Complexes of Cd(II) with Nicotinamide, Nitrate, and Oxalate as Mixed Ligands: Synthesis, Characterization, and Biological Activity
Abstract
1. Introduction
2. Materials and Methods
2.1. Materials
2.2. Synthesis of Complexes
- C12H16N6O10Cd
- C24H28N10O12Cd
- C8H10N2O7Cd
2.3. Single Crystal X-Ray Diffraction and Refinement
2.4. Fourier-Transform Infrared Spectroscopy (FT-IR)
2.5. Liquid Nuclear Magnetic Resonance Spectroscopy (NMR)
2.6. Thermogravimetric Analysis (TG)
2.7. Photoluminescence
2.8. Elemental Analysis
2.9. Antimicrobial Activity
3. Results
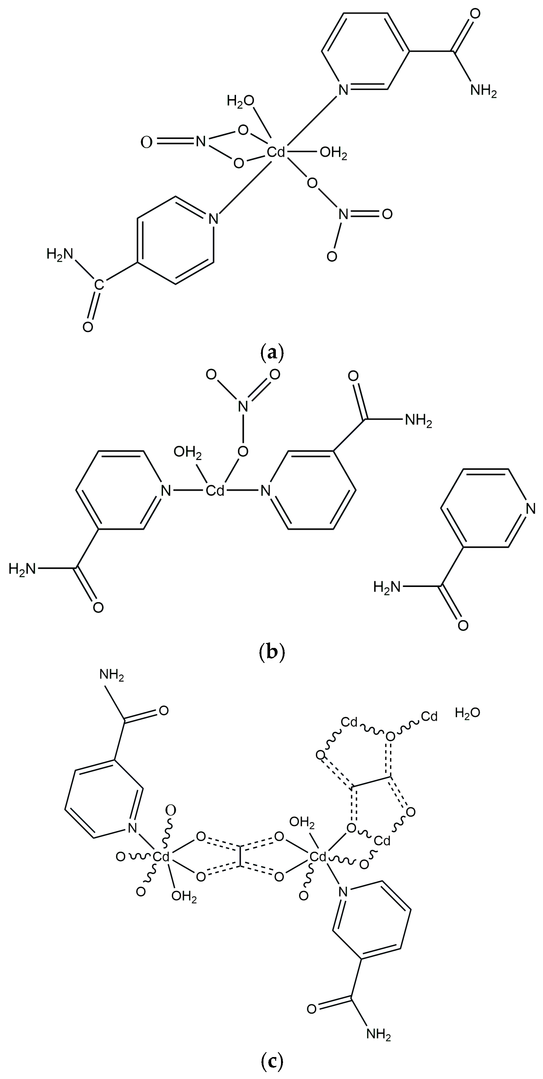
3.1. Crystal Structures Descriptions
- Complex (1)
- Complex (3)
3.2. FT-IR Spectroscopy
3.3. Liquid Nuclear Magnetic Resonance Spectroscopy (NMR)
- 1H-NMR (500 MHz, DMSO-d6, δ ppm, J Hz): 9.02 (s, 2H, H-1), 8.69 (d, 2H, H-5, 4.0 Hz), 8.21 (dt, 2H, H-3, 1.8 Hz, 7.9 Hz), 8.16 (s, 2H, NH2), 7.59 (s, 2H, NH2), 7.50 (dd, 2H, H-4, 4.9 Hz, 7.7 Hz) ppm.
- 13C-NMR (125 MHz, DMSO-d6, δ ppm): 166.4, 151.8, 148.7, 135.3, 129.7, 123.5 ppm.
- [Cd(NA)2(NO3)2(H2O)2].2NA (2)
- 1H-NMRp>1H-NMR (500 MHz, DMSO-d6, δ ppm, J Hz): 9.02 (d, 4H, H-1, 1.8 Hz), 8.69 (dd, 4H, H-5, 1.5 Hz, 4.8 Hz), 8.21 (dt, 4H, H-3, 1.8 Hz, 7.9 Hz), 8.16 (s, 4H, NH2), 7.60 (s, 4H, NH2), 7.50 (dd, 4H, H-4, 4.8 Hz, 7.8 Hz) ppm.
