Janus Ga2SSe-Based van der Waals Heterojunctions as a Class of Promising Candidates for Photocatalytic Water Splitting: A DFT Investigation
Abstract
1. Introduction
2. Materials and Methods
3. Results
3.1. Structural Configuration and Stability of the Heterostructures
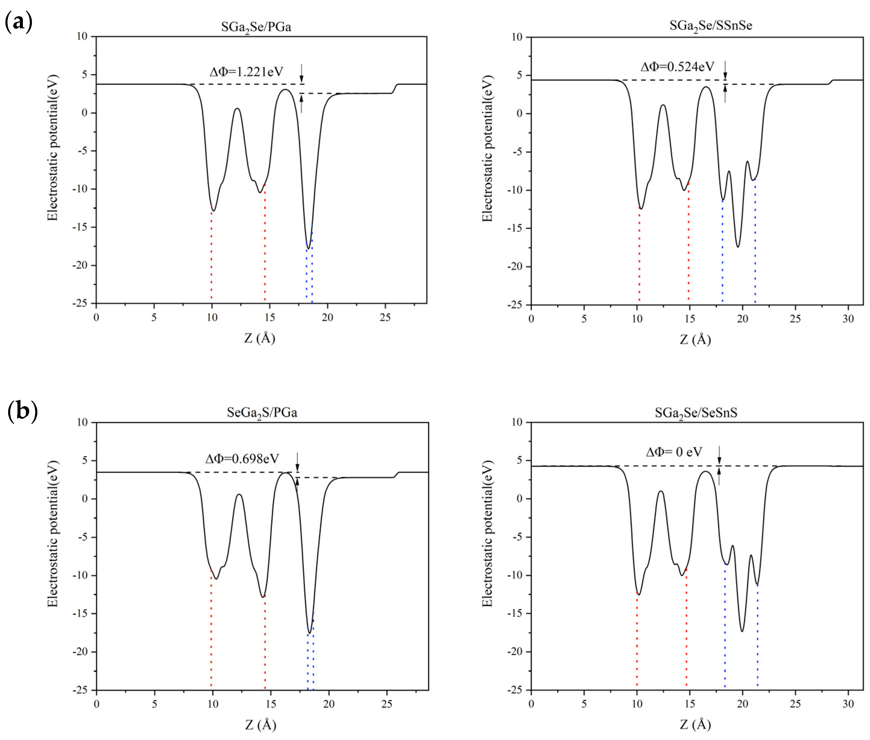
3.2. Electronic Properties
3.3. Optical and Photocatalytic Properties
4. Conclusions
Supplementary Materials
Author Contributions
Funding
Data Availability Statement
Acknowledgments
Conflicts of Interest
References
- Hoang, A.T.; Pandey, A.; Chen, W.-H.; Ahmed, S.F.; Nižetić, S.; Ng, K.H.; Said, Z.; Duong, X.Q.; Ağbulut, Ü.; Hadiyanto, H.; et al. Hydrogen Production by Water Splitting with Support of Metal and Carbon-Based Photocatalysts. ACS Sustain. Chem. Eng. 2023, 11, 1221–1252. [Google Scholar] [CrossRef]
- Ng, K.H.; Lai, S.Y.; Cheng, C.K.; Cheng, Y.W.; Chong, C.C. Photocatalytic Water Splitting for Solving Energy Crisis: Myth, Fact or Busted? Chem. Eng. J. 2021, 417, 128847. [Google Scholar] [CrossRef]
- Acar, C.; Dincer, I.; Naterer, G.F. Review of Photocatalytic Water-Splitting Methods for Sustainable Hydrogen Production: Review: Photocatalysis for Sustainable Hydrogen. Int. J. Energy Res. 2016, 40, 1449–1473. [Google Scholar] [CrossRef]
- Ghorbani, B.; Zendehboudi, S.; Afrouzi, Z.A. Multi-Objective Optimization of an Innovative Integrated System for Production and Storage of Hydrogen with Net-Zero Carbon Emissions. Energy Convers. Manag. 2023, 276, 116506. [Google Scholar] [CrossRef]
- Oni, A.O.; Anaya, K.; Giwa, T.; Di Lullo, G.; Kumar, A. Comparative Assessment of Blue Hydrogen from Steam Methane Reforming, Autothermal Reforming, and Natural Gas Decomposition Technologies for Natural Gas-Producing Regions. Energy Convers. Manag. 2022, 254, 115245. [Google Scholar] [CrossRef]
- Wang, Y.; Suzuki, H.; Xie, J.; Tomita, O.; Martin, D.J.; Higashi, M.; Kong, D.; Abe, R.; Tang, J. Mimicking Natural Photosynthesis: Solar to Renewable H2 Fuel Synthesis by Z-Scheme Water Splitting Systems. Chem. Rev. 2018, 118, 5201–5241. [Google Scholar] [CrossRef]
- Jafari, T.; Moharreri, E.; Amin, A.; Miao, R.; Song, W.; Suib, S. Photocatalytic Water Splitting—The Untamed Dream: A Review of Recent Advances. Molecules 2016, 21, 900. [Google Scholar] [CrossRef]
- Dal Santo, V.; Naldoni, A. Titanium Dioxide Photocatalysis. Catalysts 2018, 8, 591. [Google Scholar] [CrossRef]
- Irfan, F.; Tanveer, M.U.; Moiz, M.A.; Husain, S.W.; Ramzan, M. TiO2 as an Effective Photocatalyst Mechanisms, Applications, and Dopants: A Review. Eur. Phys. J. B 2022, 95, 184. [Google Scholar] [CrossRef]
