Coupling Response of Piezoelectric Semiconductor Composite Fiber under Local Temperature Change
Abstract
1. Introduction
2. Basic Equations
3. 1D Model for Extension of Composite PS Fiber
4. Potential Barriers and Potential Wells Created by Local Temperature Change
5. Numerical Results and Discussion
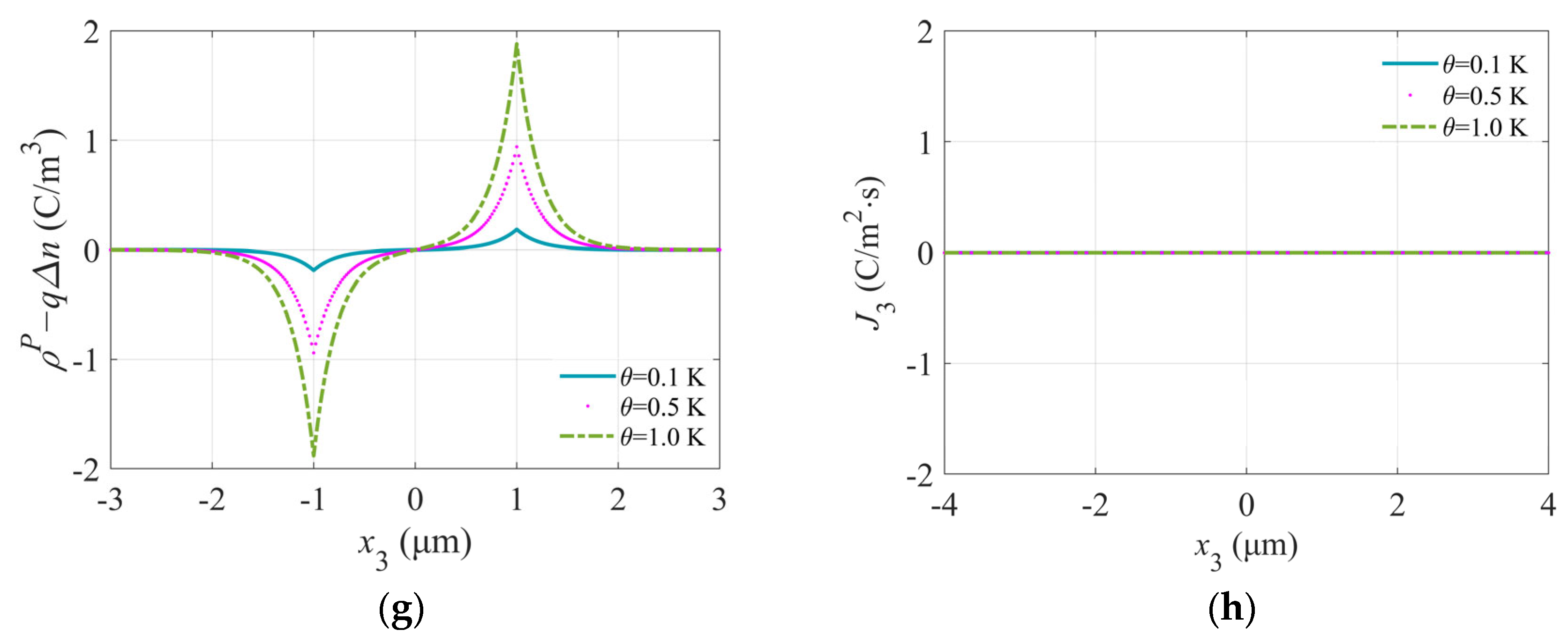
5.1. Effect of Local Temperature Change on PS Composite Fiber
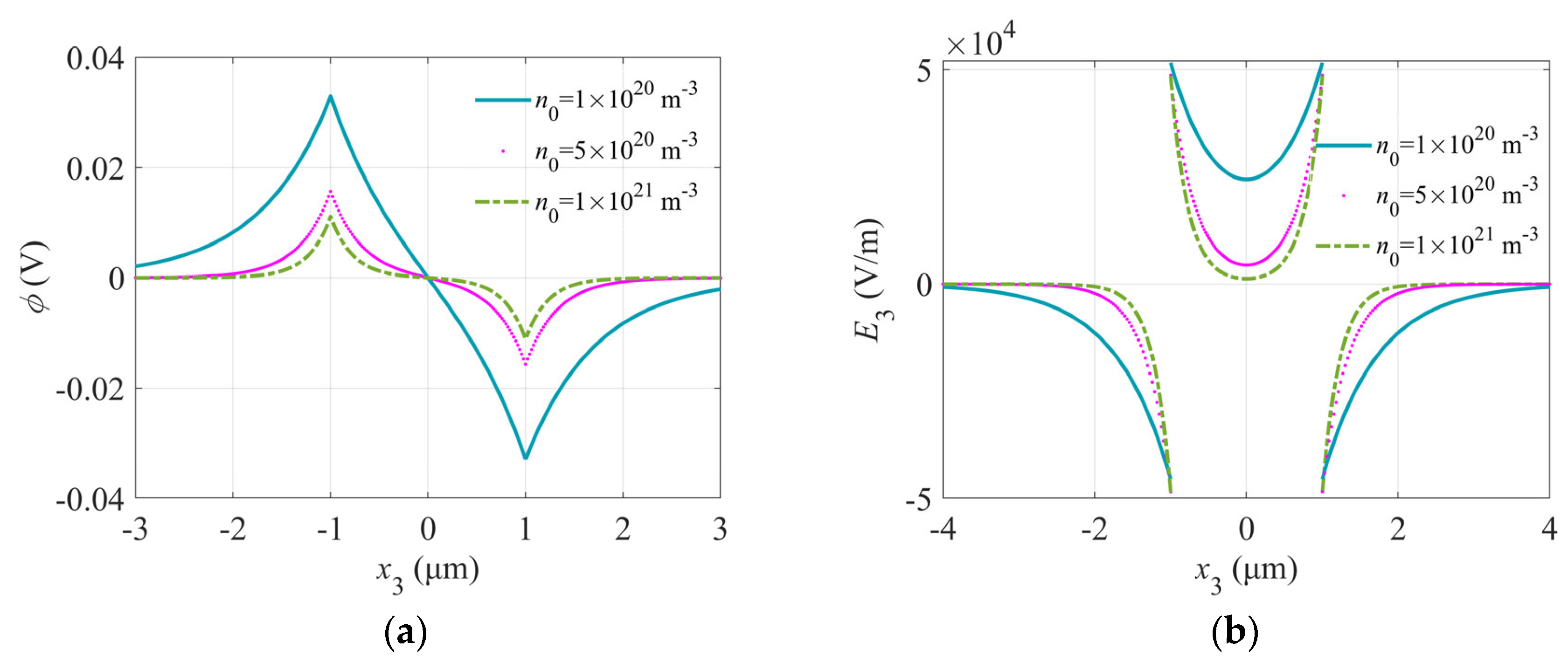
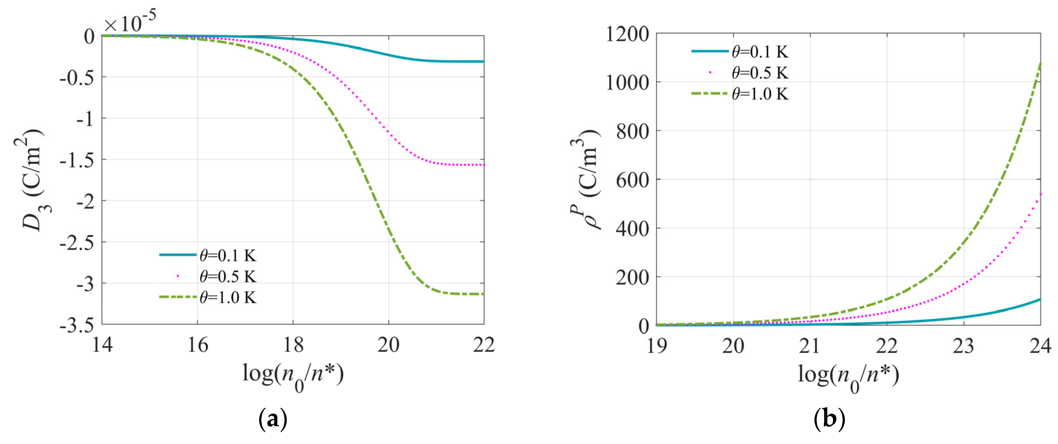
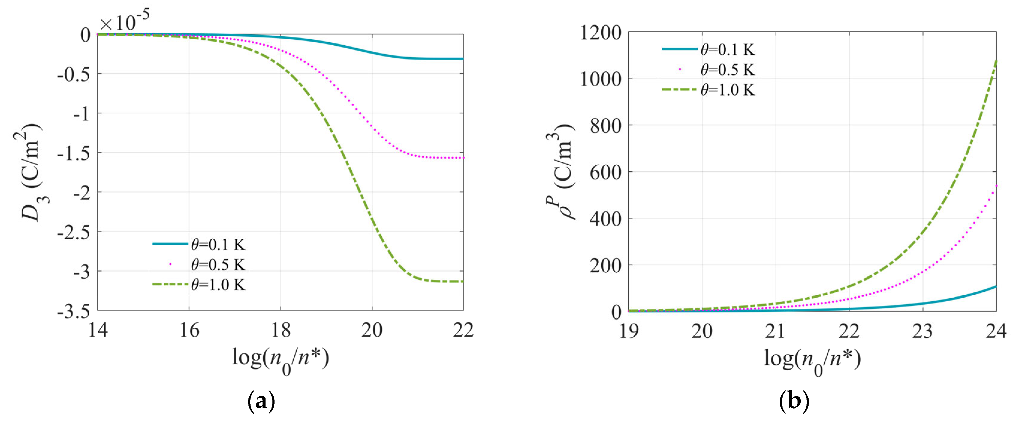
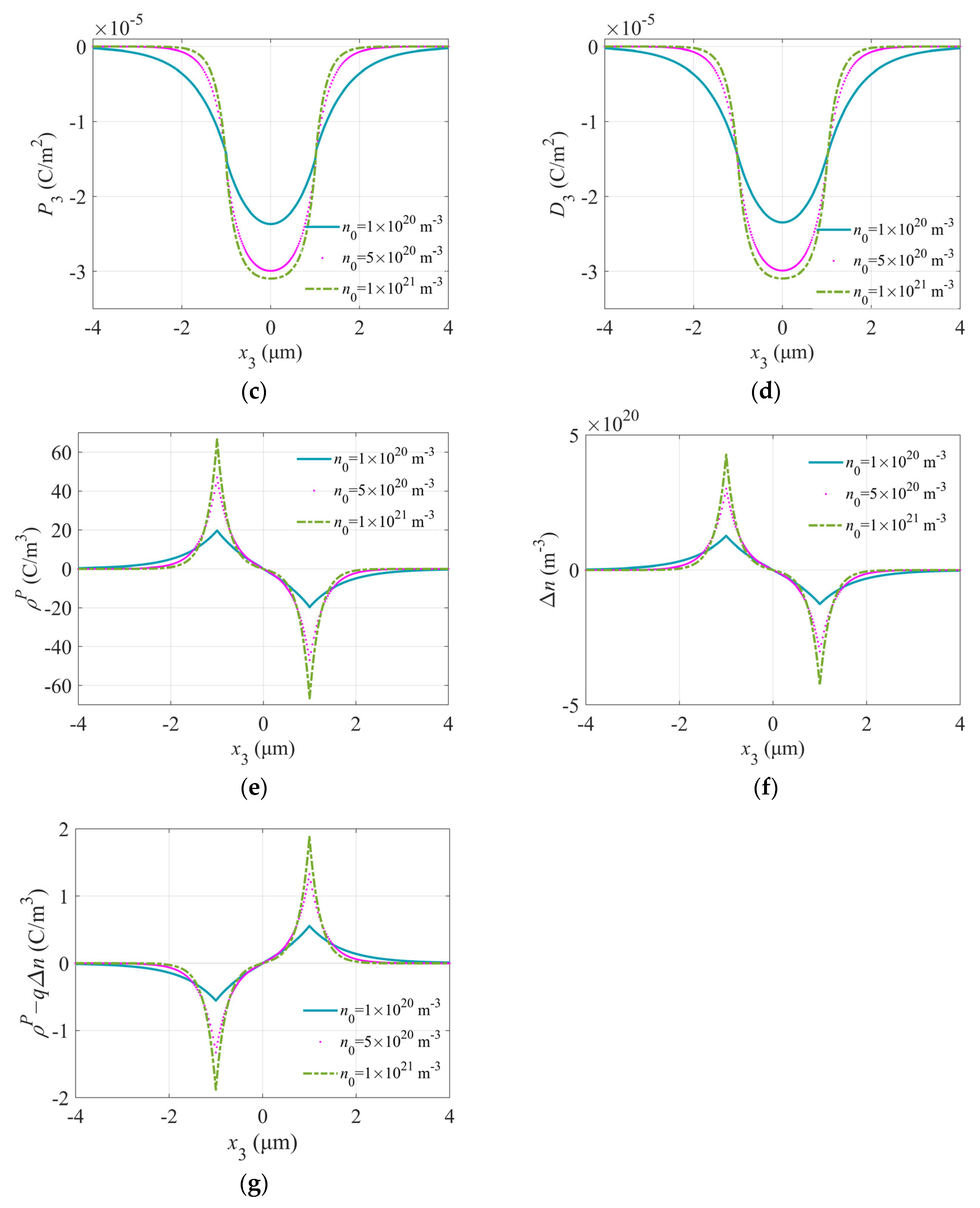
