Polymer-Magnetic Composite Particles of Fe3O4/Poly(o-anisidine) and Their Suspension Characteristics under Applied Magnetic Fields
Abstract
1. Introduction
2. Experimental
2.1. Materials and Sample Preparation
2.2. Characterization
3. Results and Discussion
3.1. Material Characteristics
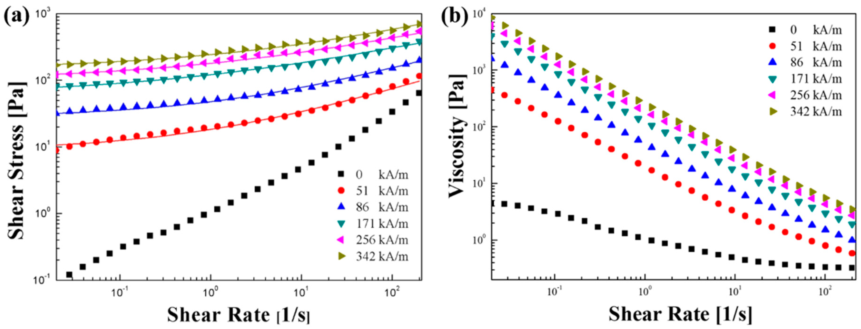
3.2. Magnetorheological Characteristics
3.3. Sedimentation Characteristics
4. Conclusions
Author Contributions
Acknowledgments
Conflicts of Interest
References
- Esmaeilnezhad, E.; Choi, H.J.; Schaffie, M.; Gholizadeh, M.; Ranjbar, M. Polymer coated magnetite-based magnetorheological fluid and its potential clean procedure applications to oil production. J. Clean. Prod. 2018, 171, 45–56. [Google Scholar] [CrossRef]
- Bica, I.; Anitas, E.; Averis, L. Tensions and deformations in composites based on polyurethane elastomer and magnetorheological suspension: Effects of the magnetic field. J. Ind. Eng. Chem. 2015, 28, 86–90. [Google Scholar] [CrossRef]
- Shen, M.; Huang, Q. Acoustic velocity and attenuation coefficient of magnetorheological fluids under electromagnetic fields. Appl. Acoust. 2016, 107, 27–33. [Google Scholar] [CrossRef]
- Cvek, M.; Mrlik, M.; Ilcikova, M.; Plachy, T.; Sedlacik, M.; Mosnacek, J.; Pavlínek, V. A facile controllable coating of carbonyl iron particles with poly(glycidyl methacrylate): A tool for adjusting MR response and stability properties. J. Mater. Chem. C 2015, 3, 4646–4656. [Google Scholar] [CrossRef]
- Kim, J.W.; Kim, S.G.; Choi, H.J.; Suh, M.S.; Shin, M.J.; Jhon, M.S. Synthesis and electrorheological characterization of polyaniline and Na+-montmorillonite clay nanocomposite. Int. J. Mod. Phys. B 2001, 15, 657–664. [Google Scholar] [CrossRef]
- Fang, F.F.; Liu, Y.D.; Choi, H.J. Electrorheological and magnetorheological response of polypyrrole/magnetite nanocomposite particles. Colloid Polym. Sci. 2013, 291, 1781–1786. [Google Scholar] [CrossRef]
- Mrlík, M.; Ilčíková, M.; Pavlínek, V.; Mosnáček, J.; Peer, P.; Filip, P. Improved thermooxidation and sedimentation stability of covalently-coated carbonyl iron particles with cholesteryl groups and their influence on magnetorheology. J. Colloid Interface Sci. 2013, 396, 146–151. [Google Scholar] [CrossRef] [PubMed]
- Rwei, S.-P.; Ranganathan, P.; Chiang, W.-Y.; Wang, T.-Y. The magnetorheological fluid of carbonyl iron suspension blended with grafted MWCNT or graphene. J. Magn. Magn. Mater. 2017, 443, 58–66. [Google Scholar] [CrossRef]
- De Vicente, J.; López-López, M.T.; Durán, J.D.; González-Caballero, F. Shear flow behavior of confined magnetorheological fluids at low magnetic field strengths. Rheol. Acta 2004, 44, 94–103. [Google Scholar] [CrossRef]
- Arief, I.; Mukhopadhyay, P. Dynamic and rate-dependent yielding behavior of Co0.9Ni0.1 microcluster based magnetorheological fluids. J. Magn. Magn. Mater. 2016, 397, 57–63. [Google Scholar] [CrossRef]
- Li, W.H.; Du, H.; Guo, N.Q. Design and testing of an MR steering damper for motorcycles. Int. J. Adv. Manuf. Technol. 2003, 22, 288–294. [Google Scholar] [CrossRef]
- Seo, Y.P.; Han, S.; Choi, J.; Takahara, A.; Choi, H.J.; Seo, Y. Searching for a Stable High-Performance Magnetorheological Suspension. Adv. Mater. 2018, 30, 1704769. [Google Scholar] [CrossRef] [PubMed]
