Two Modifications of Nitrilotris(methylenephenylphosphinic) Acid: A Polymeric Network with Intermolecular (O=P–O–H)3 vs. Monomeric Molecules with Intramolecular (O=P–O–H)3 Hydrogen Bond Cyclotrimers
Abstract
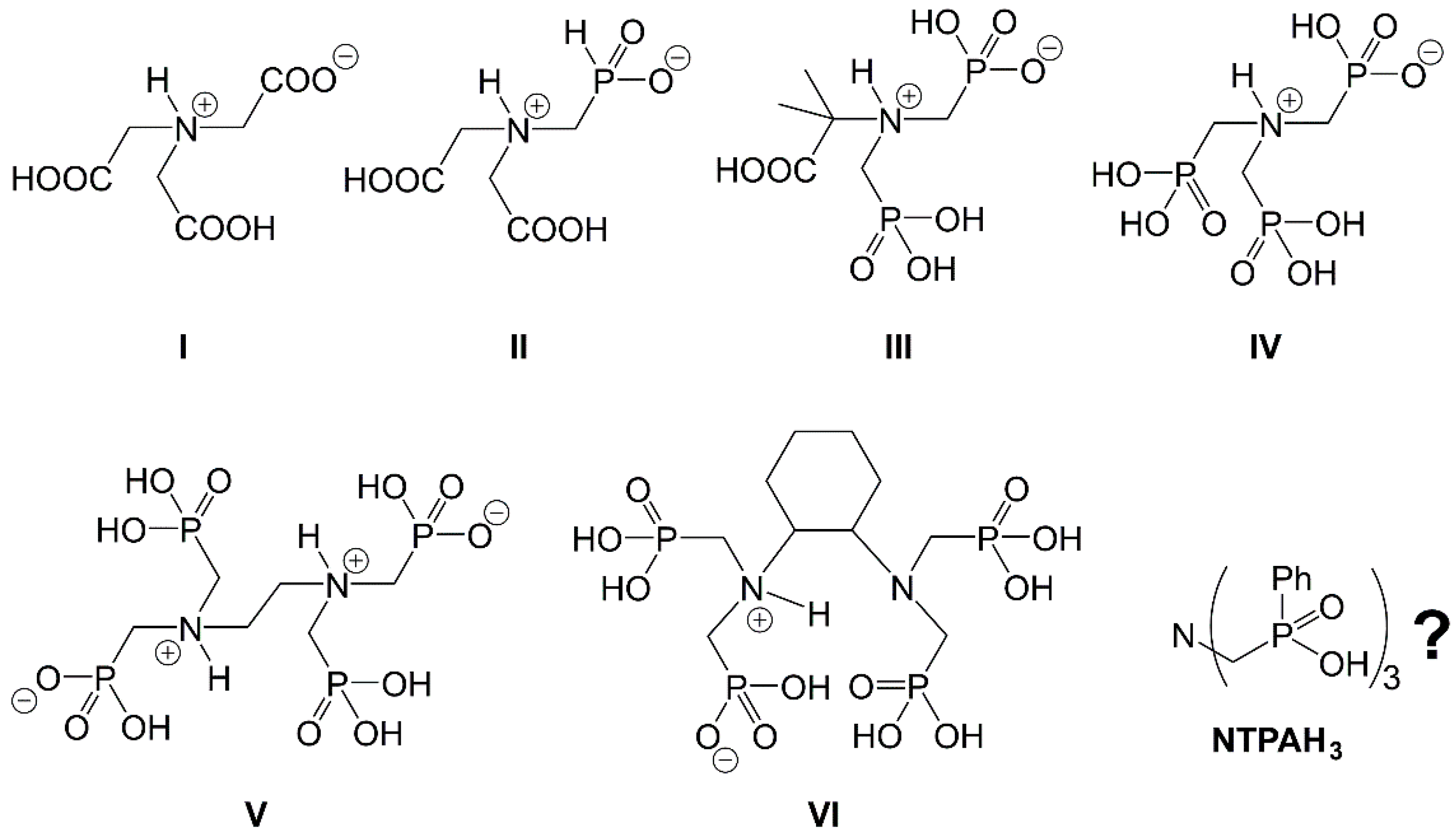
1. Introduction
2. Materials and Methods
2.1. General Considerations
2.2. Syntheses and Characterization
3. Results and Discussion
3.1. Syntheses of NTPAH3 and Its Trimethylsilyl Ester NTPA(SiMe3)3
3.2. Crystallographic Analysis of the Molecular Structures of NTPA(SiMe3)3, NTPAH3P and NTPAH3M
3.3. Computational Analyses of NTPAH3P and NTPAH3M
3.4. IR and Solid-State NMR Spectroscopic Analyses of NTPAH3P and NTPAH3M
4. Conclusions
Supplementary Materials
Author Contributions
Funding
Data Availability Statement
Conflicts of Interest
Appendix A
| Parameter | NTPAH3P 1 | NTPAH3M | NTPA(SiMe3)3 2 |
|---|---|---|---|
| Formula | C21H24NO6P3 | C21H24NO6P3 | C30H48NO6P3Si3 |
| Mr | 479.32 | 479.32 | 695.87 |
| T(K) | 180(2) | 180(2) | 160(2) |
| λ(Å) | 0.71073 | 0.71073 | 0.71073 |
| Crystal system | trigonal | trigonal | trigonal |
| Space group | P3c1 | R3c | |
| a = b(Å) | 9.3792(3) | 18.2554(5) | 12.1818(3) |
| c(Å) | 15.6549(6) | 11.4177(3) | 92.431(3) |
| V(Å3) | 1192.65(9) | 3295.3(2) | 11,878.8(7) |
| Z | 2 | 6 | 12 |
| ρcalc(g·cm−1) | 1.34 | 1.45 | 1.17 |
| μMoKα (mm−1) | 0.3 | 0.3 | 0.3 |
| F(000) | 500 | 1500 | 4440 |
| θmax(°), Rint | 28.0, 0.0662 | 28.0, 0.0350 | 25.0, 0.0492 |
| Completeness | 100% | 100% | 99.9% |
| Reflns collected | 14,281 | 18,163 | 255,15 |
| Reflns unique | 1932 | 1748 | 4686 |
| Restraints | 1 | 1 | 0 |
| Parameters | 99 | 98 | 265 |
| GoF | 1.036 | 1.055 | 1.106 |
| χFlack | 0.05(6) | −0.01(3) | n/a |
| R1, wR2 [I > 2σ(I)] | 0.0317, 0.0711 | 0.0224, 0.0602 | 0.0376, 0.1017 |
| R1, wR2 (all data) | 0.0425, 0.0742 | 0.0243, 0.0610 | 0.0550, 0.1066 |
| Largest peak/hole (e·Å−3) | 0.21, −0.21 | 0.21, −0.15 | 0.30, −0.24 |
References
- Stanford, R.H., Jr. The Crystal Structure of Nitrilotriacetic Acid. Acta Crystallogr. 1967, 23, 825–832. [Google Scholar] [CrossRef]
- Skrzypczak-Jankun, E.; Smith, D.A. Nitrilotriacetic Acid, C6H9NO6. Acta Crystallogr. C 1994, 50, 1097–1099. [Google Scholar] [CrossRef]
- Hoppe, B.; Martens, J. Aminosäuren—Bausteine des Lebens. Chem. Unserer Zeit 1983, 17, 4153. [Google Scholar] [CrossRef]