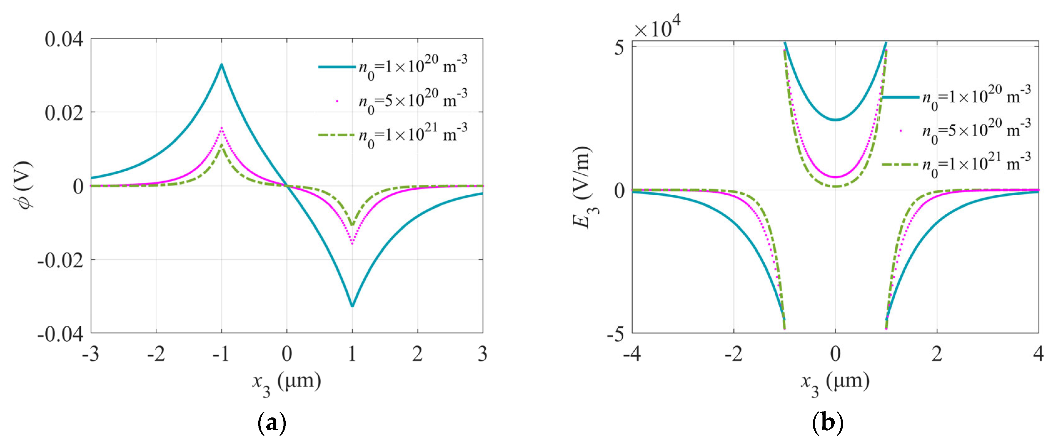
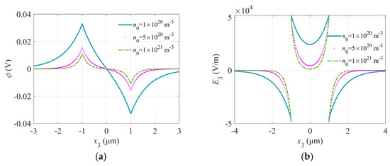
5.2. Effect of Initial Carrier Concentration on PS Composite Fiber
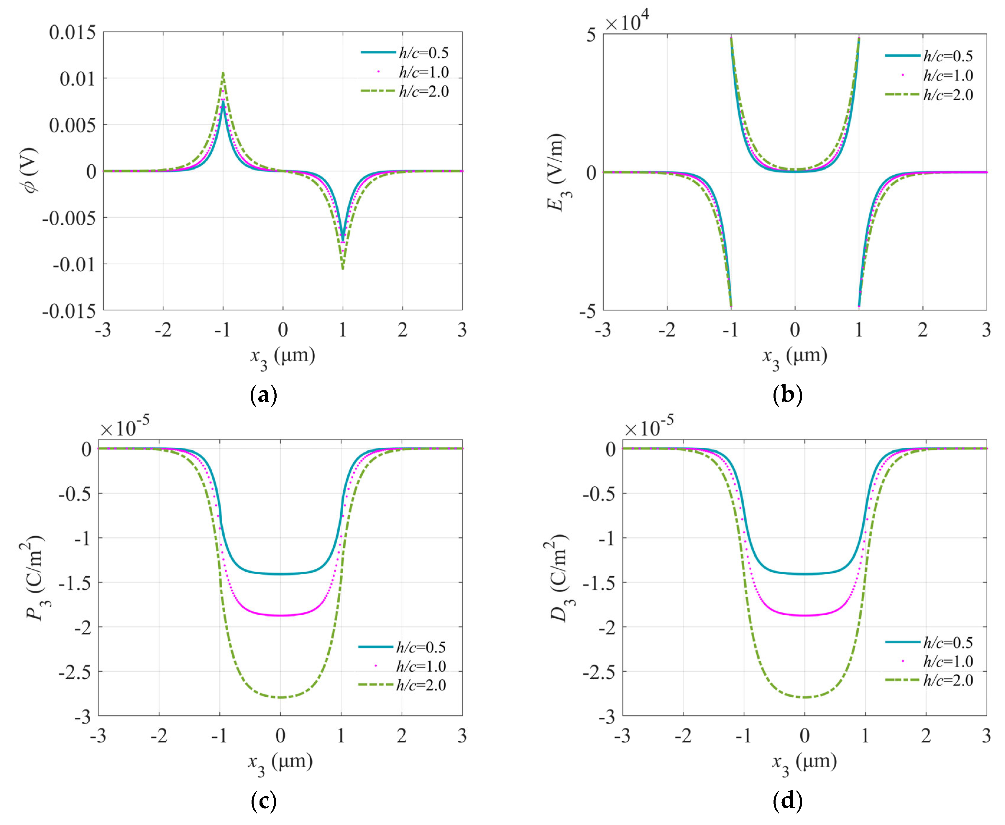
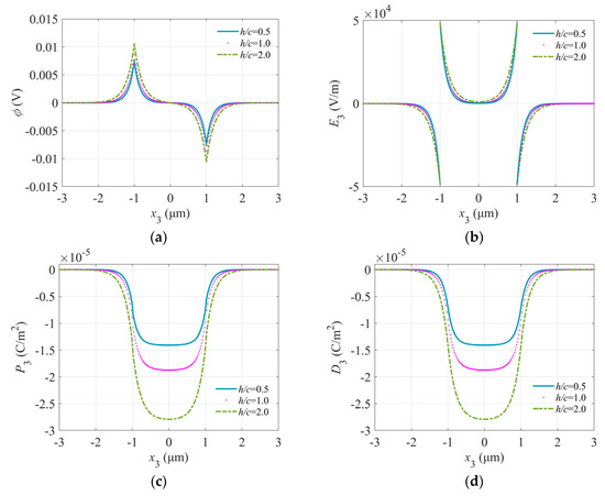
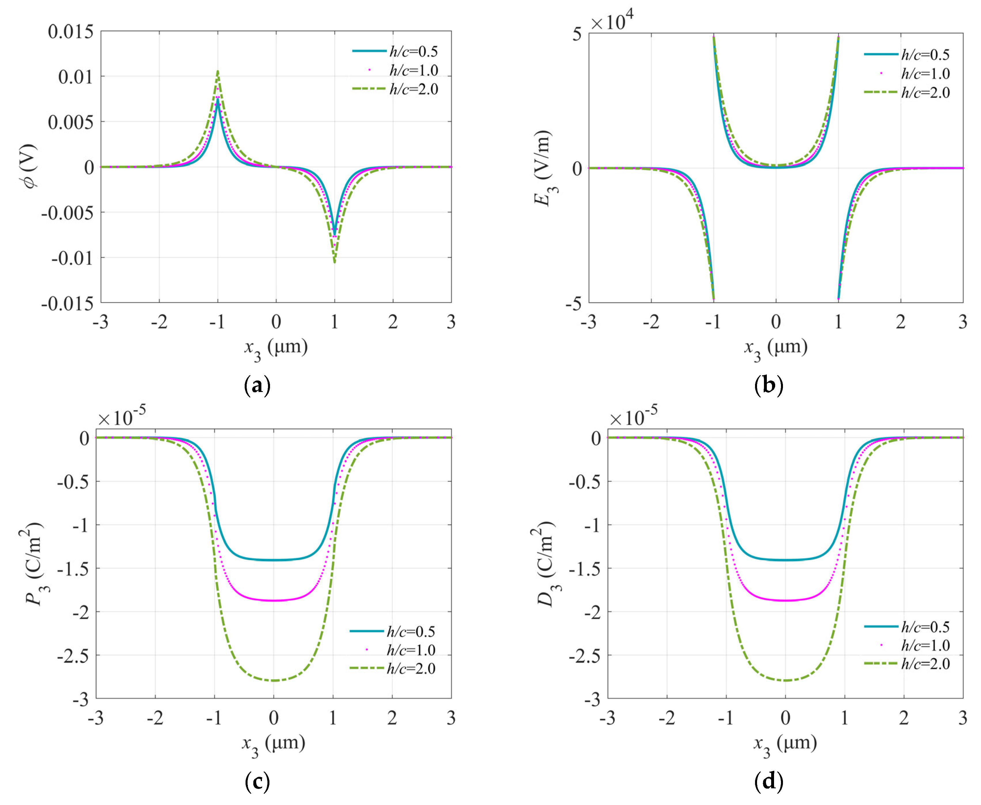
5.3. Effect of the Geometrical Parameters on PS Composite Fiber
6. Conclusions
- (1)
- Local temperature change can cause local polarization of piezoelectric semiconductor composite optical fiber. This, in turn, generates localized potentials and barrier wells, effectively hindering the flow of low-energy electrons along the fiber. Various fields within the composite fiber exhibit sensitivity to temperature, with greater temperature variations resulting in stronger fields. At interfaces where abrupt temperature changes occur, significant positive and negative shifts in potential are observed.