- 13C-NMR (125 MHz, DMSO-d6, δ ppm): 166.4, 151.8, 148.7, 135.3, 129.7, 123.5 ppm.
3.4. Thermogravimetric Analysis
3.5. Photoluminescence
3.6. Antimicrobial Investigation
4. Conclusions
Supplementary Materials
Author Contributions
Funding
Data Availability Statement
Conflicts of Interest
References
- Conze, D.; Crespo-Barreto, J.; Kruger, C. Safety Assessment of Nicotinamide Riboside, a Form of Vitamin B3. Hum. Exp. Toxicol. 2016, 35, 1149–1160. [Google Scholar] [CrossRef] [PubMed]
- Cantó, C.; Menzies, K.J.; Auwerx, J. NAD+ Metabolism and the Control of Energy Homeostasis: A Balancing Act between Mitochondria and the Nucleus. Cell Metab. 2015, 22, 31–53. [Google Scholar] [CrossRef]
- Xiao, W.; Wang, R.-S.; Handy, D.E.; Loscalzo, J. NAD(H) and NADP(H) Redox Couples and Cellular Energy Metabolism. Antioxid. Redox Signal. 2018, 28, 251–272. [Google Scholar] [CrossRef]
- Hoxhaj, G.; Ben-Sahra, I.; Lockwood, S.E.; Timson, R.C.; Byles, V.; Henning, G.T.; Gao, P.; Selfors, L.M.; Asara, J.M.; Manning, B.D. Direct Stimulation of NADP+ Synthesis through Akt-Mediated Phosphorylation of NAD Kinase. Science 2019, 363, 1088–1092. [Google Scholar] [CrossRef] [PubMed]
- Yang, Y.; Sauve, A.A. NAD + Metabolism: Bioenergetics, Signaling and Manipulation for Therapy. Biochim. et Biophys. Acta (BBA)-Proteins Proteom. 2016, 1864, 1787–1800. [Google Scholar] [CrossRef]
- Sauve, A.A. NAD+ and Vitamin B3: From Metabolism to Therapies. J. Pharmacol. Exp. Ther. 2008, 324, 883–893. [Google Scholar] [CrossRef]
- Ying, W. NAD+/NADH and NADP+/NADPH in Cellular Functions and Cell Death: Regulation and Biological Consequences. Antioxid. Redox Signal. 2008, 10, 179–206. [Google Scholar] [CrossRef]
- Gan, L.; Von Moltke, L.L.; Trepanier, L.A.; Harmatz, J.S.; Greenblatt, D.J.; Court, M.H. Role of NADPH-Cytochrome P450 Reductase and Cytochrome-b5/NADH-b5 Reductase in Variability of CYP3A Activity in Human Liver Microsomes. Drug Metab. Dispos. 2009, 37, 90–96. [Google Scholar] [CrossRef]
- Smith, L.L. Paraquat Toxicity. Phil. Trans. R. Soc. Lond. B 1985, 311, 647–657. [Google Scholar] [CrossRef]
- Casarett & Doull’s Essentials of Toxicology, 4th ed.; Klaassen, C.D., Watkins, J.B., Casarett, L.J., Doull, J., Eds.; McGraw Hill: New York, NY, USA, 2021; ISBN 978-1-260-45229-7. [Google Scholar]
- Fessel, J.P.; Oldham, W.M. Pyridine Dinucleotides from Molecules to Man. Antioxid. Redox Signal. 2018, 28, 180–212. [Google Scholar] [CrossRef]
- Hegyi, J.; Schwartz, R.A.; Hegyi, V. Pellagra: Dermatitis, Dementia, and Diarrhea. Int. J. Dermatol. 2004, 43, 1–5. [Google Scholar] [CrossRef]
- Çatak, J. Determination of Niacin Profiles in Some Animal and Plant Based Foods by High Performance Liquid Chromatography: Association with Healthy Nutrition. J. Anim. Sci. Technol. 2019, 61, 138–146. [Google Scholar] [CrossRef] [PubMed]