- Urbanovský, P.; Kotek, J.; C’ísařová, I.; Hermann, P. Selective and clean synthesis of aminoalkyl-H-phosphinic acids from hypophosphorous acid by phospha-Mannich reaction. RSC Adv. 2020, 10, 21329–21349. [Google Scholar] [CrossRef] [PubMed]
- Kasser, J.; Nazarov, A.A.; Hartinger, C.G.; Wdziekonski, B.; Dani, C.; Kuznetsov, M.L.; Arion, V.B.; Keppler, B.K. A one step/one pot synthesis of N,N-bis(phosphonomethyl)amino acids and their effects on adipogenic and osteogenic differentiation of human mesenchymal stem cells. Bioorg. Med. Chem. 2009, 17, 3388–3393. [Google Scholar] [CrossRef] [PubMed]
- Baldwin, R.A.; Cheng, M.T. Organometalloid azides. IV. Preparation and reactions of N,N′-[p-arylenebis(diphenylphosphoranylidyne)]bis(P-phenyl phosphonamidic azides. J. Org. Chem. 1967, 32, 2636–2639. [Google Scholar] [CrossRef]
- Quin, L.D.; Dysart, M.R. Arylphosphinic Acids: Dissociation Constants and Reaction with Diazomethane. J. Org. Chem. 1962, 27, 1012–1014. [Google Scholar] [CrossRef]
- Daly, J.J.; Wheatley, P.J. The Crystal and Molecular Structure of Nitrilotrimethylene Triphosphonic Acid. J. Chem. Soc. A 1967, 1967, 212–221. [Google Scholar] [CrossRef]
- Moschona, A.; Plesu, N.; Mezei, G.; Thomas, A.G.; Demadis, K.D. Corrosion protection of carbon steel by tetraphosphonates of systematically different molecular size. Corros. Sci. 2018, 145, 135–150. [Google Scholar] [CrossRef]
- Bailly, T.; Burgada, R.; Lecouvey, M.; Neuman, A.; Prangé, T. Trans 1,2 diaminocyclohexane as a template in the synthesis of ligands for transition metal and actinide in vivo detoxification. ARKIVOC 2003, 9, 140–149. [Google Scholar] [CrossRef]
- Cecconi, F.; Ghilardi, C.A.; Gili, P.; Midollini, S.; Lorenzo Luis, P.A.; Lozano-Gorrìn, A.D.; Orlandini, A. Complexation of nickel(II) and lead(II) cations with the tripodal nitrilo-tris(methylenephenylphosphinic) acid (H3L). X-ray crystal structure of the dimer [Ni(HL)(DMSO)]2·2DMSO. Inorg. Chim. Acta 2001, 319, 67–74. [Google Scholar] [CrossRef]
- Cecconi, F.; Ghilardi, C.A.; Lorenzo Luis, P.A.; Midollini, S.; Orlandini, A.; Dakternieks, D.; Duthie, A.; Dominguez, S.; Berti, E.; Vacca, A. Complexes of the tripodal nitrilotrimethylenetrisphosphonic (H6L) and P,P′,P″-triphenylnitrilotrimethylenetrisphosphinic (H3L°) acids with the copper(II) ion. Synthesis and characterization of [Hpy][Cu(H3L)(H2O)] and [Cu(HL°)(py)]2⋅2Me2CO. J. Chem. Soc. Dalton Trans. 2001, 30, 211–217. [Google Scholar] [CrossRef]
