Abstract
Main-chain polybenzoxazines containing amide linkages were successfully prepared in one pot. Three different polymers were synthesized by reacting 3,4-dihydrocoumarine (DHC) and paraformaldehyde with 1,3-diaminopropane or 1,6-diaminohexane or Jeffamine ED-900. The one-pot reaction proceeded through the combination of the ring-opening of DHC with amines, and subsequent Mannich and ring-closure reactions occurring in a cascading manner. The obtained polymer from Jeffamine exhibited good film-forming properties, and free-standing flexible films were easily solvent- casted on Teflon plates. All polymeric precursors were characterized by spectroscopic analysis, and their curing behavior and thermal stability were investigated by differential scanning calorimetry (DSC) and thermogravimetric analysis (TGA).
1. Introduction
Polybenzoxazines, as contenders to classical phenolic resins, have gained interest in material and polymer chemistry due to their unique properties, including low water sorption, high thermostability, char yields and glass transition temperatures, resistance against acids and bases, and good mechanical performance [1,2,3]. Therefore, polybenzoxazines have found applications especially in the aerospace industry, where high performance materials are needed. Another important aspect of polybenzoxazines is the ease of preparation from their 1,3-benzoxazine monomers. Generally, the polymerization of these monomers can be performed without using any catalyst at temperatures between 160 and 250 °C, depending on the functionalities of the benzoxazines [4,5,6,7]. The polymerization proceeds through the cationic ring-opening of oxazine by cleavage of the C–O bond in the N–CH2–O bridge (Scheme 1) [8,9].
Scheme 1.
Polymerization of a benzoxazine monomer to produce polybenzoxazine.
Although ring-opening polymerization (ROP) is considered to be a non-catalytic process, the phenolic impurities in the benzoxazine monomers initiate ROP by protonating either the O or N atom of the oxazine ring. Then, the C–O bond of oxazine is cleaved to produce a carbocation that immediately attacks to the aromatic region of the neighbor benzoxazine via Friedel–Crafts reaction [10,11]. By contrast, a highly pure benzoxazine polymerizes significantly at higher temperatures due to the lack of phenolic residues, and the ROP temperature of such a monomer could increase as much as 60 °C compared to a regularly prepared identical benzoxazine [12].
Another advantage of polybenzoxazines, apart from facile polymerization, is the synthetic design flexibility of their monomers, since a typical synthesis is based on any suitable phenolic, a primary amine, and formaldehyde. Hence, a vast number of benzoxazines could be designed by only altering the phenols and amines, and there are many different commercially available variants of the aforementioned reagents. Thus, the method allows for generation of a large monomer library that would be useful for obtaining designed polybenzoxazines for a range of possible applications [13,14,15,16,17,18]. Accordingly, several different benzoxazines were synthesized in order to arrange the properties of polybenzoxazine end-products. For example, monomers containing alkyl, allyl, alkene, alcohol, carbonyl, carboxyl, coumarine, propargyl, amide, and sulfone were successfully synthesized [16,19,20,21,22,23,24,25,26,27,28,29,30,31,32]. Alternative to monomer design, main-, side- and end-chain polybenzoxazine precursors were also produced by using Mannich-type polycondensation, polyesterification, carbon–carbon couplings, and free radical polymerization [33,34,35,36,37,38,39,40,41,42,43,44,45]. Among those, amide-functional benzoxazines emerged, attracting considerable attention due to their structural resemblance to benzanilides. As is well known, polyamides are considered to be an important polymer class because of the presence of strong hydrogen bonding that grants good mechanical and thermal properties to the corresponding polymer. Similarly, amide linkages containing polybenzoxazines would exhibit numerous hydrogen bonding interactions between phenolic –OH, tertiary amines, carbonyl, and amide –NH functionalities [46,47,48,49]. In order to benefit from the properties of amides, different synthetic approaches were used to obtain amide-functional benzoxazines. In the first place, syntheses of primary amine-functional benzoxazines were attempted in order to use them in classical amidation reactions. However, the direct synthesis of amine-functional benzoxazines from phenols and amines by arranging the stoichiometry failed due to the complicated side reactions, such as triazine and aminomethylol formation, or uncontrolled oligomerizations. For that reason, sequential synthesis of primary amine-functional benzoxazines was performed by using protective groups. This approach yielded the desired benzoxazines, and then amide-functional benzoxazines were obtained by reacting these aminobenzoxazines with acid chlorides [50,51]. However, the synthetic path contains at least four steps with workup and purification procedures that limit the practical usage. Therefore, hydroxybenzamides, as amide-functional phenols, were prepared from acid halides and aminophenols to reduce the number of synthetic stages. Eventually, these hydroxybenzamides were reacted with different primary amines and formaldehyde to obtain the amide-functional benzoxazines, and a series of amide benzoxazines were synthesized [46,52]. On the other hand, the requirement of aminophenols and acyl halides could be considered as a drawback that limits the synthetic diversity of amide-functional benzoxazines. Recently, a novel synthetic approach was reported to span the variety of amide-functional benzoxazines by using 3,4-dihydrocoumarines (DHCs) as starting reagents. A DHC was reacted with primary amines to obtain amide-containing phenols for further benzoxazine synthesis [53]. Although this recent approach yielded the desired products, the yields were relatively low due to the inevitable formation of triazines [54] as byproducts. Nonetheless, this synthetic path has the potential to be expanded for the synthesis of main-chain polybenzoxazines. Hence, in this paper, by taking the advantage of DHC chemistry, a one-pot synthesis of main-chain poly(benzoxazine amide) precursors was successfully performed, and the versatility of the approach is presented.
