The Influence of Conductive Nanodomain Walls on the Photovoltaic Effect of BiFeO3 Thin Films
Abstract
:1. Introduction
2. Experimental Details
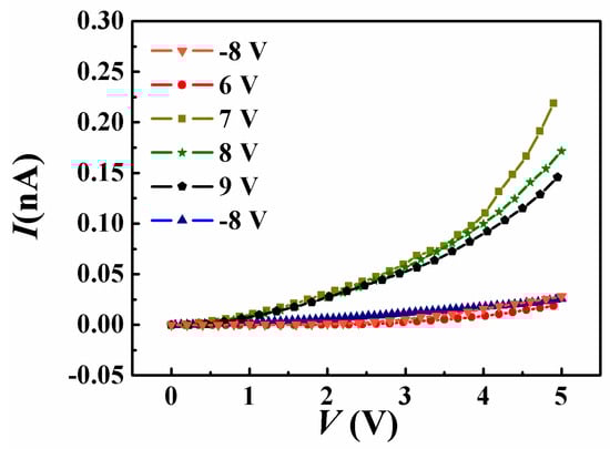
3. Results and Discussion
4. Conclusions
Acknowledgments
Author Contributions
Conflicts of Interest
References
- Xing, J.; Guo, E.; Dong, J.; Hao, H.; Zheng, Z.; Zhao, C. High-sensitive switchable photodetector based on BiFeO3 film with in-plane polarization. Appl. Phys. Lett. 2015, 106, 033504. [Google Scholar] [CrossRef]
- Lotey, G.S.; Verma, N.K. Gd-doped BiFeO3 nanoparticlesv—A novel material for highly efficient dye-sensitized solar cells. Chem. Phys. Lett. 2013, 574, 71–77. [Google Scholar] [CrossRef]
- Keskin, V.; Gupta, A.; Szulczewski, G. Solution processed TiO2/BiFeO3/poly(3-hexylthiophene) solar cells. Mater. Lett. 2015, 159, 305–308. [Google Scholar] [CrossRef]
- Guo, R.; You, L.; Zhou, Y.; Lim, Z.S.; Zou, X.; Chen, L.D.; Ramesh, R.; Wang, J. Non-volatile memory based on the ferroelectric photovoltaic effect. Nat. Commun. 2013, 4, 1990. [Google Scholar] [CrossRef]
- Katiyar, R.K.; Misra, P.; Sahoo, S.; Morell, G.; Katiyar, R.S. Enhanced photoresponse in BiFeO3/SrRuO3 heterostructure. J. Alloy. Compd. 2014, 609, 168–172. [Google Scholar] [CrossRef]
- Ihlefeld, J.F.; Podraza, N.J.; Liu, Z.K.; Rai, R.C.; Xu, X.; Heeg, T.; Chen, Y.B.; Li, J.; Collins, R.W.; Musfeldt, J.L. Optical band gap of BiFeO3 grown by molecular-beam epitaxy. Appl. Phys. Lett. 2008, 92, 142908. [Google Scholar] [CrossRef]
- Hauser, A.J.; Zhang, J.; Mier, L.; Ricciardo, R.A.; Woodward, P.M.; Gustafson, T.L.; Brillson, L.J.; Yang, F.Y. Characterization of electronic structure and defect states of thin epitaxial BiFeO3 films by UV-visible absorption and cathodoluminescence spectroscopies. Appl. Phys. Lett. 2008, 92, 222901. [Google Scholar] [CrossRef]
- Clark, S.J.; Robertson, J. Energy levels of oxygen vacancies in BiFeO3 by screened exchange. Appl. Phys. Lett. 2009, 94, 022902. [Google Scholar] [CrossRef]
- Ji, W.; Yao, K.; Liang, Y.C. Bulk Photovoltaic Effect at Visible Wavelength in Epitaxial Ferroelectric BiFeO3 Thin Films. Adv. Mater. 2010, 22, 1763–1766. [Google Scholar] [CrossRef]
- Matsuo, H.; Kitanaka, Y.; Inoue, R.; Noguchi, Y.; Miyayama, M. Cooperative effect of oxygen-vacancy-rich layer and ferroelectric polarization on photovoltaic properties in BiFeO3 thin film capacitors. Appl. Phys. Lett. 2016, 108, 32901. [Google Scholar]
- Matsuo, H.; Kitanaka, Y.; Inoue, R.; Noguchi, Y.; Miyayama, M. Switchable diode-effect mechanism in ferroelectric BiFeO3 thin film capacitors. J. Appl. Phys. 2015, 118, 114101. [Google Scholar] [CrossRef]
- Nakashima, S.; Uchida, T.; Nakayama, D.; Fujisawa, H.; Kobune, M.; Shimizu, M. Bulk photovoltaic effect in a BiFeO3 thin film on a SrTiO3 substrate. Jpn. J. Appl. Phys. 2014, 53, 09PA16. [Google Scholar] [CrossRef]
- Nakashima, S.; Uchida, T.; Takayama, K.; Fujisawa, H.; Shimizu, M. Influence of the polarization direction of light on the anomalous photovoltaic effect in BiFeO3 thin films. J. Korean Phys. Soc. 2015, 66, 1389–1393. [Google Scholar] [CrossRef]
- Bhatnagar, A.; Chaudhuri, A.R.; Kim, Y.H.; Hesse, D.; Alexe, M. Role of domain walls in the abnormal photovoltaic effect in BiFeO3. Nat. Commun. 2013, 4, 2835. [Google Scholar] [CrossRef]
- Yang, S.Y.; Seidel, J.; Byrnes, S.; Shafer, P.; Yang, C.H.; Rossell, M.D.; Yu, P.; Chu, Y.H.; Scott, J.F.; Ager, J.W. Above-bandgap voltages from ferroelectric photovoltaic devices. Nat. Nanotechnol. 2010, 5, 143–147. [Google Scholar] [CrossRef] [PubMed]
