Thermomechanical Properties of SiC-Filled Polybutylene Succinate Composite Fabricated via Melt Extrusion
Abstract
1. Introduction
2. Experimental
Characterization
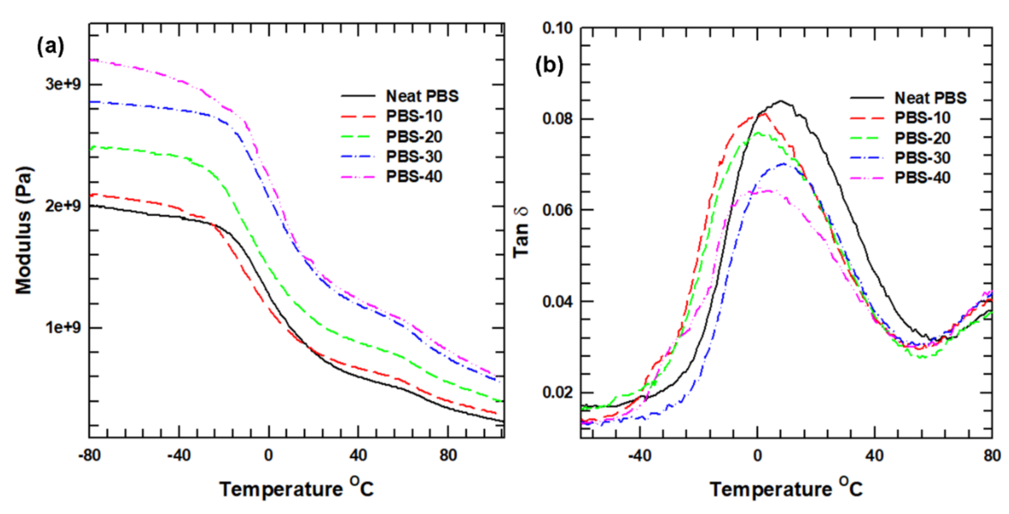
3. Results and Discussion
4. Conclusions
Author Contributions
Funding
Conflicts of Interest
References
- Shen, L.; Worrell, E.; Patel, M. Present and future development in plastics from biomass. Biofuels Bioprod. Biorefining 2010, 4, 25–40. [Google Scholar] [CrossRef]
- Chen, G.Q.; Patel, M.K. Plastics derived from biological sources: Present and future: A technical and environmental review. Chem. Rev. 2012, 112, 2082–2099. [Google Scholar] [CrossRef]
- Zhu, Y.; Romain, C.; Williams, C.K. Sustainable polymers from renewable resources. Nature 2016, 540, 354–362. [Google Scholar] [CrossRef] [PubMed]
- Sun, J.; Shen, J.; Chen, S.; Cooper, M.A.; Fu, H.; Wu, D.; Yang, Z. Nanofiller reinforced biodegradable PLA/PHA composites: Current status and future trends. Polymers 2018, 10, 505. [Google Scholar] [CrossRef] [PubMed]
- Han, J.; Zhao, D.; Li, D.; Wang, X.; Jin, Z.; Zhao, K. Polymer-based nanomaterials and applications for vaccines and drugs. Polymers 2018, 10, 31. [Google Scholar] [CrossRef] [PubMed]
- Huang, Z.; Qian, L.; Yin, Q.; Yu, N.; Liu, T.; Tian, D. Biodegradability studies of poly(butylene succinate) composites filled with sugarcane rind fiber. Polym. Test. 2018, 66, 319–326. [Google Scholar] [CrossRef]
- Zhang, X.; Liu, Q.; Shi, J.; Ye, H.; Zhou, Q. Distinctive Tensile Properties of the Blends of Poly (l-lactic acid) (PLLA) and Poly (butylene succinate) (PBS). J. Polym. Environ. 2018, 26, 1737–1744. [Google Scholar] [CrossRef]
- Thirunavukarasu, K.; Purushothaman, S.; Sridevi, J.; Aarthy, M.; Gowthaman, M.K.; Nakajima-Kambe, T.; Kamini, N.R. Degradation of poly (butylene succinate) and poly (butylene succinate-co-butylene adipate) by a lipase from yeast Cryptococcus sp. grown on agro-industrial residues. Int. Biodeterior. Biodegrad. 2016, 110, 99–107. [Google Scholar] [CrossRef]
- Kurokawa, N.; Kimura, S.; Hotta, A. Mechanical properties of poly (butylene succinate) composites with aligned cellulose-acetate nanofibers. J. Appl. Polym. Sci. 2018, 135, 45429. [Google Scholar] [CrossRef]
- Xu, J.; Guo, B. Microbial Succinic Acid, Its Polymer Poly (butylene succinate), and Applications. In Plastics from Bacteria; Springer: Berlin/Heidelberg, Germany, 2010; Volume 14, pp. 347–388. [Google Scholar]
- Hirsch, P.; Menzel, M.; Klehm, J.; Putsch, P. Direct Compounding Injection Molding and Resulting Properties of Ternary Blends of Polylactide, Polybutylene Succinate and Hydrogenated Styrene Farnesene Block Copolymers. Macromol. Symp. 2019, 384, 1800167. [Google Scholar] [CrossRef]
- Azhar, S.W.; Xu, F.; Zhang, Y.; Qiu, Y. Fabrication and mechanical properties of flaxseed fiber bundle-reinforced polybutylene succinate composites. J. Ind. Text. 2019, 1528083718821876. [Google Scholar] [CrossRef]
