Synthesis and Characterization of [Co(tta)2(4,4′-bipy)2.CHCl3]n: A Coordination Polymer with Sulfur–Sulfur Interactions
Abstract
1. Introduction
2. Materials and Methods
2.1. General Remarks
2.2. Physical Measurements
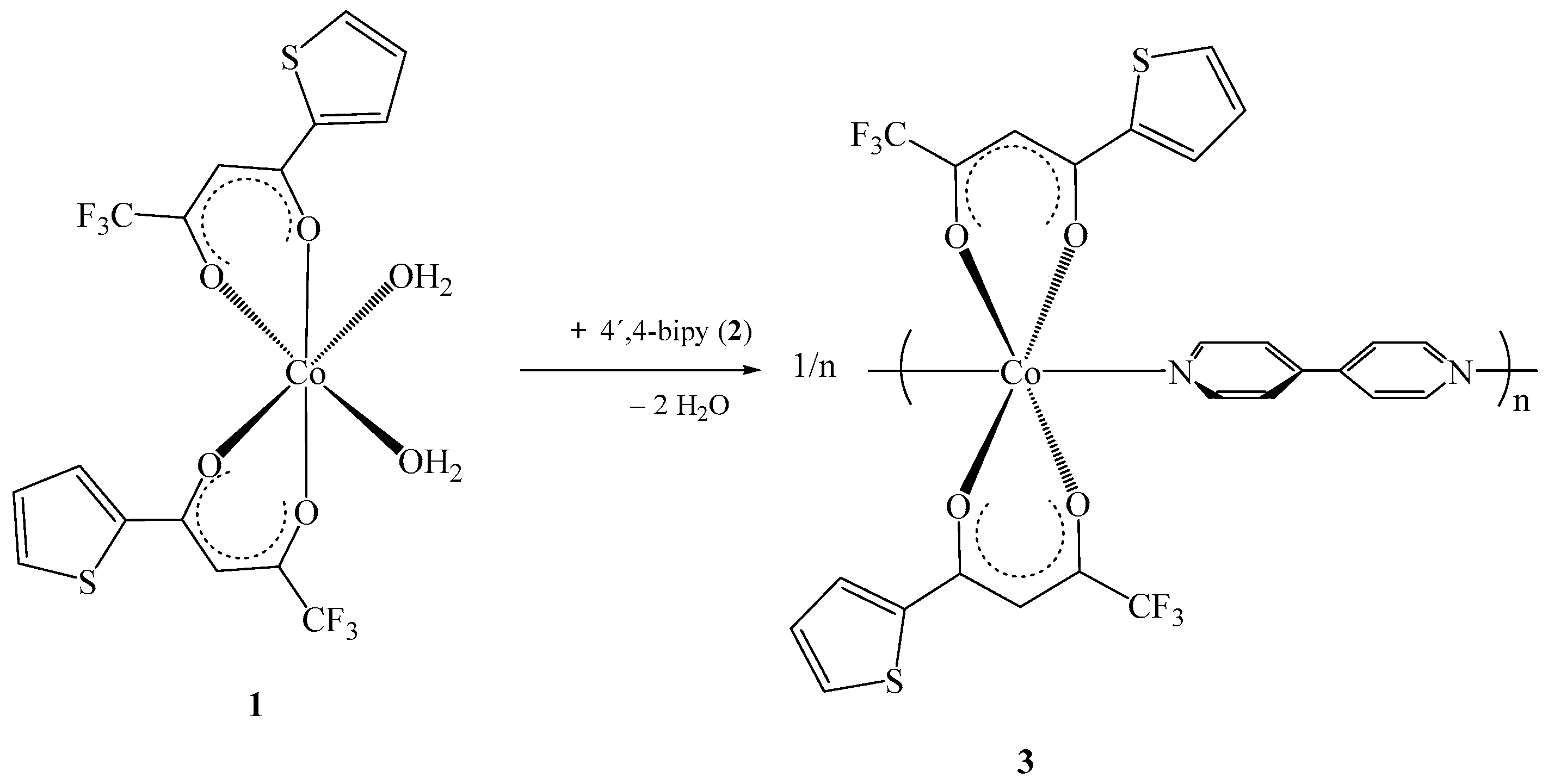
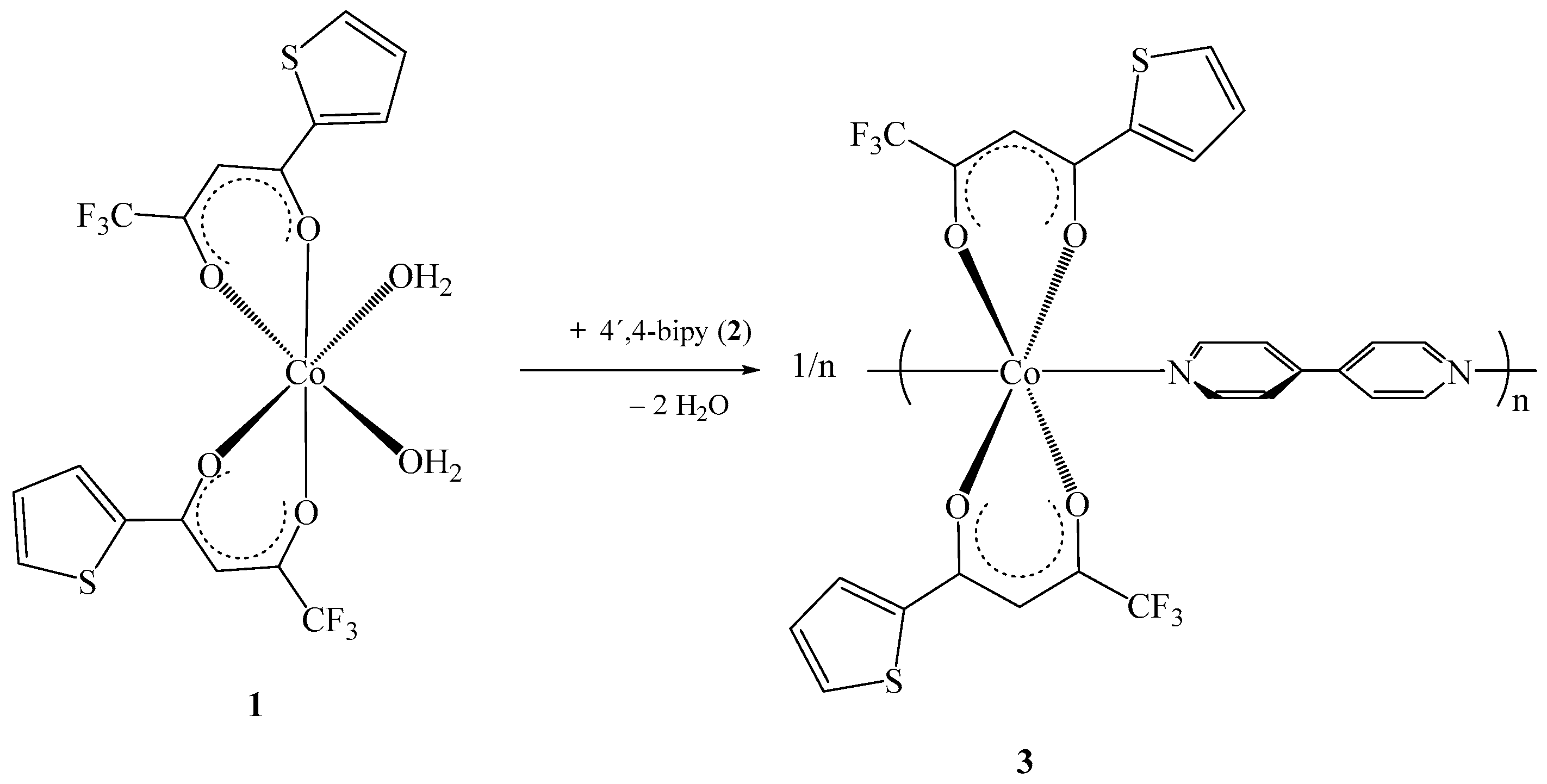
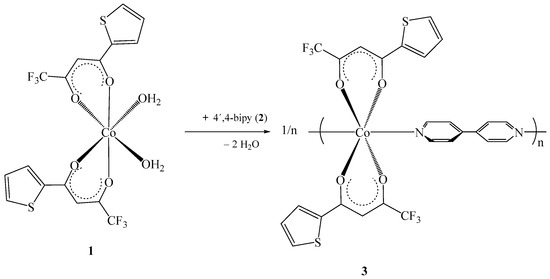
2.3. Synthesis of [{Co(tta)2(4,4′-bipy)}n] (1)
2.4. Crystal Structure of [Co(tta)2(4,4′-bipy)2.CHCl3]n (1)
3. Results
4. Discussion
Solid-State Structure of 1
5. Conclusions
Supplementary Materials
Author Contributions
Funding
Data Availability Statement
Acknowledgments
Conflicts of Interest
Correction Statement
References
- Bourne, S.A.; Lu, J.; Mondal, A.; Moulton, B.; Zaworotko, M.J. Self-Assembly of Nanometer-Scale Secondary Building Units into an Undulating Two-Dimensional Network with Two Types of Hydrophobic Cavity. Angew. Chem. Int. Ed. 2001, 40, 2111–2113. [Google Scholar] [CrossRef]
- Holliday, B.J.; Mirkin, C.A. Strategies for the Construction of Supramolecular Compounds through Coordination Chemistry. Angew. Chem. Int. Ed. 2001, 40, 2022–2043. [Google Scholar] [CrossRef]
- Yaghi, O.M.; Li, H.; Davis, C.; Richardson, D.; Groy, T.L. Synthetic Strategies, Structure Patterns, and Emerging Properties in the Chemistry of Modular Porous Solids. Acc. Chem. Res. 1998, 31, 474–484. [Google Scholar] [CrossRef]
- Zhang, J.-P.; Chen, X.-M. Crystal Engineering of Binary Metal Imidazolate and Triazolate Frameworks. Chem. Commun. 2006, 16, 1689–1699. [Google Scholar] [CrossRef]
- Ockwig, N.W.; Delgado-Friedrichs, O.; O’Keeffe, M.; Yaghi, O.M. Reticular Chemistry: Occurrence and Taxonomy of Nets and Grammar for the Design of Frameworks. Acc. Chem. Res. 2005, 38, 176–182. [Google Scholar] [CrossRef] [PubMed]
- Rowsell, J.L.C.; Yaghi, O.M. Strategies for Hydrogen Storage in Metal–Organic Frameworks. Angew. Chem. Int. Ed. 2005, 44, 4670–4679. [Google Scholar] [CrossRef]
- Kitagawa, S.; Kitaura, R.; Noro, S. Functional Porous Coordination Polymers. Angew. Chem. Int. Ed. 2004, 43, 2334–2375. [Google Scholar] [CrossRef]
- Rao, C.N.R.; Natarajan, S.; Vaidhyanathan, R. Metal Carboxylates with Open Architectures. Angew. Chem. Int. Ed. 2004, 43, 1466–1496. [Google Scholar] [CrossRef] [PubMed]
- MacGillivray, L.R.; Atwood, J.L. Structural Classification and General Principles for the Design of Spherical Molecular Hosts. Angew. Chem. Int. Ed. 1999, 38, 1018–1033. [Google Scholar] [CrossRef]
- Stang, P.J.; Olenyuk, B. Self-Assembly, Symmetry, and Molecular Architecture: Coordination as the Motif in the Rational Design of Supramolecular Metallacyclic Polygons and Polyhedra. Acc. Chem. Res. 1997, 30, 502–518. [Google Scholar] [CrossRef]
- Swiegers, G.F.; Malefetse, T.J. New Self-Assembled Structural Motifs in Coordination Chemistry. Chem. Rev. 2000, 100, 3483–3538. [Google Scholar] [CrossRef] [PubMed]