- (2)
- Both the initial carrier concentration and the geometrical parameters of the composite fiber significantly influence the individual fields within it, offering the potential for effective regulation. Consequently, the variation in local temperature acts akin to a diode, enabling effective control over electron flow through potential barriers and wells.
Author Contributions
Funding
Data Availability Statement
Conflicts of Interest
Appendix A
References
- Wang, Z.L.; Wu, W.Z.; Falconi, C. Piezotronics and piezophototronics with third generation semiconductors. MRS Bull. 2018, 43, 922–927. [Google Scholar] [CrossRef]
- Zhang, Y.; Leng, Y.; Willatzen, M.; Huang, B. Theory of piezotronics and piezophototronics. MRS Bull. 2018, 43, 928–935. [Google Scholar] [CrossRef]
- Wang, C.; Bao, R.; Zhao, K.; Zhang, T.; Dong, L.; Pan, C. Enhanced emission intensity of vertical aligned flexible ZnO nanowire/p-polymer hybridized LED array by piezophototronic effect. Nano Energy 2015, 14, 364–371. [Google Scholar] [CrossRef]
- Wang, X.; Peng, W.; Yu, R.; Zou, H.; Dai, Y.; Zi, Y.; Wu, C.; Li, S.; Wang, Z.L. Simultaneously enhancing light emission and suppressing efficiency droop in GaN microwire-based ultraviolet light-emitting diode by the piezo-phototronic effect. Nano Lett. 2017, 17, 3718–3724. [Google Scholar] [CrossRef] [PubMed]
- Zhu, L.; Wang, L.; Xue, F.; Chen, L.; Fu, J.; Feng, X.; Li, T.; Wang, Z.L. Piezophototronic effect enhanced flexible solar cells based on n-ZnO/p-SnS core-shell nanowire array. Adv. Sci. 2017, 4, 1600185. [Google Scholar] [CrossRef]
- Zhu, L.; Zhang, Y.; Lin, P.; Wang, Y.; Yang, L.; Chen, L.; Wang, L.; Chen, B.; Wang, Z.L. Piezotronic effect on Rashba spin-orbit coupling in a ZnO/P3HT nanowire array structure. ACS Nano 2018, 12, 1811–1820. [Google Scholar] [CrossRef] [PubMed]
- Wang, L.; Liu, S.; Zhang, Z.; Feng, X.; Zhu, L.; Guo, H.; Ding, W.; Chen, L.; Qin, Y.; Wang, Z.L. 2D piezotronics in atomically thin zinc oxide sheets: Interfacing gating and channel width gating. Nano Energy 2019, 60, 724–733. [Google Scholar] [CrossRef]
- Qu, Y.L.; Pan, E.; Zhu, F.; Roy, A.K. Modeling thermoelectric effects in piezoelectric semiconductors: New fully coupled mechanisms for mechanically manipulated heat flux and refrigeration. Int. J. Eng. Sci. 2023, 180, 103775. [Google Scholar] [CrossRef]
- Auld, B.A. Acoustic Fields and Waves in Solids; John Wiley and Sons: New York, NY, USA, 1973; Volume I. [Google Scholar]
- Pierret, R.F. Semiconductor Fundamentals, 2nd ed.; Addison-Wesley: Boston, MA, USA, 1988. [Google Scholar]
- Yang, G.Y.; Du, J.K.; Wang, J.; Yang, J.S. Extension of a piezoelectric semiconductor fiber with consideration of electrical nonlinearity. Acta Mech. 2018, 229, 4663–4676. [Google Scholar] [CrossRef]
- Guo, M.K.; Li, Y.; Qin, G.S.; Zhao, M.H. Nonlinear solutions of PN junctions of piezoelectric semiconductors. Acta Mech. 2019, 230, 1825–1841. [Google Scholar] [CrossRef]
- Zhang, C.; Wang, X.; Chen, W.; Yang, J. An analysis of the extension of a ZnO piezoelectric semiconductor fiber under an axial force. Smart Mater. Struct. 2017, 26, 25030. [Google Scholar] [CrossRef]
- Araneo, R.; Lovat, G.; Burghignoli, P.; Falconi, C. Piezo-semiconductive quasi-1D nanodevices with or without anti-symmetry. Adv. Mater. 2012, 24, 4719–4724. [Google Scholar] [CrossRef] [PubMed]
- Wang, G.; Liu, J.; Liu, X.; Feng, W.; Yang, J. Extensional vibration characteristics and screening of polarization charges in a ZnO piezoelectric semiconductor fiber. J. Appl. Phys. 2018, 124, 094502. [Google Scholar] [CrossRef]