- Lule, Z.; Kim, J. Surface Modification of Aluminum Nitride to Fabricate Thermally Conductive poly (Butylene Succinate) Nanocomposite. Polymers 2019, 11, 148. [Google Scholar] [CrossRef] [PubMed]
- Barletta, M.; Aversa, C.; Pizzi, E.; Puopolo, M.; Vesco, S. Engineered poly (lactic acid)-talc biocomposites for melt processing: Effects of co-blending with poly (butylene succinate) and poly (butylene terephthalate) on thermal and mechanical behavior. Polym. Eng. Sci. 2019, 59, 264–273. [Google Scholar] [CrossRef]
- Kang, Y.G.; Wei, J.; Kim, J.E.; Wu, Y.R.; Lee, E.J.; Su, J.; Shin, J.W. Characterization and osteogenic evaluation of mesoporous magnesium-calcium silicate/polycaprolactone/polybutylene succinate composite scaffolds fabricated by rapid prototyping. RSC Adv. 2018, 8, 33882–33892. [Google Scholar] [CrossRef]
- Chen, S.; Lin, S.; Hu, Y.; Ma, M.; Shi, Y.; Liu, J.; Zhu, F.; Wang, X. A lignin-based flame retardant for improving fire behavior and biodegradation performance of polybutylene succinate. Polym. Adv. Technol. 2018, 29, 3142–3150. [Google Scholar] [CrossRef]
- Puchalski, M.; Szparaga, G.; Biela, T.; Gutowska, A.; Sztajnowski, S.; Krucińska, I. Molecular and supramolecular changes in polybutylene succinate (PBS) and polybutylene succinate adipate (PBSA) copolymer during degradation in various environmental conditions. Polymers 2018, 10, 251. [Google Scholar] [CrossRef]
- Gao, C.; Li, Z.; Liu, Y.; Zhang, X.; Wang, J.; Wu, Y. Thermal, Crystallographic, and Mechanical Properties of Poly (butylene succinate)/Magnesium Hydroxide Sulfate Hydrate Whisker Composites Modified by in Situ Polymerization. Ind. Eng. Chem. Res. 2017, 56, 3516–3526. [Google Scholar] [CrossRef]
- Lule, Z.; Ju, H.; Kim, J. Effect of surface-modified Al2O3 on the thermomechanical properties of polybutylene succinate/Al2O3 composites. Ceram. Int. 2018, 44, 13530–13537. [Google Scholar] [CrossRef]
- Zhou, W.; Yu, D.; Min, C.; Fu, Y.; Guo, X. Thermal, dielectric, and mechanical properties of SiC particles filled linear low-density polyethylene composites. J. Appl. Polym. Sci. 2009, 112, 1695–1703. [Google Scholar] [CrossRef]
- Jin, F.L.; Zhang, H.; Yao, S.S.; Park, S.J. Effect of surface modification on impact strength and flexural strength of poly (Lactic acid)/silicon carbide nanocomposites. Macromol. Res. 2018, 26, 211–214. [Google Scholar] [CrossRef]
- Mdletshe, T.S.; Mishra, S.B.; Mishra, A.K. Studies on the effect of silicon carbide nanoparticles on the thermal, mechanical, and biodegradation properties of poly (caprolactone). J. Appl. Polym. Sci. 2015, 132, 1–9. [Google Scholar] [CrossRef]
- Liu, W.; Wu, N.; Pochiraju, K. Shape recovery characteristics of SiC/C/PLA composite filaments and 3D printed parts. Compos. Part A Appl. Sci. Manuf. 2018, 108, 1–11. [Google Scholar] [CrossRef]