- Burrows, A.D. The Chemistry of Metal–Organic Frameworks. Synthesis, Characterization, and Applications, 2 Volumes. Edited by Stefan Kaskel. Angew. Chem. Int. Ed. 2017, 56, 1449. [Google Scholar] [CrossRef]
- Kirchon, A.; Feng, L.; Drake, H.F.; Joseph, E.A.; Zhou, H.-C. From Fundamentals to Applications: A Toolbox for Robust and Multifunctional MOF Materials. Chem. Soc. Rev. 2018, 47, 8611–8638. [Google Scholar] [CrossRef]
- Kang, Y.-S.; Lu, Y.; Chen, K.; Zhao, Y.; Wang, P.; Sun, W.-Y. Metal–Organic Frameworks with Catalytic Centers: From Synthesis to Catalytic Application. Coord. Chem. Rev. 2019, 378, 262–280. [Google Scholar] [CrossRef]
- D’souza, L.R.; Harmalkar, N.N.; Harmalkar, S.S.; Tayade, S.B.; Dhuri, S.N. Construction of Pyrazine-Appended 1D and 3D Cobalt(II) Succinate Coordination Polymers: Influence of Solvent on Architectures and Applications in Gas Adsorption and NAC Detection. ACS Omega 2022, 7, 5698–5712. [Google Scholar] [CrossRef]
- Noro, S.; Kitagawa, S.; Akutagawa, T.; Nakamura, T. Coordination Polymers Constructed from Transition Metal Ions and Organic N-Containing Heterocyclic Ligands: Crystal Structures and Microporous Properties. Prog. Polym. Sci. 2009, 34, 240–279. [Google Scholar] [CrossRef]
- Lu, J.; Yu, C.; Niu, T.; Paliwala, T.; Crisci, G.; Somosa, F.; Jacobson, A.J. One-Dimensional Coordination Polymers of Cobalt with 4,4′-Bipyridine: Syntheses and Structures. Inorg. Chem. 1998, 37, 4637–4640. [Google Scholar] [CrossRef]
- Zhao, Z.; He, X.; Zhao, Y.; Shao, M.; Zhu, S. Coordination Polymer Based on Cu(Ii), Co(Ii) and 4,4′-Bipyridine-2,6,2′,6′-Tetracarboxylate: Synthesis, Structure and Adsorption Properties. Dalton Trans. 2009, 15, 2802–2811. [Google Scholar] [CrossRef]
- Sánchez-Férez, F.; Calvet, T.; Font-Bardia, M.; Pons, J. Cu(II) Coordination Polymers with 4,4′-Bipyridine. Synthesis and Crystal Structures. J. Mol. Struct. 2021, 1235, 130219. [Google Scholar] [CrossRef]
- Papi, F.; Rosado, A.; Vallcorba, O.; Lanza, A.E.; Gemmi, M.; Portolés-Gil, N.; López-Periago, A.M.; Domingo, C.; Ayllón, J.A. Supramolecular Isomerism in Cobalt(II) Coordination Polymers Built from 3,5-Bis(trifluoromethyl)Benzoate and 4,4′-Bipyridine. Cryst. Growth Des. 2022, 22, 4463–4471. [Google Scholar] [CrossRef]
- Parsaei, M.; Akhbari, K.; White, J. Synthesis, Characterization and Comprehensive Study of a 3D Co(II) Coordination Polymer Antibacterial Activity. J. Mol. Struct. 2023, 1283, 135224. [Google Scholar] [CrossRef]
- Hu, M.; Zhang, J.; Tian, F.; Yan, W.; Tang, J.; Chen, Z.; Liang, W.; Shi, D.; Chen, D. Cu(I)-4,4′-Bipyridine Coordination Polymer for Photocatalytic H2 Generation. J. Mol. Struct. 2024, 1301, 137332. [Google Scholar] [CrossRef]
- Liu, D.; Poon, C.; Lu, K.; He, C.; Lin, W. Self-Assembled Nanoscale Coordination Polymers with Trigger Release Properties for Effective Anticancer Therapy. Nat. Commun. 2014, 5, 4182. [Google Scholar] [CrossRef] [PubMed]
