CrossRef]
- Sava, M.; Gaina, C.; Gaina, V.; Chiriac, C.; Stoica, G.H.; Hamciuc, C. Preparation and characterization of bismaleimides containing ether bonds. Des. Monomers Polym. 2012, 1, 135–145. [Google Scholar] [CrossRef]
- Royall, P.G.; Huang, C.; Tang, S.J.; Duncan, J.; Van-de-Velde, G.; Brown, M.B. The development of DMA for the detection of amorphous content in pharmaceutical powdered materials. Int. J. Pharm. 2005, 301, 181–191. [Google Scholar] [CrossRef]
- Patel, Y.S.; Patel, H.S. Thermoplastic-thermosetting merged polyimides via furan-maleimide Diels–Alder polymerization. Arab. J. Chem. 2017, 10, S1373–S1380. [Google Scholar] [CrossRef]
- Curliss, D.B.; Cowans, B.A.; Caruthers, J.M. Cure Reaction Pathways of Bismaleimide Polymers: A Solid-State 15N NMR Investigation. Macromolecules 1998, 31, 6776–6782. [Google Scholar] [CrossRef]
- Fischer, G. High Temperature and Toughened Bismaleimide Composite Materials for Aeronautics. Ph.D. Thesis, L’Institut National des Sciences Appliquées de Lyon, Lyon, France, 2015. [Google Scholar]
- Bai, N.; Simon, G.P.; Saito, K. Characterisation of the thermal self-healing of a high crosslink density epoxy thermoset. New J. Chem. 2015, 39, 3497–3506. [Google Scholar] [CrossRef]
- Kwakernaak, A.; Hofstede, J.; Poulis, J.; Benedictus, R. Improvements in bonding metals for aerospace and other applications. Weld. Join. Aerosp. Mater. 2012, 235–287. [Google Scholar] [CrossRef]



















| Sample Codes | Vegetable Oil | Aliphatic Bismaleimide | Aromatic Bismaleimide |
|---|---|---|---|
| J-40-60 | Jatropha | 40% | 60% |
| J-60-40 | Jatropha | 60% | 40% |
| J-80-20 | Jatropha | 80% | 20% |
| SF-60-40 | Sunflower | 60% | 40% |
| SF-80-20 | Sunflower | 80% | 20% |
| SF-100-0 | Sunflower | 100% | 0 |
© 2020 by the authors. Licensee MDPI, Basel, Switzerland. This article is an open access article distributed under the terms and conditions of the Creative Commons Attribution (CC BY) license (http://creativecommons.org/licenses/by/4.0/).
Share and Cite
Yuliati, F.; Hong, J.; Indriadi, K.S.; Picchioni, F.; Bose, R.K. Thermally Reversible Polymeric Networks from Vegetable Oils. Polymers 2020, 12, 1708. https://doi.org/10.3390/polym12081708
Yuliati F, Hong J, Indriadi KS, Picchioni F, Bose RK. Thermally Reversible Polymeric Networks from Vegetable Oils. Polymers. 2020; 12(8):1708. https://doi.org/10.3390/polym12081708
Chicago/Turabian StyleYuliati, Frita, Jennifer Hong, Keshia S. Indriadi, Francesco Picchioni, and Ranjita K. Bose. 2020. "Thermally Reversible Polymeric Networks from Vegetable Oils" Polymers 12, no. 8: 1708. https://doi.org/10.3390/polym12081708
APA StyleYuliati, F., Hong, J., Indriadi, K. S., Picchioni, F., & Bose, R. K. (2020). Thermally Reversible Polymeric Networks from Vegetable Oils. Polymers, 12(8), 1708. https://doi.org/10.3390/polym12081708