- Liao, C.Z.; Bao, S.P.; Tjong, S.C. Effect of silicon carbide nanoparticle additions on microstructure and mechanical behavior of maleic anhydride compatibilized high density polyethylene composites. Compos. Interfaces 2011, 18, 107–120. [Google Scholar] [CrossRef]
- Bu, L.X.; Agbessi, Y.; Béreaux, Y.; Charmeau, J.Y. Thermal homogeneity of plastication processes in single-screw extruders. AIP Conf. Proc. 2018, 1960, 120006. [Google Scholar]
- Peng, X.F.; Liu, L.Y.; Chen, B.Y.; Mi, H.Y.; Jing, X. A novel online visualization system for observing polymer extrusion foaming. Polym. Test. 2016, 52, 225–233. [Google Scholar] [CrossRef]
- Feller, J.F. Conductive polymer composites: Influence of extrusion conditions on positive temperature coefficient effect of poly (butylene terephthalate)/poly (olefin)-carbon black blends. J. Appl. Polym. Sci. 2004, 91, 2151–2157. [Google Scholar] [CrossRef]
- Guo, Y.; Zhu, S.; Chen, Y.; Li, D. Thermal properties of wood-plastic composites with different compositions. Materials 2019, 12, 881. [Google Scholar] [CrossRef]
- Zhou, C.W.; Zhao, J.X.; Liu, Q.; Meng, B.; Wu, Z.H. Study on Mechanical, Thermal Properties and Morphology of Biodegradable Poly (butylene succinate)/Nano-TiO2 Composites International. Intern. Polym. Process. 2013, 28, 483–488. [Google Scholar] [CrossRef]






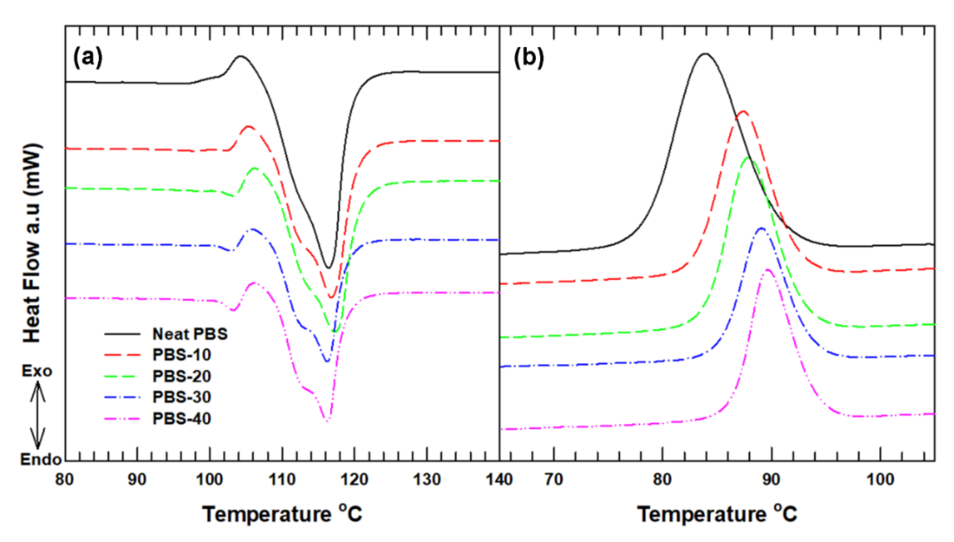
| Sample | Tm (°C) | Tc (°C) | tc (s) | ΔHm (J g−1) | Xc (%) |
|---|---|---|---|---|---|
| Neat PBS | 116.7 | 83.9 | 158.3 | 86.1 | 43.0 |
| PBS-10 | 116.7 | 87.4 | 99.9 | 69.6 | 38.7 |
| PBS-20 | 117.2 | 87.9 | 94.7 | 58.9 | 36.8 |
| PBS-30 | 116.2 | 89.0 | 76.9 | 54.6 | 39.0 |
| PBS-40 | 116.2 | 89.7 | 76.4 | 49.6 | 41.3 |
© 2020 by the authors. Licensee MDPI, Basel, Switzerland. This article is an open access article distributed under the terms and conditions of the Creative Commons Attribution (CC BY) license (http://creativecommons.org/licenses/by/4.0/).
Share and Cite
Lule, Z.C.; Wondu Shiferaw, E.; Kim, J. Thermomechanical Properties of SiC-Filled Polybutylene Succinate Composite Fabricated via Melt Extrusion. Polymers 2020, 12, 418. https://doi.org/10.3390/polym12020418
Lule ZC, Wondu Shiferaw E, Kim J. Thermomechanical Properties of SiC-Filled Polybutylene Succinate Composite Fabricated via Melt Extrusion. Polymers. 2020; 12(2):418. https://doi.org/10.3390/polym12020418
Chicago/Turabian StyleLule, Zelalem Chernet, Eyob Wondu Shiferaw, and Jooheon Kim. 2020. "Thermomechanical Properties of SiC-Filled Polybutylene Succinate Composite Fabricated via Melt Extrusion" Polymers 12, no. 2: 418. https://doi.org/10.3390/polym12020418
APA StyleLule, Z. C., Wondu Shiferaw, E., & Kim, J. (2020). Thermomechanical Properties of SiC-Filled Polybutylene Succinate Composite Fabricated via Melt Extrusion. Polymers, 12(2), 418. https://doi.org/10.3390/polym12020418

