Effect of the B:Zn:H2O Molar Ratio on the Properties of Poly(Vinyl Acetate) and Zinc Borate-Based Intumescent Coating Materials Exposed to a Quasi-Real Cellulosic Fire
Abstract
1. Introduction
2. Materials and Methods
2.1. Materials
- -
- Poly(vinyl acetate) (PVAc) with an average molecular weight of 176,000 g/mol, glass transition temperature ca. 42 °C, softening temperature 150 °C and solid content >99% (M50; Synthomer, Essex, UK);
- -
- Ammonium polyphosphate (type II) (APP), a powder with an average particles diameter of 18 µm (FR Cross 484; Budenheim, Germany);
- -
- Melamine (MEL), a powder with a particles size ≤40 µm (Melafine; OCI Nitrogen, Geleen, The Netherlands);
- -
- Pentaerythritol (PER), a powder with a particles size ≤15 µm (Charmor PM15; Perstorp Specialty Chemicals, Perstorp, Sweden);
- -
- Titanium dioxide (rutile type TiO2) with an average particles size of 290 nm (Tytanpol R-001; GA Z.Ch. Police, Police, Poland);
- -
- A wetting/dispersing additive based on a hydroxyl-functional carboxylic acid ester (Disperbyk 108; BYK-Chemie, Wesel, Germany);
- -
- A silicone defoamer (Byk-066N; BYK-Chemie);
- -
- Hydrated zinc borates: 3ZnO·2B2O3·6H2O (ZB6; POCh, Poland) and 2ZnO·3B2O3·3.5H2O (ZB3.5; Firebrake ZB, U.S. Borax, Chicago, IL, USA) with a particles size of ca. 20 µm;
- -
- Anhydrous zinc borate (3ZnO·2B2O3) with a particles size of ca. 20 µm (ZB0, ZUT, Szczecin, Poland);
- -
- n-Butyl acetate (Chempur, Piekary Śląskie, Poland).
2.2. Samples Preparation
2.3. Methods
3. Results and Discussion
3.1. Furnace Test Results
3.2. Mechanical Features of the Chars
4. Conclusions
Author Contributions
Funding
Conflicts of Interest
References
- Alongi, J.; Han, Z.; Bourbigotc, S. Intumescence: Tradition versus novelty. A comprehensive review. Prog. Polym. Sci. 2015, 51, 28–73. [Google Scholar] [CrossRef]
- Vandersall, H. Intumescent coating systems, their development and chemistry. J. Fire Flamm. 1971, 2, 97–140. [Google Scholar]
- Yin, J.; Yew, M.; Yew, M.; Saw, L. Preparation of intumescent fire protective coating for fire rated timber door. Coatings 2019, 11, 738. [Google Scholar] [CrossRef]
- Horacek, H.; Pieh, S. Importance of intumescent systems for fire protection of plastic materials. Polym. Int. 2000, 49, 1106–1114. [Google Scholar] [CrossRef]
- Levchik, S.; Balabanovich, A.; Levchik, G.; Costa, L. Effect of melamine and its salts on combustion and thermal decomposition of polyamide 6. Fire Mater. 1997, 21, 75–83. [Google Scholar] [CrossRef]
- Horacek, H.; Grabner, R. Advantages of flame retardants based on nitrogen compounds. Polym. Degrad. Stab. 1996, 54, 205–215. [Google Scholar] [CrossRef]
- Tomczak, M.; Łopiński, J.; Kowalczyk, K.; Schmidt, B.; Rokicka, J. Vinyl intumescent coatings modified with platelet-type nanofillers. Prog. Org. Coat. 2019, 126, 97–105. [Google Scholar] [CrossRef]