- Desiraju, G.R. Supramolecular Synthons in Crystal Engineering—A New Organic Synthesis. Angew. Chem. Int. Ed. Engl. 1995, 34, 2311–2327. [Google Scholar] [CrossRef]
- Batten, S.R.; Robson, R. Interpenetrating Nets: Ordered, Periodic Entanglement. Angew. Chem. Int. Ed. 1998, 37, 1460–1494. [Google Scholar] [CrossRef]
- Kuroda-Sowa, T.; Horino, T.; Yamamoto, M.; Ohno, Y.; Maekawa, M.; Munakata, M. Structural Control of Copper(I) Coordination Polymers: Construction of One-, Two-, and Three-Dimensional Frameworks of Tetrahedral Copper(I) Ions Bridged by Dicyanobenzene Derivatives. Inorg. Chem. 1997, 36, 6382–6389. [Google Scholar] [CrossRef]
- Fujita, M.; Kwon, Y.J.; Washizu, S.; Ogura, K. Preparation, Clathration Ability, and Catalysis of a Two-Dimensional Square Network Material Composed of Cadmium(II) and 4,4′-Bipyridine. J. Am. Chem. Soc. 1994, 116, 1151–1152. [Google Scholar] [CrossRef]
- Lu, J.; Paliwala, T.; Lim, S.C.; Yu, C.; Niu, T.; Jacobson, A.J. Coordination Polymers of Co(NCS)2 with Pyrazine and 4,4′-Bipyridine: Syntheses and Structures. Inorg. Chem. 1997, 36, 923–929. [Google Scholar] [CrossRef]
- Munakata, M.; Ning, G.L.; Kuroda-Sowa, T.; Maekawa, M.; Suenaga, Y.; Horino, T. Construction of Copper(I) Coordination Polymers of 1,2,4,5-Tetracyanobenzene with Zigzag Sheet and Porous Frameworks. Inorg. Chem. 1998, 37, 5651–5656. [Google Scholar] [CrossRef]
- Liu, B.; Rocca, D.; Yan, H.; Pan, D. Beyond Conformational Control: Effects of Noncovalent Interactions on Molecular Electronic Properties of Conjugated Polymers. JACS Au 2021, 1, 2182–2187. [Google Scholar] [CrossRef] [PubMed]
- Novikov, A.S. Non-Covalent Interactions in Polymers. Polymers 2023, 15, 1139. [Google Scholar] [CrossRef]
- O’Donnell, A.D.; Salimi, S.; Hart, L.R.; Babra, T.S.; Greenland, B.W.; Hayes, W. Applications of Supramolecular Polymer Networks. React. Funct. Polym. 2022, 172, 105209. [Google Scholar] [CrossRef]
- Lundberg, D.J.; Brown, C.M.; Bobylev, E.O.; Oldenhuis, N.J.; Alfaraj, Y.S.; Zhao, J.; Kevlishvili, I.; Kulik, H.J.; Johnson, J.A. Nested Non-Covalent Interactions Expand the Functions of Supramolecular Polymer Networks. Nat. Commun. 2024, 15, 3951. [Google Scholar] [CrossRef] [PubMed]
- Buaksuntear, K.; Limarun, P.; Suethao, S.; Smitthipong, W. Non-Covalent Interaction on the Self-Healing of Mechanical Properties in Supramolecular Polymers. Int. J. Mol. Sci. 2022, 23, 6902. [Google Scholar] [CrossRef] [PubMed]
- Maverick, A.W.; Fronczek, F.R.; Maverick, E.F.; Billodeaux, D.R.; Cygan, Z.T.; Isovitsch, R.A. Structures of Anhydrous and Hydrated Copper(II) Hexafluoroacetylacetonate. Inorg. Chem. 2002, 41, 6488–6492. [Google Scholar] [CrossRef]
- Tabellion, F.M.; Seidel, S.R.; Arif, A.M.; Stang, P.J. Discrete Supramolecular Architecture vs Crystal Engineering: The Rational Design of a Platinum-Based Bimetallic Assembly with a Chairlike Structure and Its Infinite, Copper Analogue. J. Am. Chem. Soc. 2001, 123, 7740–7741. [Google Scholar] [CrossRef] [PubMed]