- Cheng, H.; Wang, M.; Liu, C.; Wereley, N.M. Improving sedimentation stability of magnetorheological fluids using an organic molecular particle coating. Smart Mater. Struct. 2018, 27, 075030. [Google Scholar] [CrossRef]
- Mrlik, M.; Ilcikova, M.; Sedlacik, M.; Mosnacek, J.; Peer, P.; Filip, P. Cholesteryl-coated carbonyl iron particles with improved anti-corrosion stability and their viscoelastic behaviour under magnetic field. Colloid Polym. Sci. 2014, 292, 2137–2143. [Google Scholar] [CrossRef]
- Fu, Y.; Yao, J.; Zhao, H.; Zhao, G.; Wan, Z.; Qiu, Y. Fabrication and magnetorheology of bidisperse magnetic microspheres coated with gelatin and multi-walled carbon nanotubes. Smart Mater. Struct. 2018, 27, 125001. [Google Scholar] [CrossRef]
- Dong, Y.Z.; Choi, H.J. Synthesis of Organic-Inorganic Poly(diphenylamine)/Magnetite Composite Particles and Their Magnetorheological Response. IEEE Trans. Magn. 2018, 54, 4601004. [Google Scholar] [CrossRef]
- Hajalilou, A.; Mazlan, S.A.; Shila, S.T. Magnetic carbonyl iron suspension with Ni-Zn ferrite additive and its magnetorheological properties. Mater. Lett. 2016, 181, 196–199. [Google Scholar] [CrossRef]
- Machovsky, M.; Mrlik, M.; Kuritka, I.; Pavlínek, V.; Babayan, V. Novel synthesis of core–shell urchin-like ZnO coated carbonyl iron microparticles and their magnetorheological activity. RSC Adv. 2014, 4, 996–1003. [Google Scholar] [CrossRef]
- Plachy, T.; Kutalkova, E.; Sedlacik, M.; Vesel, A.; Masar, M.; Kuritka, I. Impact of corrosion process of carbonyl iron particles on magnetorheological behavior of their suspensions. J. Ind. Eng. Chem. 2018, 66, 362–369. [Google Scholar] [CrossRef]
- Hong, C.H.; Kim, M.W.; Zhang, W.L.; Moon, I.J.; Choi, H.J. Fabrication of smart magnetite/reduced graphene oxide composite nanoparticles and their magnetic stimuli-response. J. Colloid Interface Sci. 2016, 481, 194–200. [Google Scholar] [CrossRef] [PubMed]
- Wang, G.; Ma, Y.; Cui, G.; Li, N.; Dong, X. Two-dimensional Fe3O4/MoS2 nanocomposites for a magnetorheological fluid with enhanced sedimentation stability. Soft Matter 2018, 14, 1917–1924. [Google Scholar] [CrossRef] [PubMed]
- Hajalilou, A.; Mazlan, S.A.; Shilan, S.T.; Abouzari-Lotf, E. Enhanced magnetorheology of soft magnetic carbonyl iron suspension with binary mixture of Ni-Zn ferrite and Fe3O4 nanoparticle additive. Colloid Polym. Sci. 2017, 295, 1499–1510. [Google Scholar] [CrossRef]
- Ruan, X.; Pei, L.; Xuan, S.; Yan, Q.; Gong, X. The rheological responds of the superparamagnetic fluid based on Fe3O4 hollow nanospheres. J. Magn. Magn. Mater. 2017, 429, 1–10. [Google Scholar] [CrossRef]
- Chae, H.S.; Kim, S.D.; Piao, S.H.; Choi, H.J. Core-shell structured Fe3O4@SiO2 nanoparticles fabricated by sol–gel method and their magnetorheology. Colloid Polym. Sci. 2016, 294, 647–655. [Google Scholar] [CrossRef]
- Cho, Y.H.; Cho, M.S.; Choi, H.J.; Jhon, M.S. Electrorheological characterization of polyaniline-coated poly(methyl methacrylate) suspensions. Colloid Polym. Sci. 2002, 11, 1062–1066. [Google Scholar]
- Jiang, W.; Zhu, H.; Guo, C.; Li, J.; Xue, Q.; Feng, J.; Gong, X. Poly(methyl methacrylate-coated carbonyl iron particles and their magnetorheological characteristics. Polym. Int. 2010, 59, 879–883. [Google Scholar] [CrossRef]
