Use of Multi-Hollow Polyester Particles as Opacifying Agent for Injection-Molded Polyethylene
Abstract
1. Introduction
2. Materials and Methods
2.1. Materials
2.2. Multi-Hollow Particles Production
2.3. LDPE Samples Production
2.4. Characterization
2.4.1. Particle Size Distribution
2.4.2. Relative Opacity
2.4.3. Scanning Electron Microscope
2.4.4. Differential Analysis Calorimetry
2.4.5. Tensile Tests
2.4.6. Accelerated Aging Tests
3. Results and Discussion
3.1. Multi-Hollow Particles
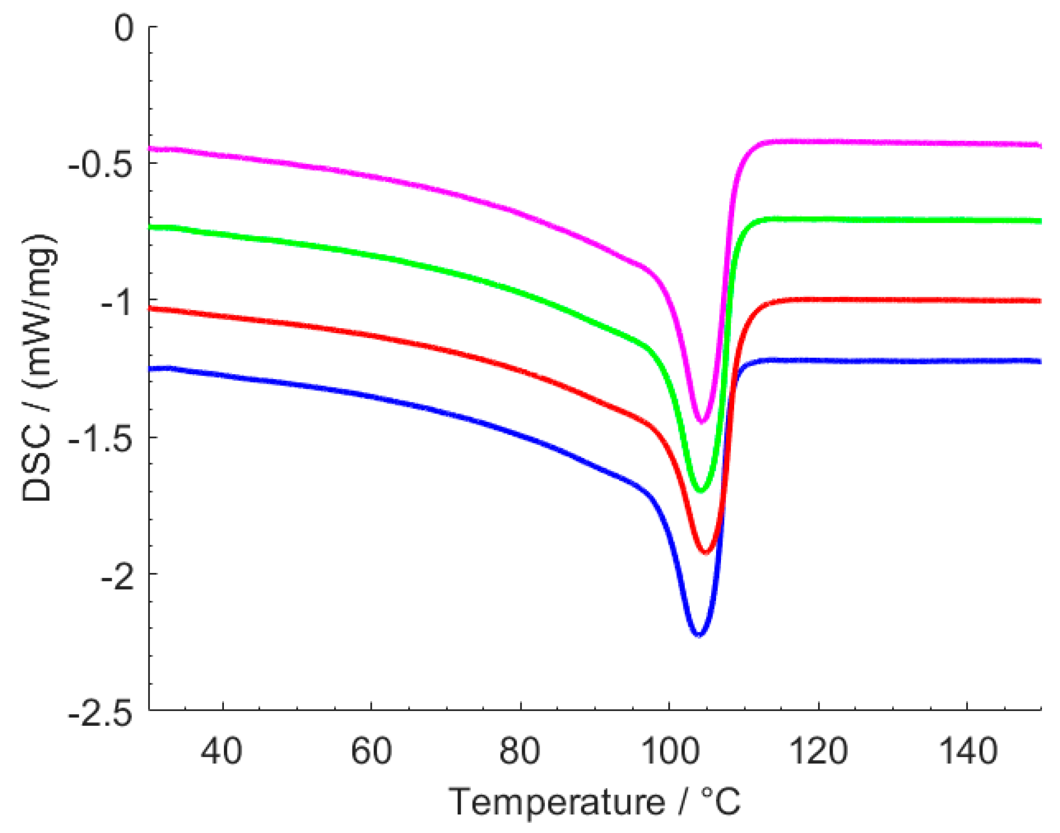
3.2. DSC Analysis
3.3. LDPE Opacity
3.4. Mechanical Resistance
3.5. Accelerated Aging
4. Conclusions
Author Contributions
Funding
Conflicts of Interest
References
- Gázquez, M.J.; Bolívar, J.P.; Garcia-Tenorio, R.; Vaca, F. A Review of the Production Cycle of Titanium Dioxide Pigment. Mater. Sci. Appl. 2014, 5, 441–458. [Google Scholar] [CrossRef]
- Rommens, J. Keeping on the white track Optimising the efficiency of titanium dioxide in architectural paints. Eur. Coatings J. 2015, 3, 88–92. [Google Scholar]
- Paint and Coating Testing Manual: 15th Edition of the Gardner-Sward Handbook; Koleske, J., Ed.; ASTM International: West Conshohocken, PA, USA, 2012; ISBN 978-0-8031-8891-4. [Google Scholar]
- Hans, J.; Flapper, J. Ruling opacity out of existence. Eur. Coatings J. 2017, 52–55. [Google Scholar]
- McDonald, C.J.; Devon, M.J. Hollow latex particles: Synthesis and applications. Adv. Colloid Interface Sci. 2002, 99, 181–213. [Google Scholar] [CrossRef]
- Ruszala, M.J.A.; Rowson, N.A.; Grover, L.M.; Choudhery, R.A. Low Carbon Footprint TiO2 Substitutes in Paint: A Review. Int. J. Chem. Eng. Appl. 2015, 6, 331. [Google Scholar] [CrossRef]
- Zhu, L.; Nguyen, D.; Davey, T.; Baker, M.; Such, C.; Hawkett, B.S.; Neto, C. Mechanical properties of Ropaque hollow nanoparticles. Polymer (Guildf) 2017, 131, 10–16. [Google Scholar] [CrossRef]
- Ramli, R.A. Hollow polymer particles: A review. RSC Adv. 2017, 7, 52632–52650. [Google Scholar] [CrossRef]
- Dias, Â.; Fidalgo, J.; Machado, J.; Moniz, J.; Mendes, A.M.; Magalhães, F.D. Study of multivesiculated polyester particles synthesis by double emulsion process. Eur. Polym. J. 2013, 49, 664–674. [Google Scholar] [CrossRef]
- Dias, Â.; Machado, J.; Moniz, J.; Mendes, A.M.; Magalhães, F.D. Effect of curing conditions on the properties of multivesiculated polyester particle dispersions. Polym. Eng. Sci. 2014, 54, 396–403. [Google Scholar] [CrossRef]
- Dias, Â.; Machado, J.; Moniz, J.; Mendes, A.; Magalhães, F.D. Effect of added amines on the morphology of multivesiculated polyester particles. Polym. Eng. Sci. 2013, 53, 2261–2269. [Google Scholar] [CrossRef]