2. Materials and Methods
2.1. Characterization
1H NMR spectra were recorded using an Agilent VNMRS 500 MHz (Santa Clara, CA, USA), and chemical shifts were recorded in ppm using tetramethylsilane as an internal standard. FTIR spectra were recorded on a PerkinElmer FTIR Spectrum One spectrometer (MA, USA). Differential scanning calorimetry (DSC) was performed on PerkinElmer Diamond DSC (MA, USA) from 20 to 320 °C with a heating rate of 10 °C min−1 under nitrogen flow. Thermal gravimetric analysis (TGA) was performed on PerkinElmer Diamond TA/TGA with a heating rate of 10 °C min−1 under nitrogen flow. Molecular weights were determined by gel permeation chromatography (GPC). The measurements were performed on a TOSOH EcoSEC GPC system (MA, USA) equipped with an autosampler system, a temperature-controlled pump, a column oven, a refractive index (RI) detector, a purge and degasser unit, and a TSKgel SuperHZ2000, 4.6 mm i.d. × 15 cm × 2 cm column. Tetrahydrofuran was used as an eluent at a flow rate of 1.0 mL min−1 at 40 °C. The refractive index detector was calibrated with polystyrene standards which had narrow molecular weight distributions. Data were analyzed using EcoSEC analysis software.
2.2. Materials
3,4-Dihydrocoumarine (DHC) (Alfa Aesar, 99%, Tewksbury, MA, USA), o,o′-bis(2-aminopropyl) polypropylene glycol-block-polyethylene glycol-block-polypropylene glycol (Sigma-Aldrich, Jeffamine® ED-900, St. Louis, MO, USA), paraformaldehyde (Aldrich, 95.0−100.5%, St. Louis, MO, USA), acetonitrile (ACN, Merck, 99.9%, Kenilworth, NJ, U.S.), ethanol (EtOH, Aldrich, ≥99.5%), methanol (MeOH, Sigma-Aldrich, ≥99.8%), diethyl ether (DEE, VWR Chemicals, ≥99.5%, West Chester, PA, USA), toluene (Carlo Erba, 99.5%, Barcelona, Spain), and acetone (Carlo Erba, >99.8%, Barcelona, Spain) were used as received.
2.3. Synthesis of the Main-Chain Polybenzoxazine Precursors
A representative procedure is as follows: A mixture of 3,4-dihydrocoumarine (0.772 g, 0.003 mol), bisamine (Jeffamine ED-900) (6 g, 0.003 mol), was placed in a 250 mL round-bottom flask containing 60 mL of toluene and 30 mL of ethanol or acetonitrile. This mixture was refluxed for 24 h. Then, paraformaldehyde (0.360 g, 0.012 mol) was added to the reaction mixture and refluxed for a further 12 h. Thereafter, the contents of the flask were concentrated using a rotary evaporator. The remaining solution was added into cold methanol (200 mL) dropwise, and kept in a refrigerator for 24 h. The solvent was decanted and the polymer washed with cold methanol. Finally, the polymer was dried at ambient temperature in a vacuum chamber for 24 h to obtain a transparent orange-colored oily polymer. Typically, conversions were between 60% and 80% depending on the diamine.
2.4. Film Preparation
To obtain polybenzoxazine film, 1 g of main-chain polybenzoxazine precursor was dissolved in 10 mL of acetone and charged into a Teflon mold. The solvent was evaporated at room temperature for 3 days. Then, the film was subjected to a heat treatment at 120 °C for 10 min in an ordinary oven for the removal of solvent residues, and then gradually heated up to 180 °C and cured for 0.5 h. After curing, a dark-orange, transparent, and flexible crosslinked film with a smooth surface was obtained.
3. Results and Discussion
DHCs are prone to react with amines in benign conditions without a catalyst requirement (Scheme 2) [55,56]. Correspondingly, ring-opening reactions of DHC have gained interest, especially in medicinal chemistry, where the synthesis of amide precursors using mild and non-catalytic conditions are preferred, in order to meet the requirements of green chemical synthesis [57]. More specifically, DHCs are suitable reagents for the preparation of amide-functional phenolics at room temperature, either quantitatively or with high yields. Therefore, such phenolics can be prepared without significant effort being used to select suitable amines.
Scheme 2.
Ring-opening aminolysis of DHC to form a phenolic amide.
The presence of several different commercially available amines provides a vast design capacity to obtain phenolics for further use in benzoxazine synthesis. Besides, the ring-opening aminolysis of two moles of DHC with one mol of difunctional amine in a medium having four moles of formaldehyde would also trigger concomitant Mannich and ring-closure cascade reactions to form 1,3-oxazines. Hence, main-chain polybenzoxazines with amide linkages would eventually be synthesized under such a condition. Accordingly, DHC was reacted with three different diamines, and paraformaldehyde and polybenzoxazines precursors with different molecular weights were obtained successfully (Scheme 3).