- Anupama, A.V.; Kumaran, V.; Sahoo, B. Application of monodisperse Fe3O4 submicrospheres in magnetorheological fluids. J. Ind. Eng. Chem. 2018, 67, 347–357. [Google Scholar] [CrossRef]
- Dong, Y.Z.; Choi, H.J. Synthesis of Smart Poly(diphenylamine)/Magnetic Particle Composites and Their Electric/Magnetic Stimuli-Response. Macromol. Res. 2018, 26, 667–670. [Google Scholar] [CrossRef]
- Deng, H.; Li, X.; Peng, Q.; Wang, X.; Chen, J.; Li, Y. Monodisperse magnetic single-crystal ferrite microspheres. Angew. Chem. 2005, 117, 2842–2845. [Google Scholar] [CrossRef]
- Rankin, P.J.; Horvath, A.T.; Klingenberg, D.J. Magnetorheology in viscoplastic media. Rheol. Acta 1999, 38, 471–477. [Google Scholar] [CrossRef]
- Wang, X.; Gordaninejad, F. Flow analysis of field-controllable, electro-and magneto-rheological fluids using Herschel-Bulkley model. J. Intell. Mater. Syst. Struct. 1999, 10, 601–608. [Google Scholar] [CrossRef]
- Lee, S.; Noh, J.; Hong, S.; Kim, Y.K.; Jang, J. Dual stimuli-responsive smart fluid of graphene oxide-coated iron oxide/silica core/shell nanoparticles. Chem. Mater. 2016, 28, 2624–2633. [Google Scholar] [CrossRef]
- Park, B.J.; Kim, T.H.; Choi, H.J.; Lee, J.H. Emulsion polymerized polystyrene/montmorillonite nanocomposite and its viscoelastic characteristics. J. Macromol. Sci. Part B Phys. 2007, 46, 341–354. [Google Scholar] [CrossRef]
- Emri, I.; von Bernstorff, B.S.; Cvelbar, R.; Nikonov, A. Re-examination of the approximate methods for interconversion between frequency- and time-dependent material functions. J. Non-Newton. Fluid Mech. 2005, 129, 75–84. [Google Scholar] [CrossRef]
- De Vicente, J.; Klingenberg, D.J.; Hidalgo-Alvarez, R. Magnetorheological fluids: A review. Soft Matter 2011, 7, 3701–3710. [Google Scholar] [CrossRef]












| Element | Weight% | Atomic% |
|---|---|---|
| C K | 15.11 | 31.98 |
| O K | 25.91 | 41.17 |
| Fe K | 58.98 | 26.84 |
| Total | 100 |
| Element | Weight% | Atomic% |
|---|---|---|
| C K | 29.74 | 52.30 |
| O K | 22.43 | 29.61 |
| Fe K | 47.84 | 18.09 |
| Total | 100 |
© 2019 by the authors. Licensee MDPI, Basel, Switzerland. This article is an open access article distributed under the terms and conditions of the Creative Commons Attribution (CC BY) license (http://creativecommons.org/licenses/by/4.0/).
Share and Cite
Lee, J.H.; Lu, Q.; Lee, J.Y.; Choi, H.J. Polymer-Magnetic Composite Particles of Fe3O4/Poly(o-anisidine) and Their Suspension Characteristics under Applied Magnetic Fields. Polymers 2019, 11, 219. https://doi.org/10.3390/polym11020219
Lee JH, Lu Q, Lee JY, Choi HJ. Polymer-Magnetic Composite Particles of Fe3O4/Poly(o-anisidine) and Their Suspension Characteristics under Applied Magnetic Fields. Polymers. 2019; 11(2):219. https://doi.org/10.3390/polym11020219
Chicago/Turabian StyleLee, Jin Hee, Qi Lu, Jae Yun Lee, and Hyoung Jin Choi. 2019. "Polymer-Magnetic Composite Particles of Fe3O4/Poly(o-anisidine) and Their Suspension Characteristics under Applied Magnetic Fields" Polymers 11, no. 2: 219. https://doi.org/10.3390/polym11020219
APA StyleLee, J. H., Lu, Q., Lee, J. Y., & Choi, H. J. (2019). Polymer-Magnetic Composite Particles of Fe3O4/Poly(o-anisidine) and Their Suspension Characteristics under Applied Magnetic Fields. Polymers, 11(2), 219. https://doi.org/10.3390/polym11020219