- Soldatov, D.V.; Ripmeester, J.A. Inclusion in Microporous β-Bis(1,1,1-Trifluoro-5,5-Dimethyl-5-Methoxyacetylacetonato)Copper(II), an Organic Zeolite Mimic. Chem. Mater. 2000, 12, 1827–1839. [Google Scholar] [CrossRef]
- Horikoshi, R.; Mochida, T.; Moriyama, H. Coordination Polymers from M(Hfac)2 [M = Cu II, Mn II] and 4,4′-Dipyridyldisulfide. Inorg. Chem. 2001, 40, 2430–2433. [Google Scholar] [CrossRef]
- Aakeröy, C.B.; Schultheiss, N.; Desper, J. Directed Supramolecular Assembly of Infinite 1-D M(II)-Containing Chains (M = Cu, Co, Ni) Using Structurally Bifunctional Ligands. Inorg. Chem. 2005, 44, 4983–4991. [Google Scholar] [CrossRef]
- Yoshida, J.; Nishikiori, S.; Kuroda, R. Construction of Supramolecular Complexes by Use of Planar Bis(β-Diketonato)Cobalt(II) Complexes as Building Blocks. Chem. Lett. 2007, 36, 678–679. [Google Scholar] [CrossRef]
- Ahmed, M.A.K.; Fjellvåg, H.; Kjekshus, A.; Dietzel, P.D.C. Mixed Ligand Complexes of Cobalt(II)—Synthesis, Structure, and Properties of Co4(thd)4(OEt)4. Z. Für Anorg. Allg. Chem. 2007, 633, 1371–1381. [Google Scholar] [CrossRef]
- Wang, S.; Zheng, J.-C.; Hall, J.R.; Thompson, L.K. Crystal Structure and Magnetic Properties of a Cubane-Type Copper Compound [CuII(2,2,6,6-Tetramethyl-3,5-Heptanedionato)(Ethoxo)]4. Polyhedron 1994, 13, 1039–1044. [Google Scholar] [CrossRef]
- Ginsberg, A.P.; Bertrand, J.A.; Kaplan, R.I.; Kirkwood, C.E.; Martin, R.L.; Sherwood, R.C. Magnetic Exchange in Transition Metal Complexes. V. Ferromagnetic Spin Coupling in a Tetranuclear Nickel(II) Cluster. Inorg. Chem. 1971, 10, 240–246. [Google Scholar] [CrossRef]
- Berry, J.F.; Cotton, F.A.; Liu, C.Y.; Lu, T.; Murillo, C.A.; Tsukerblat, B.S.; Villagrán, D.; Wang, X. Modeling Spin Interactions in a Cyclic Trimer and a Cuboidal Co4O4 Core with Co(II) in Tetrahedral and Octahedral Environments. J. Am. Chem. Soc. 2005, 127, 4895–4902. [Google Scholar] [CrossRef]
- Kessler, V.G.; Gohil, S.; Parola, S. Interaction of Some Divalent Metal Acetylacetonates with Al, Ti, Nb and Ta Isopropoxides. Factors Influencing the Formation and Stability of Heterometallic Alkoxide complexes. Dalton Trans. 2003, 4, 544–550. [Google Scholar] [CrossRef]
- Brewer, G.A.; Sinn, E. Heterobinuclear Adducts of Copper Tetradentate Schiff Bases with Metal Hexafluoroacetylacetonates. Inorg. Chem. 1987, 26, 1529–1535. [Google Scholar] [CrossRef]
- Ma, B.-Q.; Gao, S.; Yi, T.; Xu, G.-X. One-Dimensional Coordination Polymers [Co(Acac)2pz]n and [Co(Acac)2(4,4′-Bipy)]n (Acac=acetylacetone, Pz=pyrazine, Bipy=4,4′-Bipyridine): Synthesis, Structures and Magnetic Properties. Polyhedron 2001, 20, 1255–1261. [Google Scholar] [CrossRef]
- Chen, C.; Xu, D.; Xu, Y.; Cheng, C.; Ling, R. Structure of Catena-Poly[{(2,2’-Bipyridyl)(Diperchlorato)Copper(II)}-μ-4,4′-Bipyridyl]. Acta Crystallogr. C 1992, 48, 1231–1233. [Google Scholar] [CrossRef]