Scheme 3.
One-pot synthesis of amide linkage containing a main-chain polybenzoxazine precursor.
The reaction between DHC and diamines was performed at 80 °C in both CH3CN and toluene–ethanol mixtures (2:1 (v/v)) for 24 h to complete the ring-opening aminolysis reaction, and then paraformaldehyde was added into the mixtures under reflux for a further 12 h to form the benzoxazine ring. 1,3-Diaminopropane, 1,6-diaminohexane, and Jeffamine® ED-900 were selected as diamines for regulating the flexibility of the main-chain polybenzoxazine precursor. The obtained polymers were abbreviated as poly(DHC-Bz-propylamide), poly(DHC-Bz-hexylamide), and poly(DHC-Bz-jeffamide), respectively.
The chemical structures of the polybenzoxazine precursors were evaluated by 1H NMR and FTIR spectral analysis. In Figure 1, the 1H NMR spectra of poly(DHC-Bz-hexylamide) and poly(DHC-Bz-jeffamide) were presented. It should be noted that poly(DHC-Bz-propylamide) was insoluble in common solvents used for NMR characterization. The characteristic oxazine proton signals at 4.96, 4.84 ppm (O–CH2–N), and 4.05, 3.94 ppm (Ar–CH2–N), provide clear evidence for the formation of benzoxazine in poly(DHC-Bz-jeffamide) and poly(DHC-Bz-hexylamide), respectively. Moreover, the triplet peaks at 2.61, 2.58 ppm (–CH2–NH), and 2.47, 2.40 ppm (Ar–CH2–) also verify the ring-opening of DHC. Besides, in Figure 1b, the peak at 2.68 ppm indicates that poly(DHC-Bz-hexylamide) contains an end-chain primary amine. FTIR spectra of the main-chain polybenzoxazines disclose the formation of amide functionality and the oxazine ring (Figure 2). The stretching vibration bands of aromatic C–H (3136–3038 cm–1) and aromatic C=C (1461–1598 cm–1) bonds, and the out-of-plane bending of aromatics and oxazine ring vibrations of C–H bonds (925–941 cm–1), can be considered as convincing spectral evidence for the formation of benzoxazine moieties. Besides, stretching vibrations of the amide carbonyl group are clearly visible at ca. 1630–1653 cm–1, and for amide N–H with water residue, emerge at ca. 3288–3313 cm–1. Moreover, Figure 2a exhibits strong C–O stretching vibration of the poly(propylene glycol) segment at 1100 cm–1. Apart from the spectral characterization, molecular weights (Mn) and polydispersity index (PDI) of the polymers were determined as being ca. 4600 Da, 1.3 for poly(DHC-Bz-hexylamide), and ca. 3000 Da, 1.2 for poly(DHC-Bz-hexylamide) using GPC. These spectral and chromatographic data confirm the successful synthesis of amide-functional main-chain polybenzoxazines.
Figure 1.
1H NMR spectra of (a) poly(DHC-Bz-jeffamide) and (b) poly(DHC-Bz-hexylamide).
Figure 2.
The overlaid FTIR spectra of (a) poly(DHC-Bz-jeffamide), (b) poly(DHC-Bz-hexylamide), and (c) poly(DHC-Bz-propylamide).
As stated, polybenzoxazines can be synthesized by ring-opening polymerization (ROP) of benzoxazines at temperatures between 160 and 260 °C. The polymerization of these monomers is exothermic and can be monitored easily by differential scanning calorimetry (DSC). Figure 3 and Table 1 show the DSC results of poly(DHC-Bz-propylamide), poly(DHC-Bz-hexylamide), and poly(DHC-Bz-jeffamide). Accordingly, all of the precursors are curable and exhibit broad curing exotherms starting from 168 °C for hexylamide, 172 °C for Jeffamide, and 185 °C for propylamide-based precursors. These onset values are relatively low compared to the curing temperatures of classical benzoxazine monomers. The main reason for low onset temperatures might be the presence of some ring-opened oxazine repeat units, since it is well known that unreacted phenols in benzoxazine formulations could catalyze ROP and reduce the curing temperatures [5,58]. Moreover, the precursor poly(DHC-Bz-propylamide) that was synthesized from a shorter amine exhibits the largest amount of exotherm among the three examples because of the larger oxazine mass per repeat unit. Conversely, poly(DHC-Bz-jeffamide) has the smallest amount of exotherm due to the large Jeffamide units per oxazine ring. Therefore, it could be concluded that the amount of polymeric benzoxazine precursor exotherm is directly proportional to the mass ratio of the oxazine ring per total mass of the related precursor. However, this generalization may not be applicable for the two different types of main-chain precursors due to functional group effects. Also, without considering the structure, the success of the ring-closure reaction to form oxazine rings on the precursor would affect the extent of exotherm. In general, around 10% of ring-opened oxazine units remain on the polymer backbone in a classical main-chain polybenzoxazine synthesis [37]. However, the ring-closure ratio of poly(DHC-Bz-jeffamide) was calculated as ca. 77% by using integration ratios from proton NMR spectroscopy. This result could be expected since the synthesis of poly(DHC-Bz-jeffamide) basically should include two successive stages—the ring-opening of DHC and oxazine formation.
