Understanding Avobenzone Crystallization in Sunscreen Formulations: Role of Metal Oxide-Driven Nucleation and Stabilization Strategies
Abstract
1. Introduction
2. Materials
3. Results and Discussion
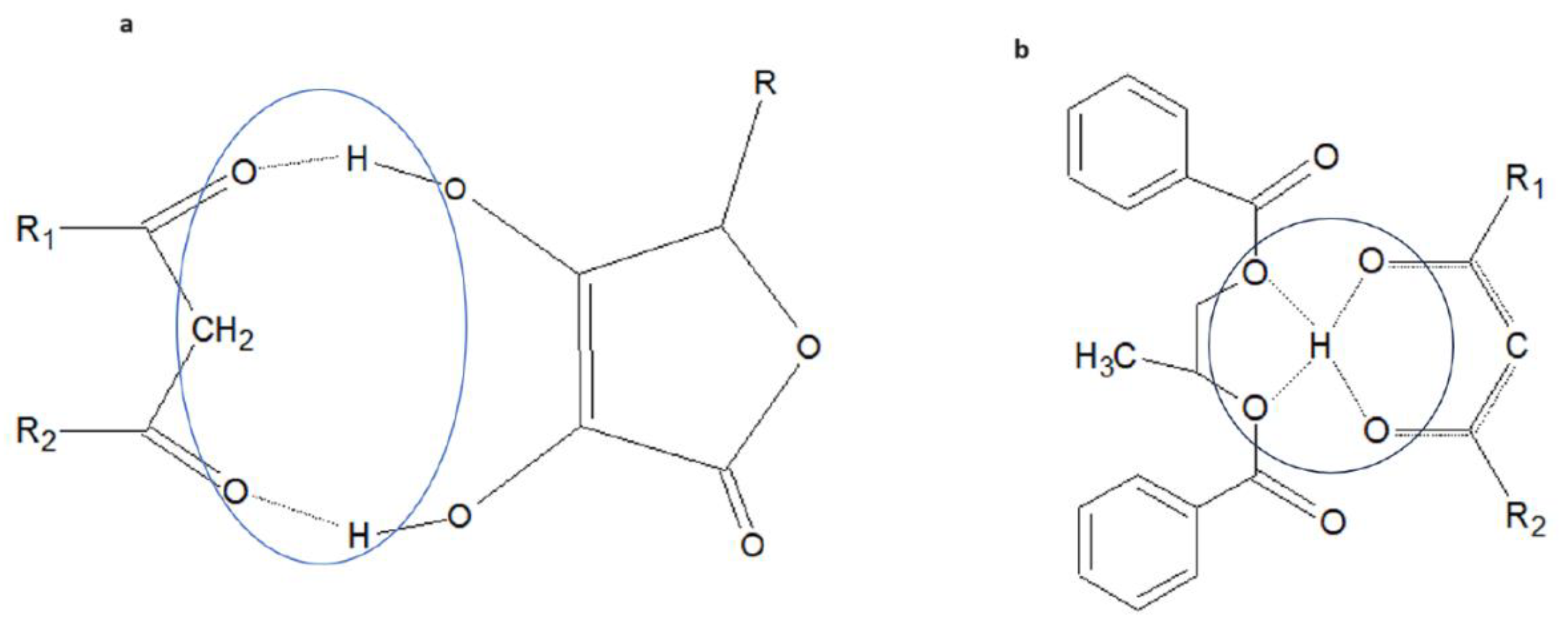
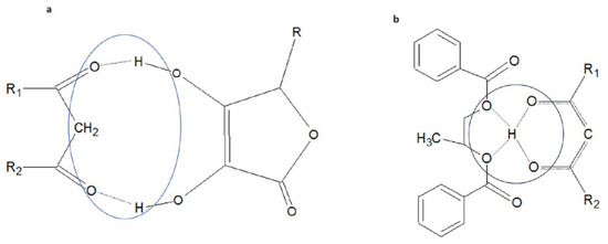
Inhibition of Crystallization
4. Summary
Author Contributions
Funding
Data Availability Statement
Acknowledgments
Conflicts of Interest
References
- Levee, G.J.; Sayre, R.M.; Marlowe, E. P-aminobenzoic acid as a sunscreen and its behaviour on the skin. Int. J. Cosmet. Sci. 1981, 3, 49–55. [Google Scholar] [CrossRef] [PubMed]
- Binks, B.P.; Fletcher, P.D.I.; Johnson, A.J.; Marinopoulos, I.; Crowther, J.M.; Thompson, M.A. Evaporation of Particle-Stabilized Emulsion Sunscreen Films. ACS Appl. Mater. Interfaces 2016, 8, 21201–21213. [Google Scholar] [CrossRef] [PubMed]
- Souto, E.B.; Jäger, E.; Jäger, A.; Štěpánek, P.; Cano, A.; Viseras, C.; de Melo Barbosa, R.; Chorilli, M.; Zielinska, A.; Severino, P.; et al. Lipid Nanomaterials for Targeted Delivery of Dermocosmetic Ingredients: Advances in Photoprotection and Skin Anti-Aging. Nanomaterials 2022, 12, 377. [Google Scholar] [CrossRef] [PubMed]
- Chavda, V.P.; Acharya, D.; Hala, V.; Daware, S.; Vora, L.K. Sunscreens: A comprehensive review with the application of nanotechnology. J. Drug Deliv. Sci. Technol. 2023, 86, 104720. [Google Scholar] [CrossRef]
- Jesus, A.; Sousa, E.; Cruz, M.; Cidade, H.; Lobo, L.; Almeida, I. UV Filters: Challenges and Prospects. Pharmaceuticals 2022, 15, 263. [Google Scholar] [CrossRef] [PubMed]
- da Silva Souza, I.D.; Berkowitz, E.; Chea, J.D.; McBride, N.; Sweet, K.; Torri, D.; Burgo, R.V.; Savelski, M.J.; Stanzione, J.F., 3rd. Efficient UV Filter Solubilizers Prevent Recrystallization Favoring Accurate and Safe Sun Protection. ACS Appl. Mater. Interfaces 2018, 10, 40411–40423. [Google Scholar] [CrossRef] [PubMed]
- McClements, D.J. Crystals and crystallization in oil-in-water emulsions: Implications for emulsion-based delivery systems. Adv. Colloid Interface Sci. 2012, 174, 1–30. [Google Scholar] [CrossRef]
- Gholap, A.D.; Sayyad, S.F.; Hatvate, N.T.; Dhumal, V.V.; Pardeshi, S.R.; Chavda, V.P.; Vora, L.K. Drug delivery strategies for avobenzone: A case study of photostabilization. Pharmaceutics 2023, 15, 1008. [Google Scholar] [CrossRef] [PubMed]
- Jia, L.; Svärd, M.; Rasmuson, Å.C. Crystal Growth of Salicylic Acid in Organic Solvents. Cryst. Growth Des. 2017, 17, 2964–2974. [Google Scholar] [CrossRef]
