Modeling of Cr2+-Doped Saturable-Absorber Q-Switched Tm:CaF2 Lasers
Abstract
1. Introduction
2. Materials and Methods
3. Results and Discussions
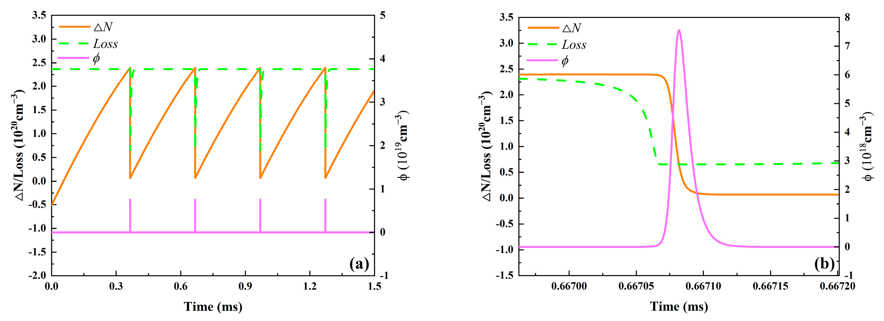
3.1. The Effect of Incident Pump Power on Laser Characteristics
3.2. The Effect of Reflectivity of Output Coupler on Laser Characteristics
3.3. The Effect of Unsaturated Absorber Transmission on Laser Characteristics
3.4. The Effect of Cavity Length on Laser Characteristics
3.5. The Effect of the Length of Gain Medium on Laser Characteristics
4. Conclusions
Author Contributions
Funding
Data Availability Statement
Conflicts of Interest
References
- Hałasiński, P.; Lubarska, M.; Lubarski, K.; Jałowska, M. Lasers’ Q-switched treatment in skin and subcutaneous lesions–review. Adv. Dermatol. Allergol. 2023, 40, 181–186. [Google Scholar] [CrossRef] [PubMed]
- Lu, Y.; Jiang, S.; Yin, X.; Guo, J.; Zhu, X.; Ma, H.; Zhang, G.; Yu, H.; Xiao, Y.; Yang, Y. Long-term effect of transurethral partial cystectomy with a 2-micrometer continuous-wave laser for non-muscle-invasive bladder cancer. Front. Surg. 2023, 10, 1117997. [Google Scholar] [CrossRef] [PubMed]
- Wang, Q.; Jin, P.; Wu, Y.; Zhou, L.; Shen, T. Infrared Image Enhancement: A Review. IEEE J. Sel. Top. Appl. Earth Obs. Remote Sens. 2024, 18, 3281–3299. [Google Scholar] [CrossRef]
- Shangguan, M.; Liao, Z.; Guo, Y.; Lee, Z. Seabed backscattered signal peak shift and broadening induced by multiple scattering in bathymetric lidar. IEEE Trans. Geosci. Remote Sens. 2025, 63, 5701214. [Google Scholar] [CrossRef]
- Yang, W.; He, G.; Yan, F.; Wang, W.; Zhuang, Y. Spatial and Temporal Calibration of Self-Built Panoramic LiDAR in Targetless Environments. IEEE Trans. Instrum. Meas. 2025, 74, 8504404. [Google Scholar] [CrossRef]
- Yuan, J.; Li, J.; Wu, Z.; Li, S.; Han, H.; Li, L. Passively Q-switched operation of a 1.94 µm thulium-doped solid-state laser based on MXene V2CTx. Chin. Opt. Lett. 2023, 21, 021402. [Google Scholar] [CrossRef]
- Sebbag, D.; Korenfeld, A.; Ben-Ami, U.; Elooz, D.; Shalom, E.; Noach, S. Diode end-pumped passively Q-switched Tm:YAP laser with 1.85-mJ pulse energy. Opt. Lett. 2015, 40, 1250–1253. [Google Scholar] [CrossRef]
- Zhang, M.; Xu, C.; Wei, Y.; Li, S.; Liu, G.; Li, W.; Fan, D. Continuous-wave and broadly tunable Cr:ZnSe laser pumped by a short wavelength Tm:YLF bulk laser. Chin. Opt. Lett. 2024, 22, 101404. [Google Scholar] [CrossRef]
- Chen, Q.; Lu, S.; Zhang, Y.; Yin, H.; Li, Z.; Zhang, P.; Chen, Z. The passive Q-switched and Q-switched mode-locked Nd: GYAP laser based on a novel Bi2O3 saturable absorber. Opt. Laser Technol. 2024, 174, 110620. [Google Scholar] [CrossRef]
- Yuan, J.; Yao, B.; Dai, T.; Gao, Y.; Yu, J.; Sun, J. High peak power, high-repetition rate passively Q-switching of a holmium ceramic laser. Laser Phys. 2020, 30, 035004. [Google Scholar] [CrossRef]
- Ling, W.; Xu, H.; Yang, J.; Qiu, X.; He, T.; An, P.; Bi, C.; Yuan, S.; Wang, M.; Tian, X.; et al. 1.4 W Passively Q-Switched Mode-Locked Tm:CALGO Laser with a MoS2 Saturable Absorber. Photonics 2024, 11, 997. [Google Scholar] [CrossRef]