- Jähnigen, S.; Brendler, E.; Böhme, U.; Kroke, E. Synthesis of silicophosphates containing SiO6-octahedra under ambient conditions—Reactions of anhydrous H3PO4 with alkoxysilanes. Chem. Commun. 2012, 48, 7675–7677. [Google Scholar] [CrossRef]
- Kowalke, J.; Arnold, C.; Ponomarev, I.; Jäger, C.; Kroll, P.; Brendler, E.; Kroke, E. Structural Insight into Layered Silicon Hydrogen Phosphates Containing [SiO6] Octahedra Prepared by Different Reaction Routes. Eur. J. Inorg. Chem. 2019, 2019, 828–836. [Google Scholar] [CrossRef]
- Viehweger, C.; Kowalke, J.; Brendler, E.; Schwarzer, S.; Vogt, C.; Kroke, E. Five- and six-fold coordinated silicon in silicodiphosphonates: Short range order investigation by solid-state NMR spectroscopy. New J. Chem. 2020, 44, 4613–4620. [Google Scholar] [CrossRef]
- Kowalke, J.; Wagler, J.; Viehweger, C.; Brendler, E.; Kroke, E. Ionic Dissociation of SiCl4: Formation of [SiL6]Cl4 with L = Dimethylphosphinic Acid. Chem. Eur. J. 2020, 26, 8003–8006. [Google Scholar] [CrossRef] [PubMed]
- Mohan, B.; Singh, G.; Gupta, R.K.; Sharma, P.K.; Solovev, A.A.; Pombeiro, A.J.L.; Ren, P. Hydrogen-bonded organic frameworks (HOFs): Multifunctional material on analytical monitoring. Trends Anal. Chem. 2024, 170, 117436. [Google Scholar] [CrossRef]
- Lin, R.-B.; Chen, B. Hydrogen-bonded organic frameworks: Chemistry and functions. Chem 2022, 8, 2114–2135. [Google Scholar] [CrossRef]
- Chen, L.; Zhang, B.; Chen, L.; Liu, H.; Hu, Y.; Qiao, S. Hydrogen-bonded organic frameworks: Design, applications, and prospects. Mater. Adv. 2022, 3, 3680–3708. [Google Scholar] [CrossRef]
- Samuel, H.S.; Nweke-Maraizu, U.; Etim, E.E. Understanding Intermolecular and Intramolecular Hydrogen Bonds: Spectroscopic and Computational Approaches. J. Chem. Rev. 2023, 5, 439–465. [Google Scholar] [CrossRef]
- Song, P.; Wang, H. High-Performance Polymeric Materials through Hydrogen-Bond Cross-Linking. Adv. Mater. 2020, 32, 1901244. [Google Scholar] [CrossRef] [PubMed]
- Sheldrick, G.M. SHELXT—Integrated space-group and crystal-structure determination. Acta Crystallogr. A 2015, 71, 3–8. [Google Scholar] [CrossRef] [PubMed]
- Sheldrick, G.M. Program for the Refinement of Crystal Structures; SHELXL-2019/3; University of Göttingen: Göttingen, Germany, 2019. [Google Scholar]
- Sheldrick, G.M. A short history of SHELX. Acta Crystallogr. A 2008, 64, 112–122. [Google Scholar] [CrossRef] [PubMed]
- Farrugia, L.J. ORTEP-3 for windows—A version of ORTEP-III with a graphical user interface (GUI). J. Appl. Crystallogr. 1997, 30, 565. [Google Scholar] [CrossRef]