- Manzeli, S.; Ovchinnikov, D.; Pasquier, D.; Yazyev, O.V.; Kis, A. 2D Transition Metal Dichalcogenides. Nat. Rev. Mater. 2017, 2, 17033. [Google Scholar] [CrossRef]
- Wu, C.; Zhang, J.; Tong, X.; Yu, P.; Xu, J.; Wu, J.; Wang, Z.M.; Lou, J.; Chueh, Y. A Critical Review on Enhancement of Photocatalytic Hydrogen Production by Molybdenum Disulfide: From Growth to Interfacial Activities. Small 2019, 15, 1900578. [Google Scholar] [CrossRef]
- Sridharan, M.; Maiyalagan, T. Recent Progress in Tungsten Disulphide Based Photocatalyst for Hydrogen Production and Environmental Remediation. Chem. Eng. J. 2021, 424, 130393. [Google Scholar] [CrossRef]
- Yang, R.; Fan, Y.; Zhang, Y.; Mei, L.; Zhu, R.; Qin, J.; Hu, J.; Chen, Z.; Hau Ng, Y.; Voiry, D.; et al. 2D Transition Metal Dichalcogenides for Photocatalysis. Angew. Chem. 2023, 62, e202218016. [Google Scholar] [CrossRef]
- Rosman, N.N.; Mohamad Yunus, R.; Jeffery Minggu, L.; Arifin, K.; Salehmin, M.N.I.; Mohamed, M.A.; Kassim, M.B. Photocatalytic Properties of Two-Dimensional Graphene and Layered Transition-Metal Dichalcogenides Based Photocatalyst for Photoelectrochemical Hydrogen Generation: An Overview. Int. J. Hydrogen Energy 2018, 43, 18925–18945. [Google Scholar] [CrossRef]
- Zheng, W.; Jiang, Y.; Hu, X.; Li, H.; Zeng, Z.; Wang, X.; Pan, A. Light Emission Properties of 2D Transition Metal Dichalcogenides: Fundamentals and Applications. Adv. Opt. Mater. 2018, 6, 1800420. [Google Scholar] [CrossRef]
- Li, H.; Zhou, Y.; Tu, W.; Ye, J.; Zou, Z. State-of-the-Art Progress in Diverse Heterostructured Photocatalysts toward Promoting Photocatalytic Performance. Adv. Funct. Mater. 2015, 25, 998–1013. [Google Scholar] [CrossRef]
- Zhang, G.; Wang, X. Oxysulfide Semiconductors for Photocatalytic Overall Water Splitting with Visible Light. Angew. Chem. Int. Ed. 2019, 58, 15580–15582. [Google Scholar] [CrossRef]
- Wang, X.; Zhong, H.; Xi, S.; Lee, W.S.V.; Xue, J. Understanding of Oxygen Redox in the Oxygen Evolution Reaction. Adv. Mater. 2022, 34, 2107956. [Google Scholar] [CrossRef]
- Li, J.; Slassi, A.; Han, X.; Cornil, D.; Ha-Thi, M.; Pino, T.; Debecker, D.P.; Colbeau-Justin, C.; Arbiol, J.; Cornil, J.; et al. Tuning the Electronic Bandgap of Graphdiyne by H-Substitution to Promote Interfacial Charge Carrier Separation for Enhanced Photocatalytic Hydrogen Production. Adv. Funct. Mater. 2021, 31, 2100994. [Google Scholar] [CrossRef]
- Lasia, A. Mechanism and Kinetics of the Hydrogen Evolution Reaction. Int. J. Hydrogen Energy 2019, 44, 19484–19518. [Google Scholar] [CrossRef]
