In-Situ Synchrotron Profile Analysis after High-Pressure Torsion Deformation
Abstract
:1. Introduction
2. Materials and Methods
2.1. In Principle Considerations
2.2. Materials and Methods
2.3. Evaluation
X-ray Line Profile Analysis (XPA)
3. Results and Discussion
Loaded state: The material was deformed by high-pressure torsion to a certain strain, then the torsion was stopped but the hydrostatic pressure was maintained—experimentally, this “deformed state under pressure” was conserved by cooling down the sample with liquid nitrogen, releasing the pressure after cooling, and then keeping it cooled there until the diffraction experiment.
Unloaded state: This refers to after the hydrostatic pressure was released—the material was slowly warmed from liquid nitrogen to room temperature—the in-situ diffraction experiments investigated this phase.
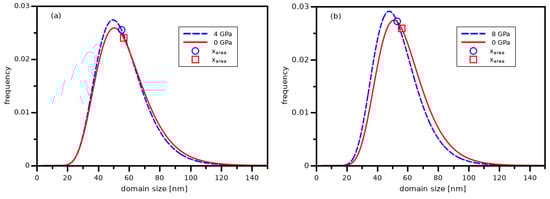
3.1. Copper
3.2. Nickel
4. Conclusions
Author Contributions
Funding
Conflicts of Interest
Abbreviations
| SPD | Severe Plastic Deformation |
| HPT | High pressure Torsion |
| XPA | X-ray Profile Analysis |
| CSD | Coherent Scattering Domain |
| CMWP | Concolutional Multiple Whole Profile analysis |
References
- Zehetbauer, M.; Stuewe, H.; Vorhauer, A.; Schafler, E.; Kohout, J. The role of hydrostatic pressure in severe plastic deformation. Adv. Eng. Mater. 2003, 5, 330–337. [Google Scholar] [CrossRef]
- Zehetbauer, M. Cold Workhardenin in Stages IV and V of f.c.f. Metals - II. Model Fits and Physical Results. Acta Metall. Mater. 1993, 41, 589–599. [Google Scholar] [CrossRef]
- Zehetbauer, M. Effects of non-equilibrium vacancies on strengthening. Key Eng. Mater. 1994, 97–98, 287–306. [Google Scholar] [CrossRef]
- Zehetbauer, M.; Les, P. Micromechanisms of plastic deformation in metals. Kov. Mater. 1998, 36, 153–161. [Google Scholar]
- Schafler, E. Effects of releasing the hydrostatic pressure on the nanostructure after severe plastic deformation of Cu. Scr. Mater. 2010, 62, 423–426. [Google Scholar] [CrossRef]
- Schafler, E. Strength response upon pressure release after high pressure torsion deformation. Scr. Mater. 2011, 64, 130–132. [Google Scholar] [CrossRef]
- Schafler, E. Effect of Hydrostatic Pressure on the Microstructure and Mechanical Properties during and after High Pressure Torsion. Mater. Sci. For. 2011, 667–669, 657–664. [Google Scholar] [CrossRef]
- Wollenberger, H. Point defects. In Physical Metalurgy; Cahn, R., Haasen, P., Eds.; Elsevier: Amsterdam, The Netherlands, 1983; Chapter 17; pp. 1139–1221. [Google Scholar]
- Wollenberger, H. Point defects. In Physical Metalurgy; Cahn, R., Haasen, P., Eds.; Elsevier: Amsterdam, The Netherlands, 1996; Chapter 18; pp. 1621–1721. [Google Scholar]
- Sassa, K.; Petry, W.; Vogl, G. The nature of point defects in plastically deformed aluminium. Philos. Mag. A 1983, 48, 41–61. [Google Scholar] [CrossRef]
- Warren, B. X-ray measurement of grain size. J. Appl. Phys. 1960, 31, 2237–2239. [Google Scholar] [CrossRef]
- Warren, B.E.; Averbach, B.L. The effect of cold-work distortion on x-ray patterns. J. Appl. Phys. 1950, 21, 595–599. [Google Scholar] [CrossRef]
- Warren, B.; Averbach, B. The separation of stacking fault broadening in cold-worked metals. J. Appl. Phys. 1952, 23, 1059. [Google Scholar] [CrossRef]
- Groma, I.; Ungár, T.; Wilkens, M. Asymmetric X-ray Line Broadening of Plastically Deformed Crystals. I. Theory. J. Appl. Crystallogr. 1988, 21, 47–53. [Google Scholar] [CrossRef]
- Ungár, T.; Groma, I.; Wilkens, M. Asymmetric X-ray Line Broadening of Plastically Deformed Crystals. II. Evaluation Procedure and Application to [001]-Cu Crystals. J. Appl. Crystallogr. 1989, 22, 26–34. [Google Scholar] [CrossRef]
- Balogh, L.; Ribárik, G.; Ungár, T. Stacking faults and twin boundaries in fcc crystals determined by X-ray diffraction profile analysis. J. Appl. Phys. 2006, 100, 023512. [Google Scholar] [CrossRef]
- Dragomir, I.; Ungár, T. Contrast factors of dislocations in the hexagonal crystal system. J. Appl. Cryst. 2002, 35, 556–564. [Google Scholar] [CrossRef]