- Huang, H.; Li, N.; Wu, H.; Liu, H.; Deng, J.; Weng, W.; Li, J.; Lin, W. Obtaining constant sub-25 ns pulse in a Q-switched Tm laser with around 100 kHz repetition frequency. Opt. Laser Technol. 2024, 172, 110478. [Google Scholar] [CrossRef]
- Mirov, S.B.; Moskalev, I.S.; Vasilyev, S.; Smolski, V.; Fedorov, V.V.; Martyshkin, D.; Peppers, J.; Mirov, M.; Dergachev, A.; Gapontsev, V. Frontiers of mid-IR lasers based on transition metal doped chalcogenides. IEEE J. Sel. Top. Quantum Electron. 2018, 24, 1601829. [Google Scholar] [CrossRef]
- Mirov, S.B.; Fedorov, V.V.; Martyshkin, D.; Moskalev, I.S.; Mirov, M.; Vasilyev, S. Progress in mid-IR lasers based on Cr and Fe-doped II–VI chalcogenides. IEEE Trans. Geosci. Remote Sens. 2014, 21, 292–310. [Google Scholar] [CrossRef]
- Zhang, Z.; Guo, X.; Wang, J.; Zhang, C.; Liu, J.; Su, L. High-efficiency 2 μm continuous-wave laser in laser diode-pumped Tm3+, La3+:CaF2 single crystal. Opt. Lett. 2018, 43, 4300–4303. [Google Scholar] [CrossRef] [PubMed]
- Liu, S.; Jiang, D.; Zhen, Z.; Ma, F.; Zhang, Z.; Su, L. Effect of Tm3+ concentration on structure, spectral properties and cross relaxation of Tm:CaF2 crystal. Opt. Express 2025, 33, 1690–1702. [Google Scholar] [CrossRef]
- Lyapin, A.A.; Fedorov, P.P.; Garibin, E.A.; Malov, A.V.; Osiko, V.V.; Ryabochkina, P.A.; Ushakov, S.N. Spectroscopic, luminescent and laser properties of nanostructured CaF2:Tm materials. Opt. Mater. 2013, 35, 1859–1864. [Google Scholar] [CrossRef]
- Liu, J.; Zhang, C.; Zu, Y.; Fan, X.; Liu, J.; Guo, X.; Qian, X.; Su, L. Efficient continuous-wave, broadly tunable and passive Q-switching lasers based on a Tm3+:CaF2 crystal. Laser Phys. Lett. 2018, 15, 045803. [Google Scholar] [CrossRef]
- Liu, J.; Zhang, C.; Zhang, Z.; Wang, J.; Fan, X.; Liu, J.; Su, L. 1886-nm mode-locked and wavelength tunable Tm-doped CaF2 lasers. Opt. Lett. 2018, 44, 134–137. [Google Scholar] [CrossRef]
- Thouroude, R.; Tyazhev, A.; Hideur, A.; Loiko, P.; Camy, P.; Doualan, J.L.; Gilles, H.; Laroche, M. Widely tunable in-band-pumped Tm:CaF2 laser. Opt. Lett. 2020, 45, 4511–4514. [Google Scholar] [CrossRef]
- Zhang, C.; Liu, J.; Fan, X.; Peng, Q.; Guo, X.; Jiang, D.; Qian, X.; Su, L. Compact passive Q-switching of a diode-pumped Tm, Y:CaF2 laser near 2 μm. Opt. Laser Technol. 2018, 103, 89–92. [Google Scholar] [CrossRef]
- Zhang, C.; Zhang, F.; Chen, K.; Guo, X.; Liu, J.; Su, L.; Zhang, H. Cu12Sb4S13 nanocrystals as absorbers for a diode-pumped Tm, La:CaF2 2 μm Q-switched laser. Opt. Commun. 2020, 462, 125281. [Google Scholar] [CrossRef]
- Hao, Q.; Liu, W.; Zu, Y.; Wang, Y.; Liu, J.; Su, L. Highly efficient dual-wavelength acousto-optically Q-switched Tm, La: CaF2 laser. Chin. Opt. Lett. 2022, 20, 111402. [Google Scholar] [CrossRef]
- Zu, Y.; Guo, X.; Liu, J.; Liu, J.; Su, L. Passively Q-switched operation of a novel Tm3+, La3+ co-doped CaF2 single crystal near 2 µm. Infrared Phys. Technol. 2019, 102, 103010. [Google Scholar] [CrossRef]
- Kong, L.; Qiao, Z.; Xie, G.; Qin, Z.; Zhao, B.; Yu, H.; Su, L.; Ma, J.; Yuan, P.; Qian, L. Spectroscopic characteristics, continuous-wave and mode-locking laser performances of Tm, Y:CaF2 disordered crystal. Opt. Express 2017, 25, 21267–21274. [Google Scholar] [CrossRef]
- Rustad, G.; Stenersen, K. Modeling of laser-pumped Tm and Ho lasers accounting for upconversion and ground-state depletion. IEEE J. Quantum Electron. 1996, 32, 1645–1656. [Google Scholar] [CrossRef]