Figure 3.
DSC thermograms of (a) poly(DHC-Bz-propylamide), (b) poly(DHC-Bz-hexylamide), and (c) poly(DHC-Bz-jeffamide).
Table 1.
Differential scanning calorimetry (DSC) a characteristics of amide-functional polybenzoxazine precursors.
Film fabrication from benzoxazine monomers is complicated, especially for monofunctional films. This is because casting films from powdery monomers is mostly difficult, and the formed films are generally brittle as a result of insufficient molecular weight and an inflexible polybenzoxazine network. Therefore, combining benzoxazines with polymeric structures to obtain main- or side-chain polybenzoxazine precursors emerged as a solution for film-formation difficulties with additional exploitable benefits stemming from the polymeric nature. Accordingly, processable, curable, and flexible polybenzoxazine thermoplastics were synthesized by the Mannich condensation reaction. Similarly obtained precursors reported in this study were solvent-casted in Teflon molds, and after evaporating the solvent, were cured at 180 °C for 30 min to obtain flexible, transparent films (Figure 4). It should be noted that the films of poly(DHC-Bz-propylamide) and poly(DHC-Bz-hexylamide) could not be cast due to their limited solubility. Conversely, the films of poly(DHC-Bz-jeffamide) were easily prepared, as the polypropylene glycol and polyethylene glycol blocks on the precursor contributed immensely to the overall solubility.
Figure 4.
Images of cured poly(DHC-Bz-jeffamide) films.
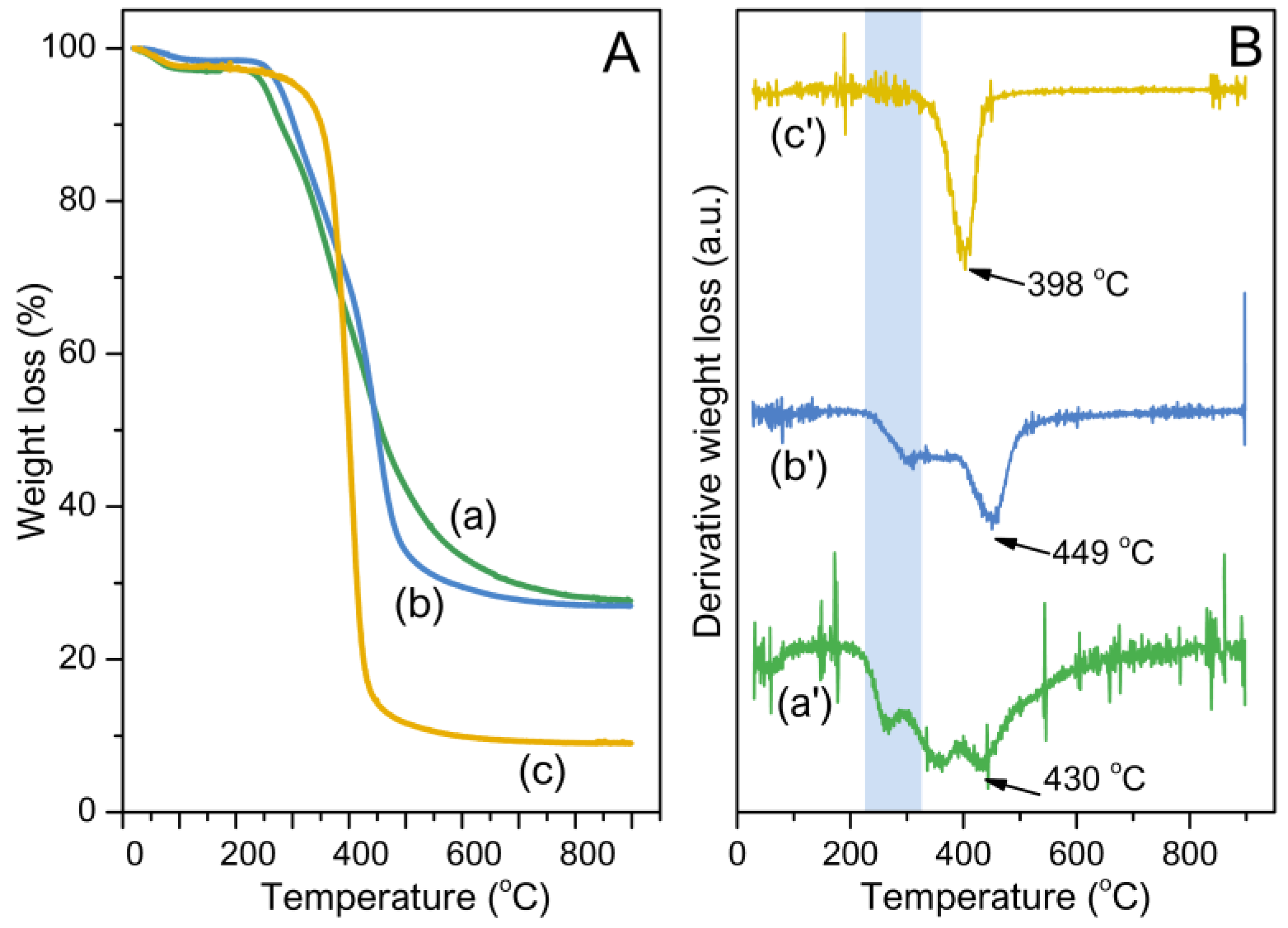
Thermostabilities of the cured precursors were characterized by using thermal gravimetric analysis (TGA). TGA thermograms and their derivatives are respectively displayed in Figure 5A,B, and the associated thermal properties are tabulated in Table 2. The initial degradation temperatures, T5% and T10%, of the samples differ in order of the chain length of the diamine. Shorter chains have lower initial degradation temperatures than longer Jeffamine chains due, probably, to amine degradation of the polybenzoxazines, where the temperature for this type of decomposition is generally between 160 and 300 °C and occurs via C–N cleavage [59,60,61]. In poly(DHC-Bz-propylamide) and poly(DHC-Bz-hexylamide), the number of amino groups per repeat unit is much higher than in poly(DHC-Bz-jeffamide) and, thus, amine degradation might be severe in these polymers. In Figure 5B (a’) and (b’), the derivative thermograms clearly exhibit this behavior as downward bands. Conversely, the Tmax values and char yields of the short-chain precursors are significantly higher than the Jeffamide-based precursor due to the number of aromatics per repeat units. Moreover, it is well known that large polyether units are prone to degrading rapidly at such high temperatures. For example, pristine Jeffamines generally have char yields below 1% at 800 °C, even under non-oxidizing conditions, such as N2 or Ar atmosphere.
Figure 5.
Thermal gravimetric analysis (TGA) thermograms (A) and their derivative curves (B) of cured precursors poly(DHC-Bz-propylamide) (a), (a’), poly(DHC-Bz-hexylamide) (b), (b’) and poly(DHC-Bz-jeffamide) (c), (c’).
Table 2.
Thermal properties of the cured a polybenzoxazine precursors.
4. Conclusions