- Sohn, M.; Prost-Dame, S.M.; Bayraktar, M.; Schäfer, A.; Herzog, B. Crystallization Velocity and UV Performance of Formulations With Oversaturated UV-Filter Content. J. Pharm. Sci. 2019, 108, 1800–1807. [Google Scholar] [CrossRef] [PubMed]
- Endo, M.; Mukawa, T.; Sato, N.; Maezawa, D.; Ohtsu, Y.; Kuroda, A.; Wakabayashi, M.; Asakura, K. Coexistence effect of UVA absorbers to increase their solubility and stability of supersaturation. Int. J. Cosmet. Sci. 2014, 36, 546–552. [Google Scholar] [CrossRef] [PubMed]
- Fardi, T.; Stefanis, E.; Panayiotou, C.; Abbott, S.; van Loon, S. Artwork conservation materials and Hansen solubility parameters: A novel methodology towards critical solvent selection. J. Cult. Herit. 2014, 15, 583–594. [Google Scholar] [CrossRef]
- Hansen, C.M. Hansen Solubility Parameters; CRC Press: Boca Raton, FL, USA, 2007. [Google Scholar] [CrossRef]
- Rajbhoj, A.; Korde, N.S.; Gaikwad, S.T.; Korde, S.S. Efficient Ultrasound synthesis of β-diketone and its metal complexes. Der Pharma Chem. 2012, 4, 1868–1872. [Google Scholar]
- Pettinari, C.; Marchetti, F.; Drozdov, A. β-Diketones and Related Ligands. In Comprehensive Coordination Chemistry II; Elsevier: Amsterdam, The Netherlands, 2003; pp. 97–115. [Google Scholar] [CrossRef]
- Gerasimov, P.A.; Blokh, E.L.; Gubareva, A.I. Standard heats of formation of intermediates in the synthesis of vitamin C. Izv. Vyssh. Uchebn. Zaved. Khim. Khim. Tekhnol. 1985, 28, 54–56. [Google Scholar]
- Desai, P.; Wilhoit, R.C. Heats of combustion and enthalpies of formation of D-ribose, D-arabinose, and L-ascorbic acid. Thermochim. Acta 1970, 1, 61–64. [Google Scholar] [CrossRef]








| Name | INCI (International Nomenclature of Cosmetic Ingredients) | Content [wt.% ] | Role in Cosmetic Mass |
|---|---|---|---|
| SF 1550 | PHENYL TRIMETHICONE | 13.69 | emollient |
| DUB ISIP | ISOPROPYL ISOSTEARATE | 9.43 | emollient |
| PHYTOSQUALAN | SQUALANE | 4.43 | emollient |
| JEECIDE NUCO | CAPRYLYL GLYCOL, PHENOXYETHANOL, HEXYLENE GLYCOL | 0.50 | stabilizer |
| KAHLWAX 2442L | COPERNICIA CERIFERA CERA | 1.89 | wax |
| CANDELILLA WAX NF SP-75 | EUPHORBIA CERIFERA CERA | 7.48 | wax |
| SYNCROWAX HRC-PA-(MH) | TRIBEHENIN | 5.15 | wax |
| DERMOFEEL TOCO 70 NON-GMO [ECO] | TOCOPHEROL, HELIANTHUS ANNUUS SEED OIL | 0.30 | emollient |
| DOWSIL ES-5600 SILICONE GLYCEROL EMULSIFIER | CETYL DIGLYCERYL TRIS(TRIMETHYLSILOXY)SILYLETHYL DIMETHICONE, TOCOPHEROL | 2.22 | emulsifier |
| B. UNIPURE WHITE LC 981 AS-EM | CI 77891 (TiO2), TRIETHOXYCAPRYLYLSILANE | 18.69 | pigment |