- Morabia, A. Joseph Goldberger’s Research on the Prevention of Pellagra. J. R. Soc. Med. 2008, 101, 566–568. [Google Scholar] [CrossRef] [PubMed]
- Nishijo, M.; Nakagawa, H.; Suwazono, Y.; Nogawa, K.; Kido, T. Causes of Death in Patients with Itai-Itai Disease Suffering from Severe Chronic Cadmium Poisoning: A Nested Case–Control Analysis of a Follow-up Study in Japan. BMJ Open 2017, 7, e015694. [Google Scholar] [CrossRef]
- Sóvágó, I.; Várnagy, K. Cadmium(II) Complexes of Amino Acids and Peptides. In Cadmium: From Toxicity to Essentiality; Sigel, A., Sigel, H., Sigel, R.K., Eds.; Metal Ions in Life Sciences; Springer: Dordrecht, The Netherlands, 2013; Volume 11, pp. 275–302. ISBN 978-94-007-5178-1. [Google Scholar]
- Bottari, E.; Festa, M.R. Asparagine as a Ligand for Cadmium(II), Lead(II) and Zinc(II). Chem. Speciat. Bioavailab. 1996, 8, 75–83. [Google Scholar] [CrossRef]
- Kozłowski, H.; Urbańska, J.; Sóvágó, I.; Varnagy, K.; Kiss, A.; Spychała, J.; Cherifi, K. Cadmium Ion Interaction with Sulphur Containing Amino Acid and Peptide Ligands. Polyhedron 1990, 9, 831–837. [Google Scholar] [CrossRef]
- Yao, W.; Yang, Z.; Huang, L.; Su, C. Complexation of Amino Acids with Cadmium and Their Application for Cadmium-Contaminated Soil Remediation. Appl. Sci. 2022, 12, 1114. [Google Scholar] [CrossRef]
- Simões^Gonçalves, M.L.S.; Correia Dos Santos, M.M. Cadmium Complexes of Aminoacids in Seawater Conditions. J. Electroanal. Chem. Interfacial Electrochem. 1984, 163, 315–326. [Google Scholar] [CrossRef]
- Zhang, F.; Liu, Q. Ternary Complexes of Cadmium(II) with Vitamin D3 and Aminoacids: Quantitative Expressions of Relative Stabilities. J. Coord. Chem. 1993, 28, 197–202. [Google Scholar] [CrossRef]
- Khan, F.; Khanam, A. Study of Complexes of Cadmium with Some L-Amino Acids and Vitamin-C by Voltammetric Technique. Eclet. Quím. 2008, 33, 29–36. [Google Scholar] [CrossRef]
- Azam, M.; Al-Resayes, S.I.; Pallepogu, R. Synthesis and Structural Characterization of Cadmium(II) and Mercury(II) Complexes Derived from 3-Aminoquinoline. Helv. Chim. Acta 2016, 99, 20–23. [Google Scholar] [CrossRef]
- Kovalev, V.V.; Kokunov, Y.V.; Shmelev, M.A.; Voronina, Y.K.; Kiskin, M.A.; Popov, L.D.; Eremenko, I.L. Molecular and Polymeric Cadmium Nitrate Complexes with Bridging 3-Aminoquinoline: Synthesis, Structures, and Luminescence Properties. Russ. J. Coord. Chem. 2021, 47, 272–279. [Google Scholar] [CrossRef]
- Karunakaran, C.; Thomas, K.R.J.; Asurname, A.; Murugesan, R. Synthesis, Structure and Spectroscopy of Clathrate Inclusion Compounds of Cobalt(II), Cadmium(II) and Zinc(II) Trans-4-Styrylpyridine Nitrates as Host with Trans-4-Styrylpyridine as Guest (2:1)[No Title Found]. J. Incl. Phenom. Macrocycl. Chem. 2000, 38, 233–249. [Google Scholar] [CrossRef]