- Hu, W.; Lin, L.; Zhang, R.; Yang, C.; Yang, J. Highly Efficient Photocatalytic Water Splitting over Edge-Modified Phosphorene Nanoribbons. J. Am. Chem. Soc. 2017, 139, 15429–15436. [Google Scholar] [CrossRef] [PubMed]
- Kang, J.; Tongay, S.; Zhou, J.; Li, J.; Wu, J. Band Offsets and Heterostructures of Two-Dimensional Semiconductors. Appl. Phys. Lett. 2013, 102, 012111. [Google Scholar] [CrossRef]
- Ng, B.; Putri, L.K.; Kong, X.Y.; Teh, Y.W.; Pasbakhsh, P.; Chai, S. Z-Scheme Photocatalytic Systems for Solar Water Splitting. Adv. Sci. 2020, 7, 1903171. [Google Scholar] [CrossRef]
- Wang, Y.; Wang, Q.; Zhan, X.; Wang, F.; Safdar, M.; He, J. Visible Light Driven Type II Heterostructures and Their Enhanced Photocatalysis Properties: A Review. Nanoscale 2013, 5, 8326. [Google Scholar] [CrossRef]
- Fu, C.; Wu, X.; Yang, J. Material Design for Photocatalytic Water Splitting from a Theoretical Perspective. Adv. Mater. 2018, 30, 1802106. [Google Scholar] [CrossRef]
- Su, T.; Shao, Q.; Qin, Z.; Guo, Z.; Wu, Z. Role of Interfaces in Two-Dimensional Photocatalyst for Water Splitting. ACS Catal. 2018, 8, 2253–2276. [Google Scholar] [CrossRef]
- Yang, F.; Boulet, P.; Record, M.-C. DFT Investigation of a Direct Z-Scheme Photocatalyst for Overall Water Splitting: Janus Ga2SSe/Bi2O3 Van Der Waals Heterojunction. Materials 2025, 18, 1648. [Google Scholar] [CrossRef]
- Kumar, R.; Das, D.; Singh, A.K. C2N/WS2 van Der Waals Type-II Heterostructure as a Promising Water Splitting Photocatalyst. J. Catal. 2018, 359, 143–150. [Google Scholar] [CrossRef]
- Kim, J.H.; Jang, J.-W.; Jo, Y.H.; Abdi, F.F.; Lee, Y.H.; Van De Krol, R.; Lee, J.S. Hetero-Type Dual Photoanodes for Unbiased Solar Water Splitting with Extended Light Harvesting. Nat. Commun. 2016, 7, 13380. [Google Scholar] [CrossRef]
- Sun, J.; Liu, C.; Yang, P. Surfactant-Free, Large-Scale, Solution Liquid Solid Growth of Gallium Phosphide Nanowires and Their Use for Visible-Light-Driven Hydrogen Production from Water Reduction. J. Am. Chem. Soc. 2011, 133, 19306–19309. [Google Scholar] [CrossRef]
- Meinhardová, V.; Dubnová, L.; Kobielusz, M.; Kouba, D.; Slang, S.; Huo, P.; Matvieiev, O.; Macyk, W.; Kočí, K.; Čapek, L. Electron Migration Pathways in S-Scheme GaP-TiO2 Photocatalysts and Their Implications for Photocatalytic Hydrogen Production. Acta Mater. 2025, 296, 121274. [Google Scholar] [CrossRef]
- Peng, R.; Ma, Y.; Huang, B.; Dai, Y. Two-Dimensional Janus PtSSe for Photocatalytic Water Splitting under the Visible or Infrared Light. J. Mater. Chem. A 2019, 7, 603–610. [Google Scholar] [CrossRef]