- Farrugia, L.J. WinGX and ORTEP for Windows: An update. J. Appl. Crystallogr. 2012, 45, 849–854. [Google Scholar] [CrossRef]
- POV-RAY (Version 3.7), Trademark of Persistence of Vision Raytracer Pty. Ltd., Williamstown, Victoria (Australia). Copyright Hallam Oaks Pty. Ltd., 1994–2004. Available online: http://www.povray.org/download/ (accessed on 28 June 2021).
- Neese, F. Software update: The ORCA program system—Version 5.0. WIREs Comput. Mol. Sci. 2022, 12, e1606. [Google Scholar] [CrossRef]
- Weigend, F.; Ahlrichs, R. Balanced basis sets of split valence, triple zeta valence and quadruple zeta valence quality for H to Rn: Design and assessment of accuracy. Phys. Chem. Chem. Phys. 2005, 7, 3297–3305. [Google Scholar] [CrossRef] [PubMed]
- Pantazis, D.A.; Neese, F. All-electron basis sets for heavy elements. WIREs Comput. Mol. Sci. 2014, 4, 363–374. [Google Scholar] [CrossRef]
- van Lenthe, E.; Baerends, E.J.; Snijders, J.G. Relativistic regular two-component Hamiltonians. J. Chem. Phys. 1993, 99, 4597–4610. [Google Scholar] [CrossRef]
- van Wüllen, C. Molecular density functional calculations in the regular relativistic approximation: Method, application to coinage metal diatomics, hydrides, fluorides and chlorides, and comparison with first-order relativistic calculations. J. Chem. Phys. 1998, 109, 392–399. [Google Scholar] [CrossRef]
- Grimme, S.; Ehrlich, S.; Goerigk, L. Effect of the damping function in dispersion corrected density functional theory. J. Comput. Chem. 2011, 32, 1456. [Google Scholar] [CrossRef] [PubMed]
- Grimme, S.; Antony, J.; Ehrlich, S.; Krieg, H. A consistent and accurate ab initio parametrization of density functional dispersion correction (DFT-D) for the 94 elements H-Pu. J. Chem. Phys. 2010, 132, 154104–154119. [Google Scholar] [CrossRef] [PubMed]
- Balasubramani, S.G.; Chen, G.P.; Coriani, S.; Diedenhofen, M.; Frank, M.S.; Franzke, Y.J.; Furche, F.; Grotjahn, R.; Harding, M.E.; Hättig, C.; et al. TURBOMOLE: Modular program suite for ab initio quantum-chemical and condensed-matter simulations. J. Chem. Phys. 2020, 152, 184107. [Google Scholar] [CrossRef] [PubMed]
- Lu, T.; Chen, F. Multiwfn: A Multifunctional Wavefunction Analyzer. J. Comput. Chem. 2012, 33, 580–592. [Google Scholar] [CrossRef] [PubMed]
- Chemcraft, Version 1.8 (Build 164). 2016. Available online: https://www.chemcraftprog.com/ (accessed on 19 September 2015).