- Rao, C.N.R.; Natarajan, S.; Vaidhyanathan, R. Metal Carboxylates with Open Arhitectures. Angew. Chem. Int. Ed. 2004, 43, 1466–1496. [Google Scholar]
- Clulow, R.; Lightfoot, P. Syntheses and crystal structures of three novel oxalate coordination compounds: Rb2Co(C2O4)2·4H2O, Rb2CoCl2(C2O4) and K2Li2Cu(C2O4)3·2H2O. Acta Crystallogr. E Crystallogr. Comm. 2023, 79, 267–271. [Google Scholar]
- Xia, S.-Q.; Hu, S.-M.; Dai, J.-C.; Wu, X.-T.; Fu, Z.-Y.; Zhang, J.-J.; Du, W.-X. Syntheses and structures of 1D, 2D, 3D cadmium (II) coordination polymers with oxalate and aromatic co-ligands. Polyhedron 2004, 23, 1003–1009. [Google Scholar]
- Dey, S.K.; Shyamapada, S.; Sankolli, R.; Guru Row, T.N. A new 3D cadmium (II) coordination polymer having µ4-oxalato, µ-aquo and µ-chlorido bridges: Crystal structure, solid state fluorescence and thermal behavior. J. Mol. Struct. 2013, 1048, 6–10. [Google Scholar]
- de Oliveira Neto, J.G.; Rodrigues, A.O.J.; Viana, R.J.; Barros, D.S.J.; Lage, R.M.; de Sousa, F.F.; Dutra, R.P.; Souto, E.B.; dos Santos, A.O. Antibacterial [Zn(nicotinamide)2Cl2] complex for the treatment of skin conditions: An experimental-theoretical study of physicochemical, microbiological and in silico pharmacokinetic properties. J. Mol. Liq. 2024, 403, 124846. [Google Scholar]
- Altun, O.; Suozher, M. Synthesis, spectral analysis, stability constants, antioxidant and biological activities of Co(II), Ni(II) and Cu(II) mixed ligand complexes of nicotinamide, theophylline and thiocyanate. J. Mol. Struct. 2017, 1149, 307–314. [Google Scholar]
- Yıldırım, T.; Köse, D.A.; Avcı, E.; Özer, D.; Şahin, O. Novel mixed ligand complexes of acesulfame/nicotinamide with some transition metals. Synthesis, crystal structural characterization, and biological properties. J. Mol. Struct. 2019, 1176, 576–582. [Google Scholar]
- Moncol, J.; Kuchtanin, V.; Polakovičová, P.; Mroziński, J.; Kalińska, B.; Koman, M.; Padělková, Z.; Segl’a, P.; Melník, M. Study of copper(II) thiophenecarboxylate complexes with nicotinamide. Polyhedron 2012, 45, 94–102. [Google Scholar] [CrossRef]
- Rendošová, M.; Vargová, Z.; Kuchár, J.; Sabolová, D.; Levoča, S.; Kudláčová, J.; Paulíková, H.; Hudecová, D.; Helebrandtová, V.; Almáši, M.; et al. New silver complexes with bioactive glycine and nicotinamide molecules–Characterization, DNA binding, antimicrobial and anticancer evaluation. J. Inorg. Biochem. 2017, 168, 1–12. [Google Scholar] [CrossRef] [PubMed]
- Kalaivanan, C.; Sankarganesh, M.; Yosuva Suvaikin, M.; Banu Karthi, G.; Gurusamy, S.; Subramanian, R.; Nandini Asha, R. Novel Cu(II) and Ni(II) complexes of nicotinamide based Mannich base: Synthesis, characterization, DFT calculation, DNA binding, molecular docking, antioxidant, antimicrobial activities. J. Mol. Liq. 2020, 320, 114423. [Google Scholar]