In this study, amide repeat units containing main-chain polybenzoxazine precursors with different chain lengths were synthesized in one pot, starting from readily available and relatively cheap paraformaldehyde, 3,4-dihydrocoumarine (DHC), 1,3-diaminopropane, 1,6-diaminohexane, and Jeffamine ED-900. The polymeric precursors were obtained through cascade ring-opening aminolysis of DHC with the selected amines, Mannich reaction, and ring-closure to form oxazine rings with amide linkages. One of the polymeric precursors exhibited good film-forming ability and the casted films were flexible after curing at 180 °C. This study reveals the potential of DHC and related compounds to be used as precursors for several different amide-containing main-chain polybenzoxazines in one pot by selecting suitable diamines. Accordingly, this method has a vast design capacity for these specific types of polybenzoxazines, and can be broadened according to specific application needs.
Author Contributions
C.D.—experimentation; B.K. and Y.Y.—supervision, writing, review and editing; B.K.—funding acquisition.
Funding
This research was funded by Istanbul Technical University Research Fund, project ID: TGA-2018-41502.
Conflicts of Interest
The authors declare no conflict of interest.
References
- Demir, K.; Kiskan, B.; Aydogan, B.; Yagci, Y. Thermally curable main-chain benzoxazine prepolymers via polycondensation route. React. Funct. Polym. 2013, 73, 346–359. [Google Scholar] [CrossRef]
- Ghosh, N.; Kiskan, B.; Yagci, Y. Polybenzoxazines—New high performance thermosetting resins: Synthesis and properties. Prog. Polym. Sci. 2007, 32, 1344–1391. [Google Scholar] [CrossRef]
- Nair, C.P.R. Advances in addition-cure phenolic resins. Prog. Polym. Sci. 2004, 29, 401–498. [Google Scholar]
- Akkus, B.; Kiskan, B.; Yagci, Y. Counterion effect of amine salts on ring-opening polymerization of 1,3-benzoxazines. Macromol. Chem. Phys. 2019, 220, 1800268. [Google Scholar] [CrossRef]
- Kaya, G.; Kiskan, B.; Yagci, Y. Phenolic naphthoxazines as curing promoters for benzoxazines. Macromolecules 2018, 51, 1688–1695. [Google Scholar] [CrossRef]
- Arslan, M.; Kiskan, B.; Yagci, Y. Ring-opening polymerization of 1, 3-benzoxazines via borane catalyst. Polymers 2018, 10, 239. [Google Scholar] [CrossRef] [PubMed]
- Ishida, H.; Rodriguez, Y. Curing kinetics of a new benzoxazine-based phenolic resin by differential scanning calorimetry. Polymer 1995, 36, 3151–3158. [Google Scholar] [CrossRef]
- Özaltın, T.; Catak, S.; Kiskan, B.; Yagci, Y.; Aviyente, V. Rationalizing the regioselectivity of cationic ring-opening polymerization of benzoxazines. Eur. Polym. J. 2018, 105, 61–67. [Google Scholar] [CrossRef]
- Liu, C.; Shen, D.; Sebastián, R.M.A.; Marquet, J.; Schönfeld, R. Mechanistic studies on ring-opening polymerization of benzoxazines: A mechanistically based catalyst design. Macromolecules 2011, 44, 4616–4622. [Google Scholar] [CrossRef]
- Hamerton, I.; McNamara, L.T.; Howlin, B.J.; Smith, P.A.; Cross, P.; Ward, S. Examining the initiation of the polymerization mechanism and network development in aromatic polybenzoxazines. Macromolecules 2013, 46, 5117–5132. [Google Scholar] [CrossRef] [PubMed]
- Wang, Y.X.; Ishida, H. Cationic ring-opening polymerization of benzoxazines. Polymer 1999, 40, 4563. [Google Scholar] [CrossRef]
- Han, L.; Salum, M.L.; Zhang, K.; Froimowicz, P.; Ishida, H. Intrinsic self-initiating thermal ring-opening polymerization of 1,3-benzoxazines without the influence of impurities using very high purity crystals. J. Polym. Sci. Part Polym. Chem. 2017, 55, 3434–3445. [Google Scholar] [CrossRef]
- Hu, W.H.; Huang, K.W.; Chiou, C.W.; Kuo, S.W. Complementary multiple hydrogen bonding interactions induce the self-assembly of supramolecular structures from heteronucleobase-functionalized benzoxazine and polyhedral oligomeric silsesquioxane nanoparticles. Macromolecules 2012, 45, 9020–9028. [Google Scholar] [CrossRef]