- Plaza, A.I.; Grim, S.O.; Motekaitis, R.J.; Martell, A.E. ETHYLENEBIS(NITRILODIMETHYLENE)TETRAKIS(PHENYLPHOSPHINIC ACID). In Inorganic Syntheses; Basolo, F., Ed.; McGraw-Hill, Inc.: New York, NY, USA, 1976; Volume 16, pp. 199–202. [Google Scholar] [CrossRef]
- Nickelsen, J.; van Gerven, D.; Wickleder, M.S. In Situ single crystal growth of tris(trimethylsilyl)phosphate, (Me3SiO)3PO. Z. Anorg. Allg. Chem. 2022, 648, e202200184. [Google Scholar] [CrossRef]
- Ishida, S.; Hirakawa, F.; Iwamoto, T. Reactions of a Stable Phosphinyl Radical with Stable Aminoxyl Radicals. Chem. Lett. 2015, 44, 94–96. [Google Scholar] [CrossRef]
- This Refers to a Search in the Cambridge Structure Database Using ConQuest Version 2023.3.0 (Build 392113). Available online: https://www.ccdc.cam.ac.uk/solutions/software/conquest (accessed on 10 June 2024).
- Bernstein, J.; Davis, R.E.; Shimoni, L.; Chang, N.-L. Patterns in Hydrogen Bonding: Functionality and Graph Set Analysis in Crystals. Angew. Chem. Int. Ed. 1995, 34, 1555–1573. [Google Scholar] [CrossRef]
- Spackman, P.R.; Turner, M.J.; McKinnon, J.J.; Wolff, S.K.; Grimwood, D.J.; Jayatilaka, D.; Spackman, M.A. CrystalExplorer: A program for Hirshfeld surface analysis, visualization and quantitative analysis of molecular crystals. J. Appl. Cryst. 2021, 54, 1006–1011. [Google Scholar] [CrossRef]
- Asfin, R.E.; Denisov, G.S.; Poplevchenkov, D.N.; Tokhadze, K.G.; Velikanova, T.V. IR υ(OH) Band and Dimerization of Phosphorus Acids in the Gas Phase and Solid State. Pol. J. Chem. 2002, 76, 1223–1231. [Google Scholar]
- Asfin, R.E.; Denisov, G.S.; Tokhadze, K.G. The infrared spectra and enthalpies of strongly bound dimers of phosphinic acids in the gas phase. (CH2Cl)2POOH and (C6H5)2POOH. J. Mol. Struct. 2002, 608, 161–168. [Google Scholar] [CrossRef]
- Emamian, S.; Lu, T.; Kruse, H.; Emamian, H. Exploring Nature and Predicting Strength of Hydrogen Bonds: A Correlation Analysis Between Atoms-in-Molecules Descriptors, Binding Energies, and Energy Components of Symmetry-Adapted Perturbation Theory. J. Comput. Chem. 2019, 40, 2868–2881. [Google Scholar] [CrossRef] [PubMed]
- Hadzi, D. Infrared spectra of strongly hydrogen-bonded systems. Pure Appl. Chem. 1965, 11, 435–454. [Google Scholar] [CrossRef]
- Harris, R.K.; Jackson, P.; Merwin, L.H.; Say, B.J.; Hägele, G. Perspectives in high-resolution solid-state nuclear magnetic resonance, with emphasis on combined rotation and multiple-pulse spectroscopy. J. Chem. Soc. Faraday Trans. 1 1988, 84, 3649–3672. [Google Scholar] [CrossRef]
- Berglund, B.; Vaughan, R.W. Correlations between proton chemical shift tensors, deuterium quadrupole couplings, and bond distances for hydrogen bonds in solids. J. Chem. Phys. 1980, 73, 2037–2043. [Google Scholar] [CrossRef]