- Laachachi, A.; Cochez, M.; Leroy, E.; Gaudon, P.; Ferriol, M.; Lopez Cuesta, J. Effect of Al2O3 and TiO2 nanoparticles and APP on thermal stability and flame retardance of PMMA. Polym. Adv. Technol. 2006, 17, 327–334. [Google Scholar] [CrossRef]
- Gu, J.; Zhang, G.; Dong, S.; Zhang, Q.; Kong, J. Study on preparation and fire-retardant mechanism analysis of intumescent flame-retardant coatings. Surf. Coat. Technol. 2007, 201, 7835–7841. [Google Scholar] [CrossRef]
- Li, H.; Hu, Z.; Zhang, S.; Gu, X.; Wang, H.; Jiang, P.; Zhao, Q. Effects of titanium dioxide on the flammability and char formation of water-based coatings containing intumescent flame retardants. Prog. Org. Coat. 2015, 78, 318–324. [Google Scholar] [CrossRef]
- Yew, M.; Ramli Sulong, N.; Yew, M.; Amalina, M.; Johan, M. Influences of flame-retardant fillers on fire protection and mechanical properties of intumescent coatings. Prog. Org. Coat. 2015, 78, 59–66. [Google Scholar] [CrossRef]
- Mariappan, T.; Agarwal, A. Influence of titanium dioxide on the thermal insulation of waterborne intumescent fire protective paints to structural steel. Prog. Org. Coat. 2017, 11, 67–74. [Google Scholar] [CrossRef]
- Rao, T.; Naidu, T.; Kim, M.; Parvatamma, B.; Prashanthi, Y.; Koo, B. Influence of zinc oxide nanoparticles and char forming agent polymer on flame retardancy of intumescent flame retardant coatings. Nanomaterials 2020, 10, 42. [Google Scholar] [CrossRef]
- Dittrich, B.; Wartig, K.; Mülhaupt, R.; Schartel, B. Flame-retardancy properties of intumescent ammonium poly(phosphate) and mineral filler magnesium hydroxide in combination with graphene. Polymers 2014, 6, 2875–2895. [Google Scholar] [CrossRef]
- Kazarinov, R.; Kowalczyk, K.; Łopiński, J.; Schmidt, B.; Rokicka, J. An intumescent coating system modified with waste poly(ethylene terephthalate) as a substitute for dipentaerythritol. Prog. Org. Coat. 2018, 125, 481–488. [Google Scholar] [CrossRef]
- Aqlibous, A.; Tretsiakova-McNally, S.; Fateh, T. Waterborne intumescent coatings containing industrial and bio-fillers for fire protection of timber materials. Polymers 2020, 12, 757. [Google Scholar] [CrossRef]
- Md Nasir, K.; Ramli Sulong, N.; Fateh, T.; Johan, M.; Afifi, A. Combustion of waterborne intumescent flame-retardant coatings with hybrid industrial filler and biofiller. J. Coat. Technol. Res. 2019, 16, 543–553. [Google Scholar] [CrossRef]
- Yew, M.; Yew, M.; Saw, L.; Ng, T.; Durairaj, R.; Beh, J. Influences of nano bio-filler on the fire-resistive and mechanical properties of water-based intumescent coatings. Prog. Org. Coat. 2018, 124, 33–40. [Google Scholar] [CrossRef]