- Hu, W.-H.; Huang, K.-W.; Kuo, S.-W. Heteronucleobase-functionalized benzoxazine: Synthesis, thermal properties, and self-assembled structure formed through multiple hydrogen bonding interactions. Polym. Chem. 2012, 3, 1546–1554. [Google Scholar] [CrossRef]
- Li, W.; Wei, T.; Gao, Y.; Xi, K.; Jia, X. Preparation of novel benzoxazine monomers containing ferrocene moiety and properties of polybenzoxazines. Polymer 2012, 53, 1236–1244. [Google Scholar] [CrossRef]
- Comi, M.; Lligadas, G.; Ronda, J.C.; Galia, M.; Cadiz, V. Renewable benzoxazine monomers from “lignin-like” naturally occurring phenolic derivatives. J. Polym. Sci. Part Polym. Chem. 2013, 51, 4894–4903. [Google Scholar] [CrossRef]
- Zhang, K.; Zhuang, Q.; Liu, X.; Cai, R.; Yang, G.; Han, Z. Synthesis and copolymerization of benzoxazines with low-dielectric constants and high thermal stability. RSC Adv. 2013, 3, 5261–5270. [Google Scholar] [CrossRef]
- Lin, L.-C.; Yen, H.-J.; Kung, Y.-R.; Leu, C.-M.; Lee, T.-M.; Liou, G.-S. Novel near-infrared and multi-colored electrochromic polybenzoxazines with electroactive triarylamine moieties. J. Mater. Chem. C 2014, 2, 7796–7803. [Google Scholar] [CrossRef]
- Imran, M.; Kiskan, B.; Yagci, Y. Concise synthesis and characterization of unsymmetric 1, 3-benzoxazines by tandem reactions. Tetrahedron Lett. 2013, 54, 4966–4969. [Google Scholar] [CrossRef]
- Kiskan, B.; Koz, B.; Yagci, Y. Synthesis and characterization of fluid 1, 3-benzoxazine monomers and their thermally activated curing. J. Polym. Sci. Part Polym. Chem. 2009, 47, 6955–6961. [Google Scholar] [CrossRef]
- Kiskan, B.; Demirel, A.; Kamer, O.; Yagci, Y. Synthesis and characterization of nanomagnetite thermosets based on benzoxazines. J. Polym. Sci. Part Polym. Chem. 2008, 46, 6780–6788. [Google Scholar] [CrossRef]
- Kiskan, B.; Yagci, Y. Thermally curable benzoxazine monomer with a photodimerizable coumarin group. J. Polym. Sci. Part Polym. Chem. 2007, 45, 1670–1676. [Google Scholar] [CrossRef]
- Taskin, O.; Kiskan, B.; Aksu, A.; Balkis, N.; Weber, J.; Yagci, Y. Polybenzoxazine: A powerful tool for removal of mercury salts from water. Chem. Eur. J. 2014, 20, 10953–10958. [Google Scholar] [CrossRef]
- Andreu, R.; Reina, J.A.; Ronda, J.C. Carboxylic acid-containing benzoxazines as efficient catalysts in the thermal polymerization of benzoxazines. J. Polym. Sci. Part Polym. Chem. 2008, 46, 6091–6101. [Google Scholar] [CrossRef]
- Andreu, R.; Reina, J.A.; Ronda, J.C. Studies on the thermal polymerization of substituted benzoxazine monomers: Electronic effects. J. Polym. Sci. Part Polym. Chem. 2008, 46, 3353–3366. [Google Scholar] [CrossRef]
- Zúñiga, C.; Larrechi, M.S.; Lligadas, G.; Ronda, J.C.; Galià, M.; Cádiz, V. Polybenzoxazines from renewable diphenolic acid. J. Polym. Sci. Part Polym. Chem. 2011, 49, 1219–1227. [Google Scholar] [CrossRef]
- Agag, T.; Takeichi, T. Novel benzoxazine monomers containing p-phenyl propargyl ether: Polymerization of monomers and properties of polybenzoxazines. Macromolecules 2001, 34, 7257–7263. [Google Scholar] [CrossRef]
- Agag, T.; Takeichi, T. Synthesis and characterization of novel benzoxazine monomers containing allyl groups and their high performance thermosets. Macromolecules 2003, 36, 6010–6017. [Google Scholar] [CrossRef]
- Kudoh, R.; Sudo, A.; Endo, T. A highly reactive benzoxazine monomer, 1-(2-hydroxyethyl)-1,3-benzoxazine: Activation of benzoxazine by neighboring group participation of hydroxyl group. Macromolecules 2010, 43, 1185–1187. [Google Scholar] [CrossRef]