- Chand, S.; Elahi, S.M.; Pal, A.; Das, M.C. Metal–Organic Frameworks and Other Crystalline Materials for Ultrahigh Superprotonic Conductivities of 10–2 s cm−1 or Higher. Chem. Eur. J. 2019, 25, 6259–6269. [Google Scholar] [CrossRef] [PubMed]
- Hao, B.-B.; Wang, X.-X.; Zhang, C.-X.; Wang, Q. Two Hydrogen-Bonded Organic Frameworks with Imidazole Encapsulation: Synthesis and Proton Conductivity. Cryst. Growth. Des. 2021, 21, 3908–3915. [Google Scholar] [CrossRef]
- Li, S.; Liu, Y.; Li, L.; Liu, C.; Li, J.; Ashraf, S.; Li, P.; Wang, B. Enhanced Proton Conductivity of Imidazole-Doped Thiophene-Based Covalent Organic Frameworks via Subtle Hydrogen Bonding Modulation. ACS Appl. Mater. Interfaces 2020, 12, 22910–22916. [Google Scholar] [CrossRef] [PubMed]
- Staiger, A.; Paren, B.A.; Zunker, R.; Hoang, S.; Häußler, M.; Winey, K.I.; Mecking, S. Anhydrous Proton Transport within Phosphonic Acid Layers in Monodisperse Telechelic Polyethylenes. J. Am. Chem. Soc. 2021, 143, 16725–16733. [Google Scholar] [CrossRef] [PubMed]
- Wang, K.; Li, T.; Zeng, H.; Zou, G.; Zhang, Q.; Lin, Z. Ionothermal Synthesis of Open-Framework Metal Phosphates Using a Multifunctional Ionic Liquid. Inorg. Chem. 2018, 57, 8726–8729. [Google Scholar] [CrossRef]
- Zhang, K.-M.; Lou, Y.-L.; He, F.-Y.; Duanm, H.-B.; Huang, X.-Q.; Fan, Y.; Zhao, H.-R. The water-mediated proton conductivity of a 1D open framework inorganic-organic hybrid iron phosphate and its composite membranes. Inorg. Chem. Commun. 2021, 134, 109032. [Google Scholar] [CrossRef]
- Caldwell, L.M.; Hill, A.F.; Rae, A.D.; Willis, A.C. Alkynylselenolatoalkylidynes: [Mo(≡CSeC≡CR)(CO)2{HB(pzMe2)3}] (R = CMe3, SiMe3; pzMe2 = 3,5-Dimethylpyrazol-1-yl). Organometallics 2008, 27, 341–345. [Google Scholar] [CrossRef]












| NTPA(SiMe3)3 1 | NTPAH3P | NTPAH3M | |
|---|---|---|---|
| N–C | 1.473(2)/1.469(2) | 1.469(3) | 1.467(2) |
| P–C(CH2) | 1.801(2)/1.802(2) | 1.806(3) | 1.817(2) |
| P–C(Ph) | 1.788(2)/1.797(2) | 1.796(3) | 1.786(2) |
| P–O | 1.575(2)/1.571(2) | 1.547(2) | 1.533(2) |
| P=O | 1.469(2)/1.471(2) | 1.494(2) | 1.510(2) |
| C-N-C | 110.37(12)/111.11(12) | 109.56(17) | 116.04(9) |
| N-C-P | 113.21(14)/113.08(14) | 115.74(18) | 109.29(15) |
| C-P-C | 107.12(10)/107.92(9) | 109.81(13) | 109.32(9) |
| O-P-O | 115.57(9)/116.07(9) | 115.79(15) | 114.40(11) |
| C(CH2)-P-O(H/Si) | 100.15(8)/99.73(8) | 98.48(13) | 107.29(1) |
| C(CH2)-P=O | 114.93(9)/114.58(9) | 113.47(12) | 109.62(10) |
| C(Ph)-P-O(H/Si) | 104.79(10)/104.74(9) | 109.33(13) | 106.67(10) |