- Reiter, J.; Körner, J.; Pejchal, J.; Yoshikawa, A.; Hein, J.; Kaluza, M.C. Temperature dependent absorption and emission spectra of Tm:CaF2. Opt. Mater. Express 2020, 10, 2142–2158. [Google Scholar] [CrossRef]
- Strickland, N.M.; Jones, G.D. Site-selective spectroscopy of Tm3+ centers in CaF2:Tm3+. Phys. Rev. B 1997, 56, 10916. [Google Scholar] [CrossRef]
- Dong, J. Numerical modeling of CW-pumped repetitively passively Q-switched Yb:YAG lasers with Cr:YAG as saturable absorber. Opt. Commun. 2003, 226, 337–344. [Google Scholar] [CrossRef]
- Degnan, J.J. Theory of the optimally coupled Q-switched laser. IEEE J. Quantum Electron. 1989, 25, 214–220. [Google Scholar] [CrossRef]
- Ding, J.; Zhao, B.; Ma, W.; Yu, H.; Qian, X.; Kong, L.; Wang, J.; Xie, G.; Wu, A.; Zeng, F.; et al. Optical Spectra Properties and Continuous-Wave Laser Performance of Tm, Y:CaF2 Single Crystals. Int. J. Opt. 2018, 2018, 8592359. [Google Scholar] [CrossRef]


















| 3H6 (cm−1) | Bolt. Frac. | 3F4 (cm−1) | Bolt. Frac. |
|---|---|---|---|
| 5.6 | 0.4048 | 5646.5 | 0.5025 |
| 94.3 | 0.2565 | 5853.4 | 0.1733 |
| 236.9 | 0.1232 | 5901.9 | 0.1350 |
| 402.2 | 0.0526 | 6070.5 | 0.0567 |
| 465.9 | 0.0379 | 6077.5 | 0.0547 |
| 488.9 | 0.0337 | 6119.7 | 0.0440 |
| 496.7 | 0.0324 | 6171.9 | 0.0337 |
| 555.9 | 0.0239 | ||
| 562.7 | 0.0230 | ||
| 690.0 | 0.0120 |
| Parameter | Value |
|---|---|
| l | 1 cm |
| c | 2.998 × 1010 cm/s |
| σeff | 0.9 × 10−21 cm2 [27] |
| wp | 0.01 cm |
| wl | 0.01 cm |
| f1 | 0.0526 |
| f2 | 0.5025 |
| ls | 0.2 cm |
| σgs | 6.97 × 10−19 cm2 [13,14] |
| σes | 3.48 × 10−20 cm2 [13,14] |
| Lc | 10 cm (physics cavity length) |
| R | 0.95 |
| Pp | 20 W |
| T0 | 0.85 |
| vp | 767 nm |
| vl | 1907 nm |
| τ2 | 6.16 ms [31] |
| σp | 4.2 × 10−21 cm2 [27] |
| δ | 0.05 |
| τs | 4.3 × 10−6 s [13,14] |
Disclaimer/Publisher’s Note: The statements, opinions and data contained in all publications are solely those of the individual author(s) and contributor(s) and not of MDPI and/or the editor(s). MDPI and/or the editor(s) disclaim responsibility for any injury to people or property resulting from any ideas, methods, instructions or products referred to in the content. |
© 2025 by the authors. Licensee MDPI, Basel, Switzerland. This article is an open access article distributed under the terms and conditions of the Creative Commons Attribution (CC BY) license (https://creativecommons.org/licenses/by/4.0/).
Share and Cite
Yang, M.; Wu, Z.; Yuan, J. Modeling of Cr2+-Doped Saturable-Absorber Q-Switched Tm:CaF2 Lasers. Crystals 2025, 15, 591. https://doi.org/10.3390/cryst15070591
Yang M, Wu Z, Yuan J. Modeling of Cr2+-Doped Saturable-Absorber Q-Switched Tm:CaF2 Lasers. Crystals. 2025; 15(7):591. https://doi.org/10.3390/cryst15070591
Chicago/Turabian StyleYang, Mofan, Ziyi Wu, and Jinhe Yuan. 2025. "Modeling of Cr2+-Doped Saturable-Absorber Q-Switched Tm:CaF2 Lasers" Crystals 15, no. 7: 591. https://doi.org/10.3390/cryst15070591
APA StyleYang, M., Wu, Z., & Yuan, J. (2025). Modeling of Cr2+-Doped Saturable-Absorber Q-Switched Tm:CaF2 Lasers. Crystals, 15(7), 591. https://doi.org/10.3390/cryst15070591