- Lee, D.; Baek, S.H.; Kim, T.H.; Yoon, J.G.; Folkman, C.M.; Eom, C.B.; Noh, T.W. Polarity control of carrier injection at ferroelectric/metal interfaces for electrically switchable diode and photovoltaic effects. Phys. Rev. B 2011, 84, 12. [Google Scholar] [CrossRef]
- Baek, S.H.; Jang, H.W.; Folkman, C.M.; Li, Y.L.; Winchester, B.; Zhang, J.; He, Q.; Chu, Y.; Nelson, C.T.; Rzchowski, M.S. Ferroelastic switching for nanoscale non-volatile magnetoelectric devices. Nat. Mater. 2010, 9, 309–314. [Google Scholar] [CrossRef] [PubMed]
- Johann, F.; Morelli, A.; Biggemann, D.; Arredondo, M.; Vrejoiu, I. Epitaxial strain and electric boundary condition effects on the structural and ferroelectric properties of BiFeO3 films. Phys. Rev. B 2011, 84, 094105. [Google Scholar] [CrossRef]
- Yi, H.T.; Choi, T.; Choi, S.G.; Oh, Y.S.; Cheong, S.W. Mechanism of the switchable photovoltaic effect in ferroelectric BiFeO3. Adv. Mater. 2011, 23, 3403–3407. [Google Scholar] [CrossRef] [PubMed]
- Wang, C.; Jin, K.; Xu, Z.; Wang, L.; Ge, C.; Lu, H.; Guo, H.; He, M.; Yang, G. Switchable diode effect and ferroelectric resistive switching in epitaxial BiFeO3 thin films. Appl. Phys. Lett. 2011, 98, 192901–192903. [Google Scholar] [CrossRef]
- Zhao, L.; Lu, Z.; Zhang, F.; Guo, T.; Xiao, S.; Li, Z.; Huang, K.; Zhang, Z.; Qin, M.; Wu, S.J. Current rectifying and resistive switching in high density BiFeO3 nanocapacitor arrays on Nb-SrTiO3 substrates. Sci. Rep. 2014, 5, 9680. [Google Scholar] [CrossRef] [PubMed]
- Maksymovych, P.; Jesse, S.; Yu, P.; Ramesh, R.; Baddorf, A.P.; Kalinin, S.V. Polarization control of electron tunneling into ferroelectric surfaces. Science 2009, 324, 1421–1425. [Google Scholar] [CrossRef] [PubMed]
- Maksymovych, P.; Seidel, J.; Chu, Y.H.; Wu, P.; Baddorf, A.P.; Chen, L.Q.; Kalinin, S.V.; Ramesh, R. Dynamic Conductivity of Ferroelectric Domain Walls in BiFeO3. Nano Lett. 2011, 11, 1906–1912. [Google Scholar] [CrossRef] [PubMed]
- Jiang, A.Q.; Wang, C.; Jin, K.J.; Liu, X.B.; Scott, J.F.; Hwang, C.S.; Tang, T.A.; Lu, H.B.; Yang, G.Z. A resistive memory in semiconducting BiFeO₃ thin-film capacitors. Adv. Mater. 2011, 23, 1277–1281. [Google Scholar] [CrossRef] [PubMed]
- Farokhipoor, S.; Noheda, B. Conduction through 71° domain walls in BiFeO3 thin films. Phys. Rev. Lett. 2011, 107, 127601. [Google Scholar] [CrossRef] [PubMed]




© 2017 by the authors. Licensee MDPI, Basel, Switzerland. This article is an open access article distributed under the terms and conditions of the Creative Commons Attribution (CC BY) license ( http://creativecommons.org/licenses/by/4.0/).
Share and Cite
Bai, Z.; Zhang, Y.; Guo, H.; Jiang, A. The Influence of Conductive Nanodomain Walls on the Photovoltaic Effect of BiFeO3 Thin Films. Crystals 2017, 7, 81. https://doi.org/10.3390/cryst7030081
Bai Z, Zhang Y, Guo H, Jiang A. The Influence of Conductive Nanodomain Walls on the Photovoltaic Effect of BiFeO3 Thin Films. Crystals. 2017; 7(3):81. https://doi.org/10.3390/cryst7030081
Chicago/Turabian StyleBai, Zilong, Yan Zhang, Huizhen Guo, and Anquan Jiang. 2017. "The Influence of Conductive Nanodomain Walls on the Photovoltaic Effect of BiFeO3 Thin Films" Crystals 7, no. 3: 81. https://doi.org/10.3390/cryst7030081
APA StyleBai, Z., Zhang, Y., Guo, H., & Jiang, A. (2017). The Influence of Conductive Nanodomain Walls on the Photovoltaic Effect of BiFeO3 Thin Films. Crystals, 7(3), 81. https://doi.org/10.3390/cryst7030081