| B. UNIPURE BLACK LC 989 AS-EM | CI 77499 (Fe3O4), TRIETHOXYCAPRYLYLSILANE (coating), ALUMINA, MAGNESIUM OXIDE | 0.14 | pigment |
| B. UNIPURE YELLOW LC 182 AS-EM | CI 77492 (α-Fe2O3·H2O), TRIETHOXYCAPRYLYLSILANE (coating) | 1.03 | pigment |
| B. UNIPURE RED LC 381 AS-EM | CI 77491 (Fe2O3), CI 77499, TRIETHOXYCAPRYLYLSILANE (coating) | 0.83 | pigment |
| EUSOLEX HMS | HOMOSALATE | 8.76 | UV filter |
| EUSOLEX OS | ETHYLHEXYL SALICYLATE | 4.98 | UV filter |
| SABODERM DBA | DIBUTYL ADIPATE | 5.59 | solvent/emollient |
| PARSOL 1789 | BUTYL METHOXYDIBENZOYLMETHANE (avobenzone) | 2.99 | UV filter |
| TINOSORB S | BIS-ETHYLHEXYLOXYPHENOL METHOXYPHENYL TRIAZINE (bemotrisinol) | 0.50 | UV filter |
| TALK EP7 | TALC | 5.15 | filler |
| ZANO 10 PLUS | ZINC OXIDE, TRIETHOXYCAPRYLYLSILANE | 6.23 | filler |
Disclaimer/Publisher’s Note: The statements, opinions and data contained in all publications are solely those of the individual author(s) and contributor(s) and not of MDPI and/or the editor(s). MDPI and/or the editor(s) disclaim responsibility for any injury to people or property resulting from any ideas, methods, instructions or products referred to in the content. |
© 2024 by the authors. Licensee MDPI, Basel, Switzerland. This article is an open access article distributed under the terms and conditions of the Creative Commons Attribution (CC BY) license (https://creativecommons.org/licenses/by/4.0/).
Share and Cite
Goral, O.; Zukowska, G.Z.; Zero, E.; Siekierski, M.; Krzton-Maziopa, A. Understanding Avobenzone Crystallization in Sunscreen Formulations: Role of Metal Oxide-Driven Nucleation and Stabilization Strategies. Crystals 2024, 14, 663. https://doi.org/10.3390/cryst14070663
Goral O, Zukowska GZ, Zero E, Siekierski M, Krzton-Maziopa A. Understanding Avobenzone Crystallization in Sunscreen Formulations: Role of Metal Oxide-Driven Nucleation and Stabilization Strategies. Crystals. 2024; 14(7):663. https://doi.org/10.3390/cryst14070663
Chicago/Turabian StyleGoral, Olga, Grazyna Zofia Zukowska, Elzbieta Zero, Maciej Siekierski, and Anna Krzton-Maziopa. 2024. "Understanding Avobenzone Crystallization in Sunscreen Formulations: Role of Metal Oxide-Driven Nucleation and Stabilization Strategies" Crystals 14, no. 7: 663. https://doi.org/10.3390/cryst14070663
APA StyleGoral, O., Zukowska, G. Z., Zero, E., Siekierski, M., & Krzton-Maziopa, A. (2024). Understanding Avobenzone Crystallization in Sunscreen Formulations: Role of Metal Oxide-Driven Nucleation and Stabilization Strategies. Crystals, 14(7), 663. https://doi.org/10.3390/cryst14070663