- Plater, M.J.; Foreman, M.R.S.J.; Slawin, A.M.Z. One-Dimensional Structures of Manganese(II), Copper(II) and Cobalt(II) Coordination Complexes [MnII(Hfac)2L] (Hfac=hexafluoroacetylacetonate Anion; L=4,4-Bipyridyl), [CuII(Hfac)2L] (L=1,3-Dipyridylpropane or 4,4-Bipyridyl-N,N′-Dioxide) and [CoII(Hfac)2L] (L=4,4-Bipyridyl-N,N′-Dioxide). Inorganica Chim. Acta 2000, 303, 132–136. [Google Scholar] [CrossRef]
- Xu, Y.; Shi, S. Study of Spectra and Crystal Structure of Bipyridine Bridging Cu(II) Acetylacetonate Complex[.Mu.-4,4-Bipy-Cu(Acac)2]. Acta Chim. Sin. 1986, 44, 336–342. [Google Scholar]
- Vicente, R.; Tubau, À.; Speed, S.; Mautner, F.A.; Bierbaumer, F.; Fischer, R.C.; Massoud, S.S. Slow Magnetic Relaxation and Luminescence Properties in Neodymium(iii)-4,4,4-Trifluoro-1-(2-Naphthyl)Butane-1,3-Dionato Complexes Incorporating Bipyridyl Ligands. New J. Chem. 2021, 45, 14713–14723. [Google Scholar] [CrossRef]
- Mara, D.; Artizzu, F.; Laforce, B.; Vincze, L.; Van Hecke, K.; Van Deun, R.; Kaczmarek, A.M. Novel Tetrakis Lanthanide β-Diketonate Complexes: Structural Study, Luminescence Properties and Temperature Sensing. J. Lumin. 2019, 213, 343–355. [Google Scholar] [CrossRef]
- Cen, P.; Liu, X.; Zhang, Y.-Q.; Ferrando-Soria, J.; Xie, G.; Chen, S.; Pardo, E. Modulating Magnetic Dynamics through Tailoring the Terminal Ligands in Dy2 Single-Molecule Magnets. Dalton Trans. 2020, 49, 808–816. [Google Scholar] [CrossRef]
- Al-Anber, M.; Ecorchard, P.; Rüffer, T.; Lang, H. Layers of a Cobalt(II) Thenoyl-β-Diketonato Complex by Supramolecular Recognition. Main Group Chem. 2012, 11, 205–215. [Google Scholar] [CrossRef]
- Huber, R.G.; Margreiter, M.A.; Fuchs, J.E.; Von Grafenstein, S.; Tautermann, C.S.; Liedl, K.R.; Fox, T. Heteroaromatic π-Stacking Energy Landscapes. J. Chem. Inf. Model. 2014, 54, 1371–1379. [Google Scholar] [CrossRef]
- Mori, T.; Yamaguchi, Y.; Kawata, S.; Yasuda, T. An S-Shaped Thienoacene Semiconductor Forming Unique Cruciform Lamellar Packing via a 2D Interaction Network of π-Stacking and Chalcogen Bonding. J. Mater. Chem. C 2021, 9, 13090–13093. [Google Scholar] [CrossRef]
- Murata, T.; Morita, Y.; Nakasuji, K. Pluri-Dimensional Hydrogen-Bonded Networks of Novel Thiophene-Introduced Oligo(Imidazole)s and Physical Properties of Their Charge-Transfer Complexes with TCNQ. Tetrahedron 2005, 61, 6056–6063. [Google Scholar] [CrossRef]
- Sheldrick, G.M. A Short History of SHELX. Acta Crystallogr. A 2008, 64, 112–122. [Google Scholar] [CrossRef] [PubMed]
- Taher, D.; Walfort, B.; Van Koten, G.; Lang, H. Thiol End-Capped One-Dimensional Platinum and Palladium Complexes. Inorg. Chem. Commun. 2006, 9, 955–958. [Google Scholar] [CrossRef]
- Taher, D.; Wilson, J.R.; Ritch, G.; Zeller, M.; Szymczak, N.K. Late-Stage Ligand Functionalization via the Staudinger Reaction Using Phosphine-Appended 2,2′-Bipyridine. Chem. Commun. 2021, 57, 5718–5721. [Google Scholar] [CrossRef]