- Jamdagni, P.; Kumar, A.; Srivastava, S.; Pandey, R.; Tankeshwar, K. Janus PtSSe-Based van Der Waals Heterostructures for Direct Z-Scheme Photocatalytic Water Splitting. Int. J. Hydrogen Energy 2024, 66, 268–277. [Google Scholar] [CrossRef]
- Xie, M.; Shang, Y.; Li, X.; Da, Y.; Liu, X. An Ab Initio Study of Two Dimensional SnX2 and Janus SnXY (X = S, Se) Nanosheets as Potential Photocatalysts for Water Splitting. ACS Appl. Nano Mater. 2023, 6, 10569–10580. [Google Scholar] [CrossRef]
- Anjum, N.; Kashif, M.; Shahzad, A.; Rasheed, A.; Ren, G. 2D Janus ZrSSe/SnSSe Heterostructure: A Promising Candidate for Photocatalytic Water Splitting. ACS Omega 2024, 9, 19848–19858. [Google Scholar] [CrossRef]
- Li, L.; Zhao, C.; Zhang, Y.; Zhang, L.; Zhu, Y. Janus Ga2SSe Nanotubes as Efficient Photocatalyst for Overall Water Splitting. Nanotechnology 2022, 33, 465703. [Google Scholar] [CrossRef]
- Zhang, W.X.; Yin, Y.; He, C. Spontaneous Enhanced Visible-Light-Driven Photocatalytic Water Splitting on Novel Type-II GaSe/CN and Ga2SSe/CN vdW Heterostructures. J. Phys. Chem. Lett. 2021, 12, 5064–5075. [Google Scholar] [CrossRef]
- Geim, A.K.; Grigorieva, I.V. Van Der Waals Heterostructures. Nature 2013, 499, 419–425. [Google Scholar] [CrossRef]
- Chen, J.; Yang, D.; Song, D.; Jiang, J.; Ma, A.; Hu, M.Z.; Ni, C. Recent Progress in Enhancing Solar-to-Hydrogen Efficiency. J. Power Sources 2015, 280, 649–666. [Google Scholar] [CrossRef]
- Orio, M.; Pantazis, D.A.; Neese, F. Density Functional Theory. Photosynth. Res. 2009, 102, 443–453. [Google Scholar] [CrossRef]
- Hafner, J. Ab-Initio Simulations of Materials Using VASP: Density-functional Theory and Beyond. J. Comput. Chem. 2008, 29, 2044–2078. [Google Scholar] [CrossRef] [PubMed]
- Kresse, G.; Joubert, D. From Ultrasoft Pseudopotentials to the Projector Augmented-Wave Method. Phys. Rev. B 1999, 59, 1758–1775. [Google Scholar] [CrossRef]
- Cooper, V.R. Van Der Waals Density Functional: An Appropriate Exchange Functional. Phys. Rev. B 2010, 81, 161104. [Google Scholar] [CrossRef]
- Perdew, J.P.; Burke, K.; Ernzerhof, M. Generalized Gradient Approximation Made Simple. Phys. Rev. Lett. 1996, 77, 3865–3868. [Google Scholar] [CrossRef]
- Heyd, J.; Scuseria, G.E.; Ernzerhof, M. Hybrid Functionals Based on a Screened Coulomb Potential. J. Chem. Phys. 2003, 118, 8207–8215. [Google Scholar] [CrossRef]
- Moellmann, J.; Grimme, S. DFT-D3 Study of Some Molecular Crystals. J. Phys. Chem. C 2014, 118, 7615–7621. [Google Scholar] [CrossRef]
- Tang, W.; Sanville, E.; Henkelman, G. A Grid-Based Bader Analysis Algorithm without Lattice Bias. J. Phys. Condens. Matter 2009, 21, 084204. [Google Scholar] [CrossRef]