- Sudo, A.; Du, L.-C.; Hirayama, S.; Endo, T. Substituent effects of n-alkyl groups on thermally induced polymerization behavior of 1,3-benzoxazines. J. Polym. Sci. Part Polym. Chem. 2010, 48, 2777–2782. [Google Scholar] [CrossRef]
- Kawaguchi, A.W.; Sudo, A.; Endo, T. Synthesis of highly polymerizable 1,3-benzoxazine assisted by phenyl thio ether and hydroxyl moieties. J. Polym. Sci. Part Polym. Chem. 2012, 50, 1457–1461. [Google Scholar] [CrossRef]
- Lin, C.H.; Feng, Y.R.; Dai, K.H.; Chang, H.C.; Juang, T.Y. Synthesis of a benzoxazine with precisely two phenolic OH linkages and the properties of its high-performance copolymers. J. Polym. Sci. Part Polym. Chem. 2013, 51, 2686–2694. [Google Scholar]
- Kiskan, B.; Yagci, Y. Self-healing of poly (propylene oxide)-polybenzoxazine thermosets by photoinduced coumarine dimerization. J. Polym. Sci. Part Polym. Chem. 2014, 52, 2911–2918. [Google Scholar] [CrossRef]
- Khan, M.; Halder, K.; Shishatskiy, S.; Filiz, V. Synthesis and crosslinking of polyether-based main chain benzoxazine polymers and their gas separation performance. Polymers 2018, 10, 221. [Google Scholar] [CrossRef] [PubMed]
- Demir, K.; Kiskan, B.; Latthe, S.; Demirel, A.; Yagci, Y. Thermally curable fluorinated main chain benzoxazine polyethers via ullmann coupling. Polym. Chem. 2013, 4, 2106–2114. [Google Scholar] [CrossRef]
- Kukut, M.; Kiskan, B.; Yagci, Y. Self-curable benzoxazine functional polybutadienes synthesized by click chemistry. Des. Monomers Polym. 2009, 12, 167–176. [Google Scholar] [CrossRef]
- Takeichi, T.; Kano, T.; Agag, T. Synthesis and thermal cure of high molecular weight polybenzoxazine precursors and the properties of the thermosets. Polymer 2005, 46, 12172–12180. [Google Scholar] [CrossRef]
- Kiskan, B. Adapting benzoxazine chemistry for unconventional applications. React. Funct. Polym. 2018, 129, 76–88. [Google Scholar] [CrossRef]
- Atsushi, N.; Yasutaka, K.; Xiao-Shui, W.; Masaki, O.; Atsushi, S.; Haruo, N.; Eiichi, K.; Takeshi, E. Synthesis and crosslinking behavior of a novel linear polymer bearing 1,2,3-triazol and benzoxazine groups in the main chain by a step-growth click-coupling reaction. J. Polym. Sci. Part Polym. Chem. 2008, 46, 2316–2325. [Google Scholar]
- Tuzun, A.; Kiskan, B.; Alemdar, N.; Erciyes, A.; Yagci, Y. Benzoxazine containing polyester thermosets with improved adhesion and flexibility. J. Polym. Sci. Part Polym. Chem. 2010, 48, 4279–4284. [Google Scholar] [CrossRef]
- Arslan, M.; Kiskan, B.; Yagci, Y. Benzoxazine-based thermoset with autonomous self-healing and shape recovery. Macromolecules 2018, 51, 10095–10103. [Google Scholar] [CrossRef]
- Deliballi, Z.; Kiskan, B.; Yagci, Y. Main-chain benzoxazine precursor block copolymers. Polym. Chem. 2018, 9, 178–183. [Google Scholar] [CrossRef]
- Agag, T.; Takeichi, T. High-molecular-weight ab-type benzoxazines as new precursors for high-performance thermosets. J. Polym. Sci. Part Polym. Chem. 2007, 45, 1878–1888. [Google Scholar] [CrossRef]
- Hanbeyoglu, B.; Kiskan, B.; Yagci, Y. Hydroxyl functional polybenzoxazine precursor as a versatile platform for post-polymer modifications. Macromolecules 2013, 46, 8434–8440. [Google Scholar] [CrossRef]
- Lin, C.H.; Chang, S.L.; Shen, T.Y.; Shih, Y.S.; Lin, H.T.; Wang, C.F. Flexible polybenzoxazine thermosets with high glass transition temperatures and low surface free energies. Polym. Chem. 2012, 3, 935–945. [Google Scholar] [CrossRef]
- Froimowicz, P.; Zhang, K.; Ishida, H. Intramolecular hydrogen bonding in benzoxazines: When structural design becomes functional. Chem. Eur. J. 2016, 22, 2691–2707. [Google Scholar] [CrossRef]