- Yang, W.; Hu, Y.; Yang, J. Transient extensional vibration in a ZnO piezoelectric semiconductor fiber under a suddenly applied end force. Materials Research Express. 2018, 6, 025902. [Google Scholar] [CrossRef]
- Huang, H.; Qian, Z.; Yang, J. IV characteristics of a piezoelectric semiconductor nanofiber under local tensile/compressive stress. J. Appl. Phys. 2019, 126, 164902. [Google Scholar] [CrossRef]
- Gao, Y.; Wang, Z.L. Electrostatic potential in a bent piezoelectric nanowire. The fundamental theory of nanogenerator and nanopiezotronics. Nano Lett. 2007, 7, 2499–2505. [Google Scholar] [CrossRef] [PubMed]
- Gao, Y.; Wang, Z.L. Equilibrium potential of free charge carriers in a bent piezoelectric semiconductive nanowire. Nano Lett. 2009, 9, 1103–1110. [Google Scholar] [CrossRef] [PubMed]
- Fan, S.; Liang, Y.; Xie, J.; Hu, Y. Exact solutions to the electromechanical quantities inside a statically-bent circular ZnO nanowire by taking into account both the piezoelectric property and the semiconducting performance: Part I–Linearized analysis. Nano Energy 2017, 40, 82–87. [Google Scholar] [CrossRef]
- Dai, X.; Zhu, F.; Qian, Z.; Yang, J. Electric potential and carrier distribution in a piezoelectric semiconductor nanowire in time-harmonic bending vibration. Nano Energy 2018, 43, 22–28. [Google Scholar] [CrossRef]
- Wauer, J.; Suherman, S. Thickness vibrations of a piezo-semiconducting plate layer. Int. J. Eng. Sci. 1997, 35, 1387–1404. [Google Scholar] [CrossRef]
- Li, P.; Jin, F.; Yang, J. Effects of semiconduction on electromechanical energy conversion in piezoelectrics. Smart Mater. Struct. 2015, 24, 025021. [Google Scholar] [CrossRef]
- Gu, C.; Jin, F. Shear-horizontal surface waves in a half-space of piezoelectric semiconductors. Philos. Mag. Lett. 2015, 95, 92–100. [Google Scholar] [CrossRef]
- Yang, L.; Zappino, E.; Carrera, E.; Du, J. Shear horizontal waves in a multiferroic composite semiconductor structure. Ultrasonics 2024, 139, 107287. [Google Scholar] [CrossRef] [PubMed]
- Jiao, F.; Wei, P.; Zhou, Y.; Zhou, X. Wave propagation through a piezoelectric semiconductor slab sandwiched by two piezoelectric half-spaces. Eur. J. Mech. A Solids 2019, 75, 70–81. [Google Scholar] [CrossRef]
- Jiao, F.; Wei, P.; Zhou, X.; Zhou, Y. The dispersion and attenuation of the multi-physical fields coupled waves in a piezoelectric semiconductor. Ultrasonics 2019, 92, 68–78. [Google Scholar] [CrossRef] [PubMed]
- Zhu, F.; Ji, S.; Zhu, J.; Qian, Z.; Yang, J. Study on the influence of semiconductive property for the improvement of nanogenerator by wave mode approach. Nano Energy 2018, 52, 474–484. [Google Scholar] [CrossRef]
- Cao, X.; Hu, S.; Liu, J.; Shi, J. Generalized Rayleigh surface waves in a piezoelectric semiconductor half space. Meccanica 2019, 54, 271–281. [Google Scholar] [CrossRef]
- Luo, Y.; Zhang, C.; Chen, W.; Yang, J. An analysis of PN junctions in piezoelectric semiconductors. J. Appl. Phys. 2017, 122, 204502. [Google Scholar] [CrossRef]
- Yang, G.; Yang, L.; Du, J.; Wang, J.; Yang, J. PN junctions with coupling to bending deformation in composite piezoelectric semiconductor fiber. Int. J. Mech. Sci. 2020, 173, 105421. [Google Scholar] [CrossRef]
- Zhou, X.; Shen, B.; Lyubartsev, A.; Zhai, J.; Hedin, N. Semiconducting piezoelectric heterostructures for piezo-and piezophotocatalysis. Nano Energy 2022, 96, 107141. [Google Scholar] [CrossRef]
- Yang, J. An Anti-plane Crack in a Piezoelectric Semiconductor. Int. J. Fract. 2005, 136, L27. [Google Scholar] [CrossRef]