- Jain, A.; Ong, S.P.; Hautier, G.; Chen, W.; Richards, W.D.; Dacek, S.; Cholia, S.; Gunter, D.; Skinner, D.; Ceder, G.; et al. Commentary: The Materials Project: A Materials Genome Approach to Accelerating Materials Innovation. APL Mater. 2013, 1, 011002. [Google Scholar] [CrossRef]
- Ul Haq, B.; AlFaify, S.; Ahmed, R.; Khan, M.H.; Alsardia, M.M.; Khadka, S.-H. First-Principles Study of the Physical Properties of Novel Polytypes of Gallium Phosphide. Cryst. Growth Des. 2021, 21, 6417–6424. [Google Scholar] [CrossRef]
- Da Silva, R.; Barbosa, R.; Mançano, R.R.; Durães, N.; Pontes, R.B.; Miwa, R.H.; Fazzio, A.; Padilha, J.E. Metal Chalcogenides Janus Monolayers for Efficient Hydrogen Generation by Photocatalytic Water Splitting. ACS Appl. Nano Mater. 2019, 2, 890–897. [Google Scholar] [CrossRef]
- Yang, F.; Boulet, P.; Record, M.-C. Electronic Structure and Photocatalytic Performance of Janus MoSSe/Ga2SSe van Der Waals Heterostructures. Int. J. Hydrogen Energy 2024, 73, 536–546. [Google Scholar] [CrossRef]
- Li, X.; Li, Z.; Yang, J. Proposed Photosynthesis Method for Producing Hydrogen from Dissociated Water Molecules Using Incident Near-Infrared Light. Phys. Rev. Lett. 2014, 112, 018301. [Google Scholar] [CrossRef] [PubMed]
- Zhang, W.X.; Hou, J.T.; Bai, M.; He, C.; Wen, J.R. Construction of Novel ZnO/Ga2SSe (GaSe) vdW Heterostructures as Efficient Catalysts for Water Splitting. Appl. Surf. Sci. 2023, 634, 157648. [Google Scholar] [CrossRef]
- Ahmad, I.; Shahid, I.; Ali, A.; Ruan, Z.; Yan, C.; Ali, J.; Gao, L.; Cai, J. Two Dimensional Janus SGaInSe(SeGaInS)/PtSe2 van Der Waals Heterostructures for Optoelectronic and Photocatalytic Water Splitting Applications. Int. J. Hydrogen Energy 2022, 47, 28833–28844. [Google Scholar] [CrossRef]
- Yang, F.; Record, M.-C.; Boulet, P. Self-Defined Monolayers, Bilayers and Trilayers of Two-Dimensional Janus MoSSe and Ga2SSe van Der Waals Homojunctions as Potential Photocatalysts for Overall Water Splitting. Renew. Energy 2025, 245, 122829. [Google Scholar] [CrossRef]
- Lin, H.-F.; Liu, H.-Y.; Wang, M.; Wang, S.-S.; Hou, T.-P.; Wu, K.-M. Janus Ga2SeTe/In2SSe Heterostructures: Tunable Electronic, Optical, and Photocatalytic Properties. Phys. Chem. Chem. Phys. 2022, 24, 4425–4436. [Google Scholar] [CrossRef]
- Fu, C.-F.; Sun, J.; Luo, Q.; Li, X.; Hu, W.; Yang, J. Intrinsic Electric Fields in Two-Dimensional Materials Boost the Solar-to-Hydrogen Efficiency for Photocatalytic Water Splitting. Nano Lett. 2018, 18, 6312–6317. [Google Scholar] [CrossRef]