- Murat Unlu, S.; Tayfun, U.; Yildirim, B.; Dogan, M. Effect of boron compounds on fire protection properties of epoxy based intumescent coating. Fire Mater. 2017, 41, 17–28. [Google Scholar] [CrossRef]
- Gillani, Q.; Ahmad, F.; Mutalib, M.; Megat-Yusoff, P.; Ullah, S.; Messet, P.; Zia-ul-Mustafa, M. Thermal degradation and pyrolysis analysis of zinc borate reinforced intumescent fire retardant coatings. Prog. Org. Coat. 2018, 123, 82–98. [Google Scholar] [CrossRef]
- Beh, J.; Yew, M.; Yew, M.; Saw, L. Fire protection performance and thermal behavior of thin film intumescent coating. Coatings 2019, 9, 483. [Google Scholar] [CrossRef]
- Kipcak, A.S.; Senberber, F.; Derun, E.; Tugrul, N.; Piskin, S. Characterization of thermal dehydration kinetics of zinc borates synthesized from zinc sulfate and zinc chloride. Res. Chem. Intermed. 2015, 41, 9129–9143. [Google Scholar] [CrossRef]
- Rimez, B.; Rahier, H.; Van Assche, G.; Artoos, T.; Biesemans, M.; Van Mele, B. The thermal degradation of poly(vinyla cetate) and poly(ethylene-co-vinyl acetate), Part I: Experimental study of the degradation mechanism. Polym. Degrad. Stab. 2008, 93, 800–810. [Google Scholar] [CrossRef]
- Cheng, A.; Rodriguez, F. Mechanical properties of borate crosslinked poly(vinyl alcohol) gels. J. Appl. Polym. Sci. 1981, 26, 3895–3908. [Google Scholar] [CrossRef]
- Singh, M.; Palazzo, G.; Romanazzi, G.; Suranna, G.; Ditaranto, N.; di Franco, C.; Santacroce, M.; Mulla, M.; Magliulo, M.; Manolij, K.; et al. Bio-sorbable, liquid electrolyte gated thin-film transistor based on a solution-processed zinc oxide layer. Faraday Discuss. 2014, 174, 383–389. [Google Scholar] [CrossRef] [PubMed]
- Shi, Z.; Wang, Q.; Ye, W.; Li, Y.; Yang, Y. Synthesis and characterization of mesoporous titanium pyrophosphate as lithium intercalation electrode materials. Microporous Mesoporous Mater. 2006, 88, 232–237. [Google Scholar] [CrossRef]
- Furuhashi, Y.; Shimada, I.; Otomo, J.; Oshima, Y. Fast proton transport in zinc phosphorous glass composites. Mater. Chem. Phys. 2011, 127, 322–328. [Google Scholar] [CrossRef]












| Component | The Component Dose (wt. parts) |
|---|---|
| PVAc | 16.0 1 |
| APP | 40.9 |
| MEL | 20.4 |
| PER | 13.6 |
| TiO2 | 5.0 |
| Disperbyk 108 | 4.0 |
| Byk 066N | 0.1 |
| Symbol | Zinc Borate Type | Zinc Borate Content (wt. parts) 1 | TIT 2 (min) | INI 3 (a.u.) | SI 4 (%) | NINI 5 (a.u.) |
|---|---|---|---|---|---|---|
| IC-0 | - | 0 | 15.7 | 27 | 28 | 19 |
| IC-ZB0/1 | ZB0 | 1 | 20.0 | 32 | 35 | 21 |
| IC-ZB0/2 | ZB0 | 2 | 19.7 | 26 | 30 | 18 |
| IC-ZB0/2.5 | ZB0 | 2.5 | 21.1 | 30 | 23 | 23 |
| IC-ZB0/3 | ZB0 | 3 | 22.3 | 26 | 21 | 21 |
| IC-ZB0/4 | ZB0 | 4 | 21.9 | 25 | 19 | 20 |
| IC-ZB0/5 | ZB0 | 5 | 18.7 | 23 | 22 | 18 |
| IC-ZB0/7.5 | ZB0 | 7.5 | 20.6 | 13 | 20 | 10 |