- Al-Saif, F.A.; Refat, S.M. Ten metal complexes of vitamin B3/niacin: Spectroscopic, thermal, antibacterial, antifungal, cytotoxicity and antitumor studies of Mn(II), Fe(III), Co(II), Ni(II), Cu(II), Zn(II), Pd(II), Cd(II), Pt(IV) and Au(III) complexes. J. Mol. Struct. 2012, 1021, 40–52. [Google Scholar]
- Ban, E.; An Hyeon, S.; Park, B.; Park, M.; Yoon, N.-E.; Jung, B.H.; Kim, A. Improved Solubility and Oral Absorption of Emodin-Nicotinamide Cocrystal Over Emodin with PVP as a Solubility Enhancer and Crystallization Inhibitor. J. Pharm. Sci. 2020, 109, 3660–3667. [Google Scholar]
- Zhao, Y.; Chen, Z.; Wang, Q.; Zhang, C.; Ji, M. A new insight to explore toxic Cd(II) affecting denitrification: Reaction kinetic, electron behavior and microbial community. Chemosphere 2022, 305, 135419. [Google Scholar] [CrossRef]
- Singh, S.; Anil, G.A.; Kumar, V.; Kapoor, D.; Subramanian, S.; Singh, J.; Ramamurthy, P.C. Nitrates in the environment: A critical review of their distribution, sensing techniques, ecological effects and remediation. Chemosphere 2022, 287, 131996. [Google Scholar] [CrossRef]
- Wang, X.; Du, H.; Ma, M.; Rennenberg, H. The dual role of nitric oxide (NO) in plant responses to cadmium exposure. Sci.Total Environ. 2023, 892, 164597. [Google Scholar] [CrossRef]
- Rosier, B.T.; Buetas, E.; Moya-Gonzalvez, E.M.; Artacho, A.; Mira, A. Nitrate as a potential probiotic for the oral microbiom. Sci. Rep. 2020, 10, 12895. [Google Scholar]
- Tiso, M.; Schechter, A.N. Nitrate reduction to nitrite, nitric oxide and ammonia by gut bacteria under physiological conditions. PLoS ONE 2015, 10, e0119712. [Google Scholar]
- Okda, M.; Spina, S.; Fakhr, B.S.; Carroll, R.W. The Antimicrobial Effects of Nitric Oxide: A Narrative Review. Nitric Oxide 2025. [Google Scholar] [CrossRef]
- Majou, D.; Christieans, S. Mechanisms of the bactericidal effects of nitrate and nitrite in cured meats. Meat Sci. 2018, 145, 273–284. [Google Scholar] [CrossRef] [PubMed]
- Steckerman, T.; Thomine, S. Mechanisms of Cadmium Accumulation in Plants. Crit. Rev. Plant. Sci. 2020, 39, 322–359. [Google Scholar] [CrossRef]
- Thamilselvan, S.; Khan, S.R.; Menon, M. Oxalate and calcium oxalate mediated free radical toxicity in renal epithelial cells: Effect of antioxidants. Urol. Res. 2003, 31, 3–9. [Google Scholar] [CrossRef] [PubMed]
- Selasteen, F.D.; Raj S, A.C. In vitro study of antimicrobial and antioxidant activities of oxalic acid-derived bioactive chelating agent. Asian J. Pharm. Clin. Res. 2019, 12, 423–427. [Google Scholar] [CrossRef]
- Lian, Z.; Zhao, N.; Yang, F.; Liu, P. Crystal structure of trans-trans-trans-diaquabis(nicotinamide)-dinitratocadmium(II)-nicotinamide (1:2), Cd(H2O)2(C6H6N2O)2(NO3)2.2C6H6N2O. Z. Kristallogr. NCS 2011, 226, 289–290. [Google Scholar]
- CrysAlis PRO 2018. Available online: https://rigaku.com/products/crystallography/x-ray-diffraction/crysalispro (accessed on 23 January 2025).