- Taher, D.; Walfort, B.; Lang, H. A New Approach to Novel Homobimetallic Palladium Complexes. Inorg. Chem. Commun. 2004, 7, 1006–1009. [Google Scholar] [CrossRef]
- Taher, D.; Awwadi, F.F.; Speck, J.M.; Korb, M.; Schaarschmidt, D.; Weheabby, S.; Habashneh, A.Y.; Al-Noaimi, M.; El-Khateeb, M.; Abu-Orabi, S.T.; et al. Heterocyclic-Based Ferrocenyl Carboselenolates: Synthesis, Solid-State Structure and Electrochemical Investigations. J. Organomet. Chem. 2017, 845, 55–62. [Google Scholar] [CrossRef]
- Taher, D.; Awwadi, F.F.; Speck, J.M.; Korb, M.; Wagner, C.; Hamed, E.M.; Al-Noaimi, M.; Habashneh, A.Y.; El-khateeb, M.; Abu-Orabi, S.T.; et al. Ferrocenyl Thiocarboxylates: Synthesis, Solid-State Structure and Electrochemical Investigations. J. Organomet. Chem. 2017, 847, 59–67. [Google Scholar] [CrossRef]
- Wang, Q.; Wallis, J.D.; Wu, Y.; Pilkington, M. A Structural Investigation of Novel Thiophene-Functionalized BEDT-TTF Donors for Application as Organic Field-Effect Transistors. CrystEngComm 2014, 16, 10235–10244. [Google Scholar] [CrossRef]
- Short, J.; Blundell, T.J.; Yang, S.; Sahin, O.; Shakespeare, Y.; Smith, E.L.; Wallis, J.D.; Martin, L. Synthesis and Structures of Polyiodide Radical Cation Salts of Donors Combining Tetrathiafulvalene with Multiple Thiophene or Oligo-Thiophene Substituents. CrystEngComm 2020, 22, 6632–6644. [Google Scholar] [CrossRef]
- Pfattner, R.; Bromley, S.T.; Rovira, C.; Mas-Torrent, M. Tuning Crystal Ordering, Electronic Structure, and Morphology in Organic Semiconductors: Tetrathiafulvalenes as a Model Case. Adv. Funct. Mater. 2016, 26, 2256–2275. [Google Scholar] [CrossRef]
- Van Der Lee, A.; Roche, G.H.; Wantz, G.; Moreau, J.J.E.; Dautel, O.J.; Filhol, J.-S. Experimental and Theoretical Evidence of a Supercritical-like Transition in an Organic Semiconductor Presenting Colossal Uniaxial Negative Thermal Expansion. Chem. Sci. 2018, 9, 3948–3956. [Google Scholar] [CrossRef]
- Gholivand, K.; Farshadfar, K.; Roe, S.M.; Hosseini, M.; Gholami, A. Investigation of Structure-Directing Interactions within Copper (i) Thiocyanate Complexes through X-Ray Analyses and Non-Covalent Interaction (NCI) Theoretical Approach. CrystEngComm 2016, 18, 7104–7115. [Google Scholar] [CrossRef]
- Sarkisov, L.; Harrison, A. Computational Structure Characterisation Tools in Application to Ordered and Disordered Porous Materials. Mol. Simul. 2011, 37, 1248–1257. [Google Scholar] [CrossRef]
- Taher, D.; Klaib, S.; Korb, M.; Assaf, K.I.; Rheinwald, G.; Lang, H. [Ti{η5-1-(SiMe3)-3-(R)-C9H5}Cl2(OEt)] Half-Sandwich Complexes: Synthesis, Solid-State Structure, Hirshfeld Surface Analysis and Theoretical Studies. J. Mol. Struct. 2024, 1312, 138510. [Google Scholar] [CrossRef]
- Awwadi, F.F.; Taher, D.; Haddad, S.F.; Turnbull, M.M. Competition between Hydrogen and Halogen Bonding Interactions: Theoretical and Crystallographic Studies. Cryst. Growth Des. 2014, 14, 1961–1971. [Google Scholar] [CrossRef]