- Liu, L.-L.; Li, D.-F.; Tang, R.-F.; Tang, M.-X.; Zhang, X.-Y.; Liu, M.-L.; Hu, L.; Wang, S.-F.; Wu, X.-Z. Derivative Ga2S3 Monolayers as Water-Splitting Photocatalysts: Enhanced Solar to Hydrogen Conversion for Reduced Dipole. Results Phys. 2023, 52, 106831. [Google Scholar] [CrossRef]
- Gunawan, D.; Zhang, J.; Li, Q.; Cui, Y.T.; Scott, J.; Antonietti, M.; Guo, J.; Amal, R. Materials Advances in Photocatalytic Solar Hydrogen Production: Integrating Systms and Economics for a Sustainable Future. Adv. Mater. 2024, 36, 2404618. [Google Scholar] [CrossRef]
- Zhao, X.; Chen, S.; Yin, H.; Jiang, S.; Zhao, K.; Kang, J.; Liu, P.F.; Jiang, L.; Zhu, Z.; Cui, D.; et al. Perovskite Microcrystals with Intercalated Monolayer MoS2 Nanosheets as Advanced Photocatalyst for Solar-Powered Hydrogen Generation. Matter 2025, 3, 935–949. [Google Scholar] [CrossRef]
- Asiri, A.M.; Ren, D.; Zhang, H.; Khan, S.B.; Alamry, K.A.; Marwani, H.M.; Khan, M.S.J.; Adeosun, W.A.; Zakeeruddin, S.M.; Grätzel, M. Solar Water Splitting Using Earth-Abundant Electrocatalysts Driven by High-Efficiency Perovskite Solar Cells. ChemSusChem 2022, 15, e202102471. [Google Scholar] [CrossRef]
- Liu, B.; Chen, H.M.; Liu, C.; Andrews, S.C.; Hahn, C.; Yang, P. Large-Scale Synthesis of Transition-Metal-Doped TiO2 nanowires with Controllable Overpotential. J. Am. Chem. Soc. 2013, 135, 9995–9998. [Google Scholar] [CrossRef]
- Zhang, J.; Wang, T.; Pohl, D.; Rellinghaus, B.; Dong, R.; Liu, S.; Zhuang, X.; Deng, X. Interface Engineering of MoS2/Ni3S2 Heterostructures for Highly Enhanced Electrochemical Overall-Water-Splitting Activity. Angew. Chem. 2016, 128, 6814–6819. [Google Scholar] [CrossRef]
- Nayana, K.; Sunitha, A.P. MoS2-x/GCD-MoS2-x nanostructures for tuning the overpotential of Volmer-Heyrovsky reaction of electrocatalytic hydrogen evolution. Int. J. Hydrogen Energy 2024, 55, 422–431. [Google Scholar] [CrossRef]
- Wang, G.; Tang, W.; Xie, W.; Tang, Q.; Wang, Y.; Guo, H.; Gao, P.; Dang, S.; Chang, J. Type-II CdS/PtSSe Heterostructures Used as Highly Efficient Water-Splitting Photocatalysts. Appl. Surf. Sci. 2022, 589, 152931. [Google Scholar] [CrossRef]
- Wang, F.; Yang, C.-L.; Li, X.-H.; Liu, Y.-L.; Zhao, W.-K. Hydrogen Generation from Direct Z-Scheme for Photocatalytic Overall Water Splitting with the SiSe/SnSe2 and SiSe/SnSSe Heterostructures. J. Catal. 2024, 432, 115429. [Google Scholar] [CrossRef]
- Allaoui, I.; El Kenz, A.; Benyoussef, A.; Khuili, M.; Fazouan, N. Strain-Engineered ZrSSe/Ga2SSe vdW Heterostructure with Enhanced Visible Light Harvesting and High Solar-to-Hydrogen Efficiency. Micro Nanostruct. 2025, 205, 208174. [Google Scholar] [CrossRef]