- Sheldrick, G.M. SHELXT–Integrated Space-Group and Crystal-Structure Determination. Acta Crystallogr. A Found. Adv. 2015, 71, 3–8. [Google Scholar] [CrossRef]
- Sheldrick, G.M. Crystal Structure Refinement with SHELXL. Acta Crystallogr. C Struct. Chem. 2015, 71, 3–8. [Google Scholar] [CrossRef]
- Dolomanov, O.V.; Bourhis, L.J.; Gildea, R.J.; Howard, J.A.K.; Puschmann, H. OLEX2: A Complete Structure Solution, Refinement and Analysis Program. J. Appl. Crystallogr. 2009, 42, 339–341. [Google Scholar] [CrossRef]
- Corbu, V.M.; Georgescu, A.-M.; Marinas, I.C.; Pericleanu, R.; Mogos, D.V.; Dumbravă, A.Ș.; Marinescu, L.; Pecete, I.; Vassu-Dimov, T.; Czobor Barbu, I.; et al. Phenotypic and Genotypic Characterization of Resistance and Virulence Markers in Candida spp. Isolated from Community-Acquired Infections in Bucharest, and the Impact of AgNPs on the Highly Resistant Isolates. J. Fungi 2024, 10, 563. [Google Scholar] [CrossRef]
- Ramalingam, S.; Periandy, S.; Govindarajan, M.; Mohan, S. FT-IR and FT-Raman vibrational spectra and molecular structure investigation of nicotinamide: A combined experimental and theoretical study. Spectrochim. Acta A Mol. Biomol. Spectrosc. 2010, 75, 1552–1558. [Google Scholar] [CrossRef] [PubMed]
- Nakamoto, K. Infrared and Raman Spectra of Inorganic and Coordination Compounds, Part B–Applications in Coordination, Organometallic, and Bioinorganic Chemistry, 6th ed.; John Wiley & Sons, Inc.: Hoboken, NJ, USA, 2009; pp. 221–227. [Google Scholar]
- He, C.J.; Wang, Y.F.; Li, S.H. Hydrothermal Syntheses, Crystal Structures and Luminescence Properties of Two Cadmium (II) Complexes Based on 3-Hydroxyisonicotinic Acid. Russ. J. Gen. Chem. 2024, 94, 1412–1418. [Google Scholar] [CrossRef]
- Marcenko, R.D.; Lysova, A.A.; Samsonenko, D.G.; Dybtsev, D.N.; Potapov, A.S. Synthesis, structural diversity, luminescent properties and antibacterial effects of cadmium (II) and silver (I) coordination compounds with bis(1,2,3-benzotriazol-1-yl)alkanes. Polyhedron 2020, 177, 114330. [Google Scholar] [CrossRef]
- Sun, M.; Mullen, K.; Yin, M. Water-soluble perylenediimides: Design concepts and biological applications. Chem. Soc. Rev. 2016, 45, 1513–1528. [Google Scholar] [CrossRef] [PubMed]
- Monteiro, J.H.S.K. Recent Advances in Luminescence Imaging of Biological Systems Using Lanthanide(III) Luminescent Complexes. Molecules 2020, 25, 2089. [Google Scholar] [CrossRef] [PubMed]
- Alkarri, S.; Bin Saad, H.; Soliman, M. On Antimicrobial Polymers: Development, Mechanism of Action, International Testing Procedures, and Applications. Polymers 2024, 16, 771. [Google Scholar] [CrossRef]