- Taher, D.; Awwadi, F.F.; Al-Noaimi, M.; Khader, L.K.; Juwhari, H.K.; Amarne, H.; Kailani, M.H.; Ibdah, A. Bis(N,N′-Substituted Oxamate) Zincate(II) Complexes: Synthesis, Spectroscopy, Solid State Structure and DFT Calculations. Inorganica Chim. Acta 2019, 487, 409–418. [Google Scholar] [CrossRef]
- Al Khalyfeh, K.; Taher, D.; Helal, W.; Korb, M.; Amarne, H.; Lang, H. Crystal Structure and Hirshfeld Surface Analysis of Bis(3-Thienoyl) Disulfide. J. Chem. Crystallogr. 2022, 52, 113–121. [Google Scholar] [CrossRef]
- Amarne, H.; Helal, W.; Taher, D.; Korb, M.; Al-Hunaiti, A. Crystal Structure, Hirshfeld Surface Analysis and Contact Enrichment Ratios of 5,5-Dimethyl-2-(2,4,6-Tris(Trifluoromethyl)Phenyl)-1,3,2-Dioxaborinane. Mol. Cryst. Liq. Cryst. 2022, 743, 77–88. [Google Scholar] [CrossRef]
- Hema, M.K.; Arun Renganathan, R.R.; Nanjunda Swamy, S.; Karthik, C.S.; Pampa, K.J.; Mallu, P.; Ravishankar Rai, V.; Lokanath, N.K. 4,4,4-Trifluoro-1-(Thiophen-2-Yl)Butane-1,3-Dione Nickel(II) Complex: Synthesis, Structure, Quantum Chemical and DNA Binding Studies. J. Mol. Struct. 2020, 1202, 127277. [Google Scholar] [CrossRef]
- Hema, M.K.; Karthik, C.S.; Pampa, K.J.; Manukumar, H.M.; Mallu, P.; Warad, I.; Lokanath, N.K. Solvent Induced 4,4,4-Trifluoro-1-(2-Naphthyl)-1,3-Butanedione Cu(II) Complexes: Synthesis, Structure, DFT Calculation and Biocidal Activity. Polyhedron 2019, 168, 127–137. [Google Scholar] [CrossRef]
- Shotonwa, I.O.; Osifeko, O.L.; Amos, S.F.; Akande, E.O.; Adejare, A.A.; Olaoye, T.R.; Akinwande, B.B.; Adeoluwa, Z.A.; Benjamin, N.F.; Lambo, M.O.; et al. Structural Diversity, Computational Outputs, and Supramolecular Solid-State Assemblies in Sustaining the Coordination Chemistry of Zinc, Cadmium, and Mercury Dithiocarbamates. J. Mol. Struct. 2024, 1310, 138242. [Google Scholar] [CrossRef]
- Ishtaiwi, Z.; Taher, D.; Korb, M.; Helal, W.; Al-Hunaiti, A.; Juwhari, H.K.; Amarne, H.; Amer, M.W.; YouSef, Y.A.; Klaib, S.; et al. Syntheses, Crystal Structures, DFT Calculation and Solid-State Spectroscopic Properties of New Zincate(II) Complexes with N-(4-Substituted Phenyl)-N’-(4-Nitrophenyl)-Oxamate. Arab. J. Chem. 2022, 15, 104349. [Google Scholar] [CrossRef]
- Ishtaiwi, Z.; Taher, D.; Korb, M.; Helal, W.; Juwhari, H.K.; Al-Hunaiti, A.; Amarne, H.; Assaf, K.; Alrawashdeh, L.; Amer, M.W.; et al. Luminescent Materials Based on N-(3-Nitrophenyl)-N’-(4-R-C6H4)Oxamato Zincate(II) Complexes. J. Mol. Struct. 2023, 1288, 135747. [Google Scholar] [CrossRef]









| Empirical Formula | C28H18Cl6CoF6N2O4S2 |
|---|---|
| Formula weight | 896.19 |
| Temperature | 100 K |
| Wavelength | 0.71073 Å |
| Crystal system | Triclinic |
| Space group | P-1 |
| Unit cell dimensions | a = 9.2974(5) Å |
| b = 9.4580(4) Å | |
| c = 11.3624(6) Å | |
| Unit cell angles | α = 78.159(4)° |
| β = 68.102(5)° | |
| γ = 71.018(4)° | |
| Volume | 872.63(8) Å3 |
| Z | 1 |
| Density (calculated) | 1.705 Mg/m3 |
| Absorption coefficient | 1.141 mm−1 |