- Qiao, H.; Zhang, Y.; Yan, Z.-H.; Duan, L.; Ni, L.; Fan, J.-B. A Type-II GaN/InS van Der Waals Heterostructure with High Solar-to-Hydrogen Efficiency of Photocatalyst for Water Splitting. Appl. Surf. Sci. 2022, 604, 154602. [Google Scholar] [CrossRef]









| Heterojunction | Eint (meV) | Heterojunction | Eint (meV) |
|---|---|---|---|
| SGa2Se/PGa | −83.91 | SeGa2S/GaP | −120.17 |
| SeGa2S/PGa | −67.86 | SGa2Se/GaP | −133.17 |
| SGa2Se/SPtSe | −207.88 | SeGa2S/SPtSe | −186.09 |
| SGa2Se/SePtS | −192.33 | SeGa2S/SePtS | −182.22 |
| SGa2Se/SSnSe | −144.32 | SeGa2S/SSnSe | −136.98 |
| SGa2Se/SeSnS | −159.14 | SeGa2S/SeSnS | −144.76 |
| Heterojunction | χ (H2) | χ (O2) | ηabs (%) | ηcu (%) | ηSTH (%) | η’STH (%) |
|---|---|---|---|---|---|---|
| SGa2Se/PGa | 1.14 | 1.12 | 13.85 | 45.99 | 6.37 | 5.99 |
| SeGa2S/PGa | 0.75 | 0.82 | 18.35 | 48.56 | 8.91 | 8.48 |
| SeGa2S/SSnSe | 0.63 | 1.36 | 56.36 | 68.21 | 38.44 | 38.44 |
| SeGa2S/SeSnS | 0.13 | 1.03 | 44.61 | 55.28 | 24.66 | 21.75 |
Disclaimer/Publisher’s Note: The statements, opinions and data contained in all publications are solely those of the individual author(s) and contributor(s) and not of MDPI and/or the editor(s). MDPI and/or the editor(s) disclaim responsibility for any injury to people or property resulting from any ideas, methods, instructions or products referred to in the content. |
© 2025 by the authors. Licensee MDPI, Basel, Switzerland. This article is an open access article distributed under the terms and conditions of the Creative Commons Attribution (CC BY) license (https://creativecommons.org/licenses/by/4.0/).
Share and Cite
Yang, F.; Record, M.-C.; Boulet, P. Janus Ga2SSe-Based van der Waals Heterojunctions as a Class of Promising Candidates for Photocatalytic Water Splitting: A DFT Investigation. Crystals 2025, 15, 728. https://doi.org/10.3390/cryst15080728
Yang F, Record M-C, Boulet P. Janus Ga2SSe-Based van der Waals Heterojunctions as a Class of Promising Candidates for Photocatalytic Water Splitting: A DFT Investigation. Crystals. 2025; 15(8):728. https://doi.org/10.3390/cryst15080728
Chicago/Turabian StyleYang, Fan, Marie-Christine Record, and Pascal Boulet. 2025. "Janus Ga2SSe-Based van der Waals Heterojunctions as a Class of Promising Candidates for Photocatalytic Water Splitting: A DFT Investigation" Crystals 15, no. 8: 728. https://doi.org/10.3390/cryst15080728
APA StyleYang, F., Record, M.-C., & Boulet, P. (2025). Janus Ga2SSe-Based van der Waals Heterojunctions as a Class of Promising Candidates for Photocatalytic Water Splitting: A DFT Investigation. Crystals, 15(8), 728. https://doi.org/10.3390/cryst15080728