- Delcour, A.H. Outer Membrane Permeability and Antibiotic Resistance. Biochim. et Biophys. Acta (BBA)-Proteins Proteom. 2009, 1794, 808–816. [Google Scholar] [CrossRef]
- Hossain, T.J. Methods for Screening and Evaluation of Antimicrobial Activity: A Review of Protocols, Advantages, and Limitations. EuJMI 2024, 14, 97–115. [Google Scholar] [CrossRef]
- Balouiri, M.; Sadiki, M.; Ibnsouda, S.K. Methods for in Vitro Evaluating Antimicrobial Activity: A Review. J. Pharm. Anal. 2016, 6, 71–79. [Google Scholar] [CrossRef]
- Nawrocki, K.L.; Crispell, E.K.; McBride, S.M. Antimicrobial Peptide Resistance Mechanisms of Gram-Positive Bacteria. Antibiotics 2014, 3, 461–492. [Google Scholar] [CrossRef]
- Nikolic, P.; Mudgil, P. The Cell Wall, Cell Membrane and Virulence Factors of Staphylococcus aureus and Their Role in Antibiotic Resistance. Microorganisms 2023, 11, 259. [Google Scholar] [CrossRef] [PubMed]
- Chevalier, S.; Bouffartigues, E.; Bodilis, J.; Maillot, O.; Lesouhaitier, O.; Feuilloley, M.G.J.; Orange, O.; Dufour, A.; Cornelis, P. Structure, function and regulation of Pseudomonas aeruginosa porins. FEMS Microbiol. Rev. 2017, 41, 698–722. [Google Scholar] [CrossRef] [PubMed]
- Antonelli, G.; Cappelli, L.; Cinelli, P.; Cuffaro, R.; Manca, B.; Nicchi, S.; Tondi, S.; Vezzani, G.; Viviani, V.; Delany, I.; et al. Strategies to Tackle Antimicrobial Resistance: The Example of Escherichia coli and Pseudomonas aeruginosa. Int. J. Mol. Sci. 2021, 22, 4943. [Google Scholar] [CrossRef]
- Uzoma, P.C.; Etim, I.-I.N.; Okonkwo, B.O.; Olanrele, O.S.; Njoku, D.I.; Kolawole, S.K.; Emori, W.; Ikeuba, A.I.; Njoku, C.N.; Ekerenam, O.O.; et al. Recent Design Approaches, Adhesion Mechanisms, and Applications of Antibacterial Surfaces. Chem. Eng. J. Adv. 2023, 16, 100563. [Google Scholar] [CrossRef]
- Surendra Dilip, C.; Siva Kumar, V.; John Venison, S.; Vetha potheher, I.; Rajalaxmi (a) Subahashini, D. Synthesis, structural characterisation, bio-potential efficiency and DNA cleavage applications of nicotinamide metal complexes. J. Mol. Struct. 2013, 1040, 192–205. [Google Scholar] [CrossRef]









| Sample | S. aureus | E. faecalis | E. coli | P. aeruginosa |
|---|---|---|---|---|
| (2) | 7.50 ± 0.58 | 0.00 ± 0.00 | 9.50 ± 0.58 | 5.75 ± 0.96 |
| (1) | 8.00 ± 1.41 | 0.00 ± 0.00 | 9.00 ± 1.41 | 6.5 ± 1.00 |
| Kanamycine (K) | 24.67 ± 0.58 | 16.33 ± 0.58 | - | - |
| Piperacillin (PRL) | - | - | 22.33 ± 0.58 | 12.00 ± 1.00 |
| DMSO | 3.50 ± 0.71 | 0.00 ± 0.00 | 0.00 ± 0.00 | 0.00 ± 0.00 |
| Analytical Parameter | S. aureus ATCC 6538 | E. faecalis ATCC 29212 | E. coli ATCC 25922 | P. aeruginosa ATCC 27853 | |
|---|---|---|---|---|---|
| (2) | MIC (mg/mL) | 1.25 | 0.625 | 0.625 | 0.625 |
| MMC (mg/mL) | 2.5 | 5 | 2.5 | 2.5 | |