| C(Ph)-P=O | 112.98(11)/112.57(10) | 109.46(14) | 109.45(9) |
| ΣX-P=O 2 | 343.5/343.2 | 338.7 | 333.5 |
| Compound | P=O | P–O | O–H | H⋅⋅⋅O | O⋅⋅⋅O | C-N-C |
|---|---|---|---|---|---|---|
| NTPA(SiMe3)3 (XRD) | 1.469(2) | 1.574(2) | - | - | - | 110.4(1) |
| 1.471(2) | 1.571(2) | - | - | - | 111.1(1) | |
| NTPAH3P (XRD) | 1.494(2) | 1.547(2) | - 1 | - 1 | 2.487(3) | 109.6(2) |
| NTPAH3M (XRD) | 1.510(2) | 1.533(2) | - 1 | - 1 | 2.450(2) | 116.0(1) |
| NTPAH3POPT-1 2 | 1.476 | 1.608 | 0.96 | - | - | 112.5 |
| NTPAH3MOPT-1 2 | 1.496 | 1.553 | 1.03 | 1.47 | 2.495 | 116.8 |
| NTPAH3POPT-CRYST 2 | 1.559 | 1.607 | 1.06 | 1.41 | 2.469 | 109.3 |
| NTPAH3MOPT-CRYST 2 | 1.558 | 1.610 | 1.07 | 1.41 | 2.480 | 116.9 |
Disclaimer/Publisher’s Note: The statements, opinions and data contained in all publications are solely those of the individual author(s) and contributor(s) and not of MDPI and/or the editor(s). MDPI and/or the editor(s) disclaim responsibility for any injury to people or property resulting from any ideas, methods, instructions or products referred to in the content. |
© 2024 by the authors. Licensee MDPI, Basel, Switzerland. This article is an open access article distributed under the terms and conditions of the Creative Commons Attribution (CC BY) license (https://creativecommons.org/licenses/by/4.0/).
Share and Cite
Knerr, S.; Brendler, E.; Gericke, R.; Kroke, E.; Wagler, J. Two Modifications of Nitrilotris(methylenephenylphosphinic) Acid: A Polymeric Network with Intermolecular (O=P–O–H)3 vs. Monomeric Molecules with Intramolecular (O=P–O–H)3 Hydrogen Bond Cyclotrimers. Crystals 2024, 14, 662. https://doi.org/10.3390/cryst14070662
Knerr S, Brendler E, Gericke R, Kroke E, Wagler J. Two Modifications of Nitrilotris(methylenephenylphosphinic) Acid: A Polymeric Network with Intermolecular (O=P–O–H)3 vs. Monomeric Molecules with Intramolecular (O=P–O–H)3 Hydrogen Bond Cyclotrimers. Crystals. 2024; 14(7):662. https://doi.org/10.3390/cryst14070662
Chicago/Turabian StyleKnerr, Steven, Erica Brendler, Robert Gericke, Edwin Kroke, and Jörg Wagler. 2024. "Two Modifications of Nitrilotris(methylenephenylphosphinic) Acid: A Polymeric Network with Intermolecular (O=P–O–H)3 vs. Monomeric Molecules with Intramolecular (O=P–O–H)3 Hydrogen Bond Cyclotrimers" Crystals 14, no. 7: 662. https://doi.org/10.3390/cryst14070662
APA StyleKnerr, S., Brendler, E., Gericke, R., Kroke, E., & Wagler, J. (2024). Two Modifications of Nitrilotris(methylenephenylphosphinic) Acid: A Polymeric Network with Intermolecular (O=P–O–H)3 vs. Monomeric Molecules with Intramolecular (O=P–O–H)3 Hydrogen Bond Cyclotrimers. Crystals, 14(7), 662. https://doi.org/10.3390/cryst14070662