- Hu, Y.; Zeng, Y.; Yang, J. A mode III crack in a piezoelectric semiconductor of crystals with 6 mm symmetry. Int. J. Solids Struct. 2007, 44, 3928–3938. [Google Scholar] [CrossRef]
- Zhao, M.; Pan, Y.; Fan, C.; Xu, G. Extended displacement discontinuity method for analysis of cracks in 2D piezoelectric semiconductors. Int. J. Solids Struct. 2016, 94, 50–59. [Google Scholar] [CrossRef]
- Yang, J. Analysis of Piezoelectric Semiconductor Structures; Springer International Publishing: Cham, Switzerland, 2020. [Google Scholar]
- Cheng, R.R.; Zhang, C.; Yang, J. Thermally induced carrier distribution in a piezoelectric semiconductor fiber. J. Electron. Mater. 2019, 48, 4939–4946. [Google Scholar] [CrossRef]
- Cheng, R.R.; Zhang, C.; Yang, J. Electrical behaviors of a piezoelectric semiconductor fiber under a local temperature change. Nano Energy 2019, 66, 104081. [Google Scholar] [CrossRef]
- Li, S.; Cheng, R.; Ma, N.; Zhang, C. Analysis of piezoelectric semiconductor fiber under gradient temperature changes. Appl. Math. Mech. 2024, 45, 311–320. [Google Scholar] [CrossRef]
- Hellwege, K.H.; Hellwege, A.M. Numerical Data and Functional Relationships in Science and Technology Group III Crystal and Solid State Physics; Springer: Berlin/Heidelberg, Germany, 1979. [Google Scholar]
- Albertsson, J.; Abrahams, S.C.; Kvick, Å. Atomic displacement, anharmonic thermal vibration, expansivity and pyroelectric coefficient thermal dependences in ZnO. Acta Crystallogr. Sect. B Struct. Sci. 1989, 45, 34–40. [Google Scholar] [CrossRef]
- Ramirez, F.; Heyliger, P.R.; Pan, E. Free vibration response of two-dimensional magneto-electro-elastic laminated plates. J. Sound Vib. 2006, 292, 626–644. [Google Scholar] [CrossRef]
- Xie, J.; Mane, X.P.; Green, C.W.; Mossi, K.M.; Leang, K.K. Performance of thin piezoelectric materials for pyroelectric energy harvesting. J. Intell. Mater. Syst. Struct. 2010, 21, 243–249. [Google Scholar] [CrossRef]
- Park, J.S.; Kim, J.H. Coefficients of thermal expansion for single crystal piezoelectric fiber composites. Compos. Part B Eng. 2007, 38, 795–799. [Google Scholar] [CrossRef]









Disclaimer/Publisher’s Note: The statements, opinions and data contained in all publications are solely those of the individual author(s) and contributor(s) and not of MDPI and/or the editor(s). MDPI and/or the editor(s) disclaim responsibility for any injury to people or property resulting from any ideas, methods, instructions or products referred to in the content. |
© 2024 by the authors. Licensee MDPI, Basel, Switzerland. This article is an open access article distributed under the terms and conditions of the Creative Commons Attribution (CC BY) license (https://creativecommons.org/licenses/by/4.0/).
Share and Cite
Liu, C.; Wang, W. Coupling Response of Piezoelectric Semiconductor Composite Fiber under Local Temperature Change. Crystals 2024, 14, 628. https://doi.org/10.3390/cryst14070628
Liu C, Wang W. Coupling Response of Piezoelectric Semiconductor Composite Fiber under Local Temperature Change. Crystals. 2024; 14(7):628. https://doi.org/10.3390/cryst14070628
Chicago/Turabian StyleLiu, Chengcheng, and Wenjun Wang. 2024. "Coupling Response of Piezoelectric Semiconductor Composite Fiber under Local Temperature Change" Crystals 14, no. 7: 628. https://doi.org/10.3390/cryst14070628
APA StyleLiu, C., & Wang, W. (2024). Coupling Response of Piezoelectric Semiconductor Composite Fiber under Local Temperature Change. Crystals, 14(7), 628. https://doi.org/10.3390/cryst14070628