| F(000) | 447 |
| Crystal size | 0.2 × 0.05 × 0.03 mm3 |
| 2Theta range for data collection | 5.722 to 52.262 ° |
| Index ranges | –11 ≤ h ≤ 11, –11 ≤ k ≤ 11, –14 ≤ l ≤ 14 |
| Reflections collected | 15,110 |
| Independent reflections | 3456 [R(int) = 0.0370] a) |
| Completeness to theta = 26.131° | 99.1% |
| Absorption correction | Semi-empirical from equivalents |
| Max. and min. transmission | 1.00000 and 0.78280 |
| Refinement method | Full-matrix least-squares on F2 |
| Data/restraints/parameters | 3457/306/290 |
| Goodness of fit on F2 | S = 0.978 b) |
| Final R indices [I > 2σ(I)] | R1 = 0.0432, wR2 = 0.1088 c) |
| R indices (all data) | R1 = 0.0695, wR2 = 0.1160 c) |
| Largest diff. peak and hole | 0.56 and −0.66 eÅ−3 |
| Bond Distances [Å] | |
| Co(1)-O(1) | 2.048(2) |
| Co(1)-O(2) | 2.040(2) |
| Co(1)-N(1) | 2.137(2) |
| Bond Angles [°] 1) | |
| O(1)-Co(1)-O(2) | 89.18(8) |
| O(2)-Co(1)-N(1) | 90.82(9) |
| O(1)-Co(1)-N(1) | 91.52(10) |
| D-H···A 1 | D-H/Å | H···A/Å | D···A/Å | <D-H···A° | Symmetry |
|---|---|---|---|---|---|
| C12-H12···F2 | 0.95 | 2.61 | 3.375(4) | 137.8 | 1-x,1-y,1-z |
| C6-H6···π | 0.95 | 2.76 | 3.579(7) | 144.2 | 2-x,1-y,-z |
Disclaimer/Publisher’s Note: The statements, opinions and data contained in all publications are solely those of the individual author(s) and contributor(s) and not of MDPI and/or the editor(s). MDPI and/or the editor(s) disclaim responsibility for any injury to people or property resulting from any ideas, methods, instructions or products referred to in the content. |
© 2025 by the authors. Licensee MDPI, Basel, Switzerland. This article is an open access article distributed under the terms and conditions of the Creative Commons Attribution (CC BY) license (https://creativecommons.org/licenses/by/4.0/).
Share and Cite
Al-Anber, M.A.; Taher, D.; Ecorchard, P.; Kloda, M.; Aboelmagd, Y.M.; Lang, H. Synthesis and Characterization of [Co(tta)2(4,4′-bipy)2.CHCl3]n: A Coordination Polymer with Sulfur–Sulfur Interactions. Crystals 2025, 15, 729. https://doi.org/10.3390/cryst15080729
Al-Anber MA, Taher D, Ecorchard P, Kloda M, Aboelmagd YM, Lang H. Synthesis and Characterization of [Co(tta)2(4,4′-bipy)2.CHCl3]n: A Coordination Polymer with Sulfur–Sulfur Interactions. Crystals. 2025; 15(8):729. https://doi.org/10.3390/cryst15080729
Chicago/Turabian StyleAl-Anber, Mohammed A., Deeb Taher, Petra Ecorchard, Matous Kloda, Yasser Mahmoud Aboelmagd, and Heinrich Lang. 2025. "Synthesis and Characterization of [Co(tta)2(4,4′-bipy)2.CHCl3]n: A Coordination Polymer with Sulfur–Sulfur Interactions" Crystals 15, no. 8: 729. https://doi.org/10.3390/cryst15080729
APA StyleAl-Anber, M. A., Taher, D., Ecorchard, P., Kloda, M., Aboelmagd, Y. M., & Lang, H. (2025). Synthesis and Characterization of [Co(tta)2(4,4′-bipy)2.CHCl3]n: A Coordination Polymer with Sulfur–Sulfur Interactions. Crystals, 15(8), 729. https://doi.org/10.3390/cryst15080729