- Ungár, T.; Dragomir, I.; Revesz, A.; Borbely, A. The contrast factors of dislocations in cubic crystals: The dislocation model of strain anisotropy in practice. J. Appl. Crystallogr. 1999, 32, 992–1002. [Google Scholar] [CrossRef]
- Ungár, T.; Gubicza, J.; Ribárik, G.; Borbély, A. Crystallite size distribution and dislocation structure determined by diffraction profile analysis: Principles and practical application to cubic and hexagonal crystals. J. Appl. Crystallogr. 2001, 34, 298–310. [Google Scholar] [CrossRef]
- Scardi, P.; Leoni, M. Whole powder pattern modelling. Acta Crystallogr. A 2002, 58, 190–200. [Google Scholar] [CrossRef] [PubMed]
- Ribárik, G.; Gubicza, J.; Ungár, T. Correlation between strength and microstructure of ball-milled Al–Mg alloys determined by X-ray diffraction. Mater. Sci. Eng. A 2004, 387–389, 343–347. [Google Scholar] [CrossRef]
- Kerber, M.; Zehetbauer, M.; Schafler, E.; Spieckermann, F.; Bernstorff, S.; Ungar, T. X-ray Line Profile Analysis—An Ideal Tool to Quantify Structural Parameters of Nanomaterials. JOM 2011, 63, 61–70. [Google Scholar] [CrossRef]
- Williamson, G.K.; Hall, W.H. X-ray line broadening from filed Aluminium and Wolfram. Acta Metall. 1953, 1, 22–31. [Google Scholar] [CrossRef]
- Ungár, T.; Borbely, A. The effect of dislocation contrast on X-ray line broadening: A new approach to line profile analysis. Appl. Phys. Lett. 1996, 69, 3173–3175. [Google Scholar] [CrossRef]
- Setman, D.; Schafler, E.; Korznikova, E.; Zehetbauer, M. The presence and nature of vacancy type defects in nanometals detained by severe plastic deformation. Mater. Sci. Eng. A 2008, 493, 116–122. [Google Scholar] [CrossRef]
- Setman, D.; Kerber, M.; Schafler, E.; Zehetbauer, M. Activation Enthalpies of deformation induced lattice defects in SPD nanometals measured by Differential Scanning Calorimetry. Metall. Mater. Trans. A 2010, 41, 810–815. [Google Scholar] [CrossRef]
- Hinds, W. Aerosol Technology: Properties, Behavior and Measurement of Airbone Particles; Whiley: New York, NY, USA, 1982. [Google Scholar]
- Kilmametov, A.; Vaughan, G.; Yavari, A.; LeMoulec, A.; Botta, W.; Valiev, R. Microstructure evolution in copper under severe plastic deformation detected by in situ X-ray diffraction using monochromatic synchrotron light. Mater. Sci. Eng. A 2009, 503, 10–13. [Google Scholar] [CrossRef]
- Chung, D.; Buessem, W. The Elastic Anisotropy of Crystals. J. Appl. Phys. 1967, 38, 2010–2012. [Google Scholar] [CrossRef]
- Zehetbauer, M.; Ungar, T.; Kral, R.; Borbely, A.; Schafler, E.; Ortner, B.; Amenitsch, H.; Bernstorff, S. Scanning X-ray diffraction peak profile analysis in deformed Cu-polycrystals by synchrotron radiation. Acta Mater. 1999, 47, 1053–1061. [Google Scholar] [CrossRef]
- Schafler, E.; Zehetbauer, M.; Kopacz, I.; Ungar, T.; Hanak, P.; Amenitsch, H.; Bernstorff, S. Microstructural parameters in large strain deformed Ni polycrystals as investigated by synchrotron radiation. Phys. Status Solidi (A) Appl. Res. 1999, 175, 501–511. [Google Scholar] [CrossRef]







© 2019 by the authors. Licensee MDPI, Basel, Switzerland. This article is an open access article distributed under the terms and conditions of the Creative Commons Attribution (CC BY) license (http://creativecommons.org/licenses/by/4.0/).
Share and Cite
Kerber, M.; Spieckermann, F.; Schuster, R.; Joni, B.; Schell, N.; Schafler, E. In-Situ Synchrotron Profile Analysis after High-Pressure Torsion Deformation. Crystals 2019, 9, 232. https://doi.org/10.3390/cryst9050232
Kerber M, Spieckermann F, Schuster R, Joni B, Schell N, Schafler E. In-Situ Synchrotron Profile Analysis after High-Pressure Torsion Deformation. Crystals. 2019; 9(5):232. https://doi.org/10.3390/cryst9050232
Chicago/Turabian StyleKerber, Michael, Florian Spieckermann, Roman Schuster, Bertalan Joni, Norbert Schell, and Erhard Schafler. 2019. "In-Situ Synchrotron Profile Analysis after High-Pressure Torsion Deformation" Crystals 9, no. 5: 232. https://doi.org/10.3390/cryst9050232
APA StyleKerber, M., Spieckermann, F., Schuster, R., Joni, B., Schell, N., & Schafler, E. (2019). In-Situ Synchrotron Profile Analysis after High-Pressure Torsion Deformation. Crystals, 9(5), 232. https://doi.org/10.3390/cryst9050232