- Kim, H.-D.; Ishida, H. A study on hydrogen-bonded network structure of polybenzoxazines. J. Phys. Chem. A 2002, 106, 3271–3280. [Google Scholar] [CrossRef]
- Yang, P.; Wang, X.; Fan, H.; Gu, Y. Effect of hydrogen bonds on the modulus of bulk polybenzoxazines in the glassy state. Phys. Chem. Chem. Phys. 2013, 15, 15333–15338. [Google Scholar] [CrossRef]
- Shen, X.; Cao, L.; Liu, Y.; Dai, J.; Liu, X.; Zhu, J.; Du, S. How does the hydrogen bonding interaction influence the properties of polybenzoxazine? An experimental study combined with computer simulation. Macromolecules 2018, 51, 4782–4799. [Google Scholar] [CrossRef]
- Agag, T.; Arza, C.R.; Maurer, F.H.J.; Ishida, H. Primary amine-functional benzoxazine monomers and their use for amide-containing monomeric benzoxazines. Macromolecules 2010, 43, 2748–2758. [Google Scholar] [CrossRef]
- Agag, T.; Arza, C.R.; Maurer, F.H.J.; Ishida, H. Crosslinked polyamide based on main-chain type polybenzoxazines derived from a primary amine-functionalized benzoxazine monomer. J. Polym. Sci. Part Polym. Chem. 2011, 49, 4335–4342. [Google Scholar] [CrossRef]
- Zhang, K.; Ishida, H. Smart synthesis of high-performance thermosets based on ortho-amide–imide functional benzoxazines. Front. Mater. 2015, 2. [Google Scholar] [CrossRef]
- Kaya, G.; Kiskan, B.; Yagci, Y. Coumarines as masked phenols for amide functional benzoxazines. Polym. Chem. 2019, 10, 1268–1275. [Google Scholar] [CrossRef]
- Gungor, F.; Kiskan, B. Tailoring polyvinyl alcohol with triazinanes and formaldehyde. React. Funct. Polym. 2018, 124, 115–120. [Google Scholar] [CrossRef]
- Guo, W.; Gómez, J.E.; Martínez-Rodríguez, L.; Bandeira, N.A.G.; Bo, C.; Kleij, A.W. Metal-free synthesis of n-aryl amides using organocatalytic ring-opening aminolysis of lactones. ChemSusChem 2017, 10, 1969–1975. [Google Scholar] [CrossRef]
- Carme Pampı́n, M.; Estévez, J.C.; Estévez, R.J.; Maestro, M.; Castedo, L. Heck-mediated synthesis and photochemically induced cyclization of [2-(2-styrylphenyl)ethyl]carbamic acid ethyl esters and 2-styryl-benzoic acid methyl esters: Total synthesis of naphtho[2,1f]isoquinolines (2-azachrysenes). Tetrahedron 2003, 59, 7231–7243. [Google Scholar] [CrossRef]
- Jablonski, J.J.; Basu, D.; Engel, D.A.; Geysen, H.M. Design, synthesis, and evaluation of novel small molecule inhibitors of the influenza virus protein ns1. Bioorg. Med. Chem. 2012, 20, 487–497. [Google Scholar] [CrossRef][Green Version]
- Zhang, W.; Froimowicz, P.; Arza, C.R.; Ohashi, S.; Xin, Z.; Ishida, H. Latent catalyst-containing naphthoxazine: Synthesis and effects on ring-opening polymerization. Macromolecules 2016, 49, 7129–7140. [Google Scholar] [CrossRef]
- Fam, S.B.; Uyar, T.; Ishida, H.; Hacaloglu, J. Investigation of polymerization of benzoxazines and thermal degradation characteristics of polybenzoxazines via direct pyrolysis mass spectrometry. Polym. Int. 2012, 61, 1532–1541. [Google Scholar] [CrossRef]
- Li, C.; Ran, Q.; Zhu, R.; Gu, Y. Study on thermal degradation mechanism of a cured aldehyde-functional benzoxazine. RSC Adv. 2015, 5, 22593–22600. [Google Scholar] [CrossRef]
- Hemvichian, K.; Laobuthee, A.; Chirachanchai, S.; Ishida, H. Thermal decomposition processes in polybenzoxazine model dimers investigated by tga-ftir and gc-ms. Polym. Degrad. Stabil. 2002, 76, 1–15. [Google Scholar] [CrossRef]
© 2019 by the authors. Licensee MDPI, Basel, Switzerland. This article is an open access article distributed under the terms and conditions of the Creative Commons Attribution (CC BY) license (http://creativecommons.org/licenses/by/4.0/).