| IC50 (mg/mL) | 0.636 ± 0.077 | 0.059 ± 0.006 | 0.282 ± 0.031 | 0.294 ± 0.006 | |
| (1) | MIC (mg/mL) | 1.25 | 0.3125 | 1.25 | 0.625 |
| MMC (mg/mL) | 2.5 | 5 | 2.5 | 2.5 | |
| IC50 (mg/mL) | 0.601 ± 0.034 | 0.1057 ± 0.016 | 0.325 ± 0.062 | 0.297 ± 0.008 | |
| DMSO | MIC (mg/mL) | 2.5 | 2.5 | 2.5 | 1.25 |
| MMC (mg/mL) | 5 | >5 | 2.5 | 2.5 | |
| IC50 (mg/mL) | 1.608 ± 0.004 | 0.968 ± 0.069 | 0.642 ± 0.006 | 0.524 ± 0.024 |
| (2) | (1) | DMSO | ||||
|---|---|---|---|---|---|---|
| MIC (mg/mL) | MBEC (/mL) | MIC (/mL) | MBEC (/mL) | MIC (/mL) | MBEC (/mL) | |
| S. aureus ATCC 6538 | 1.25 | 1.25 | 1.25 | 1.25 | 2.5 | 2.5 |
| E. faecalis ATCC | 0.625 | 0.625 | 0.3125 | 0.3125 | 2.5 | 2.5 |
| E. coli ATCC 11229 | 0.625 | 0.625 | 1.25 | 1.25 | 2.5 | 1.25 |
| P. aeruginosa ATCC 27853 | 0.625 | 0.625 | 0.625 | 0.625 | 1.25 | 1.25 |
Disclaimer/Publisher’s Note: The statements, opinions and data contained in all publications are solely those of the individual author(s) and contributor(s) and not of MDPI and/or the editor(s). MDPI and/or the editor(s) disclaim responsibility for any injury to people or property resulting from any ideas, methods, instructions or products referred to in the content. |
© 2025 by the authors. Licensee MDPI, Basel, Switzerland. This article is an open access article distributed under the terms and conditions of the Creative Commons Attribution (CC BY) license (https://creativecommons.org/licenses/by/4.0/).
Share and Cite
Pricop, L.; Marinas, I.C.; Hanganu, A.; Ganciarov, M.; Mădălan, A.M.; Miclăuș, M.O. Complexes of Cd(II) with Nicotinamide, Nitrate, and Oxalate as Mixed Ligands: Synthesis, Characterization, and Biological Activity. Crystals 2025, 15, 140. https://doi.org/10.3390/cryst15020140
Pricop L, Marinas IC, Hanganu A, Ganciarov M, Mădălan AM, Miclăuș MO. Complexes of Cd(II) with Nicotinamide, Nitrate, and Oxalate as Mixed Ligands: Synthesis, Characterization, and Biological Activity. Crystals. 2025; 15(2):140. https://doi.org/10.3390/cryst15020140
Chicago/Turabian StylePricop, Laurențiu, Ioana Cristina Marinas, Anamaria Hanganu, Mihaela Ganciarov, Augustin M. Mădălan, and Maria Olimpia Miclăuș. 2025. "Complexes of Cd(II) with Nicotinamide, Nitrate, and Oxalate as Mixed Ligands: Synthesis, Characterization, and Biological Activity" Crystals 15, no. 2: 140. https://doi.org/10.3390/cryst15020140
APA StylePricop, L., Marinas, I. C., Hanganu, A., Ganciarov, M., Mădălan, A. M., & Miclăuș, M. O. (2025). Complexes of Cd(II) with Nicotinamide, Nitrate, and Oxalate as Mixed Ligands: Synthesis, Characterization, and Biological Activity. Crystals, 15(2), 140. https://doi.org/10.3390/cryst15020140