- Fidalgo, J.; Mendes, A.M.; Magalhães, F.D. Physicomechanical characterization of monodisperse multivesiculated polyester particles. Eur. Polym. J. 2014, 58, 173–179. [Google Scholar] [CrossRef]
- Cheng, Y.; Yu, G.; Zhang, X.; Yu, B. The Research of Crystalline Morphology and Breakdown Characteristics of Polymer/Micro-Nano-Composites. Materials (Basel Switz.) 2020, 13, 1432. [Google Scholar] [CrossRef] [PubMed]
- Li, D.; Zhou, L.; Wang, X.; He, L.; Yang, X. Effect of crystallinity of polyethylene with different densities on breakdown strength and conductance property. Materials (Basel) 2019, 12, 1746. [Google Scholar] [CrossRef] [PubMed]
- Hirani, H.K.; Dighe, A.K.; Patel, C.J. Staying apart. Eur. Coatings J. 2007, 3, 24–31. [Google Scholar]









| TiO2 Content (wt.%) | MHP Content (wt.%) | Melting Peak Temperature (°C) | Melting Enthalpy (J/g) | % Crystallinity |
|---|---|---|---|---|
| 0 | 0 | 104.4 | 89.6 | 30.6 |
| 0 | 1.5 | 104.8 | 85.5 | 29.2 |
| 1.5 | 0 | 104.2 | 90.3 | 30.8 |
| 1.5 | 1.5 | 103.8 | 90.6 | 30.9 |
© 2020 by the authors. Licensee MDPI, Basel, Switzerland. This article is an open access article distributed under the terms and conditions of the Creative Commons Attribution (CC BY) license (http://creativecommons.org/licenses/by/4.0/).
Share and Cite
F. A. Silva, J.; M. T. Carvalho, T.; L. Almeida, M.; Pereira, P.; Sousa, H.; Martins, J.; Carvalho, L.; D. Magalhães, F. Use of Multi-Hollow Polyester Particles as Opacifying Agent for Injection-Molded Polyethylene. Polymers 2020, 12, 1331. https://doi.org/10.3390/polym12061331
F. A. Silva J, M. T. Carvalho T, L. Almeida M, Pereira P, Sousa H, Martins J, Carvalho L, D. Magalhães F. Use of Multi-Hollow Polyester Particles as Opacifying Agent for Injection-Molded Polyethylene. Polymers. 2020; 12(6):1331. https://doi.org/10.3390/polym12061331
Chicago/Turabian StyleF. A. Silva, João, Tânia M. T. Carvalho, Margarida L. Almeida, Paula Pereira, Helena Sousa, Jorge Martins, Luísa Carvalho, and Fernão D. Magalhães. 2020. "Use of Multi-Hollow Polyester Particles as Opacifying Agent for Injection-Molded Polyethylene" Polymers 12, no. 6: 1331. https://doi.org/10.3390/polym12061331
APA StyleF. A. Silva, J., M. T. Carvalho, T., L. Almeida, M., Pereira, P., Sousa, H., Martins, J., Carvalho, L., & D. Magalhães, F. (2020). Use of Multi-Hollow Polyester Particles as Opacifying Agent for Injection-Molded Polyethylene. Polymers, 12(6), 1331. https://doi.org/10.3390/polym12061331