| IC-ZB0/10 | ZB0 | 10 | 17.0 | 2 | 17 | 2 |
| IC-ZB3.5/1 | ZB3.5 | 1 | 24.9 | 39 | 55 | 18 |
| IC-ZB3.5/2 | ZB3.5 | 2 | 25.2 | 25 | 24 | 19 |
| IC-ZB3.5/2.5 | ZB3.5 | 2.5 | 29.6 | 26 | 19 | 21 |
| IC-ZB3.5/3 | ZB3.5 | 3 | 29.0 | 24 | 20 | 19 |
| IC-ZB3.5/4 | ZB3.5 | 4 | 28.3 | 26 | 13 | 23 |
| IC-ZB3.5/5 | ZB3.5 | 5 | 27.1 | 23 | 12 | 20 |
| IC-ZB3.5/7.5 | ZB3.5 | 7.5 | 24.4 | 18 | 10 | 16 |
| IC-ZB3.5/10 | ZB3.5 | 10 | 21.8 | 12 | 14 | 10 |
| IC-ZB6/1 | ZB6 | 1 | 20.5 | 36 | 48 | 19 |
| IC-ZB6/2 | ZB6 | 2 | 24.2 | 25 | 21 | 20 |
| IC-ZB6/2.5 | ZB6 | 2.5 | 26.3 | 27 | 17 | 22 |
| IC-ZB6/3 | ZB6 | 3 | 28.4 | 29 | 16 | 24 |
| IC-ZB6/4 | ZB6 | 4 | 25.1 | 26 | 18 | 21 |
| IC-ZB6/5 | ZB6 | 5 | 24.8 | 27 | 16 | 23 |
| IC-ZB6/7.5 | ZB6 | 7.5 | 23.1 | 16 | 10 | 14 |
| IC-ZB6/10 | ZB6 | 10 | 18.1 | 4 | 15 | 3 |
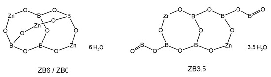
| Zinc Borate Symbol | Molecular Weight (g/mol) | Chemical Composition (wt%) | B:Zn:H2O Molar Ratio | PVAc:ZB Weight Ratio 1 | ||
|---|---|---|---|---|---|---|
| B | Zn | H2O | ||||
| ZB0 | 383.5 | 11.3 | 51.1 | 0 | 1:0.75:0 | 100:37 |
| ZB3.5 | 434.7 | 14.9 | 30.1 | 14.5 | 1:0.33:0.58 | 100:28 |
| ZB6 | 491.5 | 8.8 | 39.9 | 21.9 | 1:0.75:1.5 | 100:48 |
Publisher’s Note: MDPI stays neutral with regard to jurisdictional claims in published maps and institutional affiliations. |
© 2020 by the authors. Licensee MDPI, Basel, Switzerland. This article is an open access article distributed under the terms and conditions of the Creative Commons Attribution (CC BY) license (http://creativecommons.org/licenses/by/4.0/).
Share and Cite
Łopiński, J.; Schmidt, B.; Bai, Y.; Kowalczyk, K. Effect of the B:Zn:H2O Molar Ratio on the Properties of Poly(Vinyl Acetate) and Zinc Borate-Based Intumescent Coating Materials Exposed to a Quasi-Real Cellulosic Fire. Polymers 2020, 12, 2542. https://doi.org/10.3390/polym12112542
Łopiński J, Schmidt B, Bai Y, Kowalczyk K. Effect of the B:Zn:H2O Molar Ratio on the Properties of Poly(Vinyl Acetate) and Zinc Borate-Based Intumescent Coating Materials Exposed to a Quasi-Real Cellulosic Fire. Polymers. 2020; 12(11):2542. https://doi.org/10.3390/polym12112542
Chicago/Turabian StyleŁopiński, Jakub, Beata Schmidt, Yongping Bai, and Krzysztof Kowalczyk. 2020. "Effect of the B:Zn:H2O Molar Ratio on the Properties of Poly(Vinyl Acetate) and Zinc Borate-Based Intumescent Coating Materials Exposed to a Quasi-Real Cellulosic Fire" Polymers 12, no. 11: 2542. https://doi.org/10.3390/polym12112542
APA StyleŁopiński, J., Schmidt, B., Bai, Y., & Kowalczyk, K. (2020). Effect of the B:Zn:H2O Molar Ratio on the Properties of Poly(Vinyl Acetate) and Zinc Borate-Based Intumescent Coating Materials Exposed to a Quasi-Real Cellulosic Fire. Polymers, 12(11), 2542. https://doi.org/10.3390/polym12112542

