Enantiopurification by Co-Crystallization within Cyclodextrin Metal–Organic Framework
Abstract
1. Introduction
2. Materials and Methods
2.1. Materials
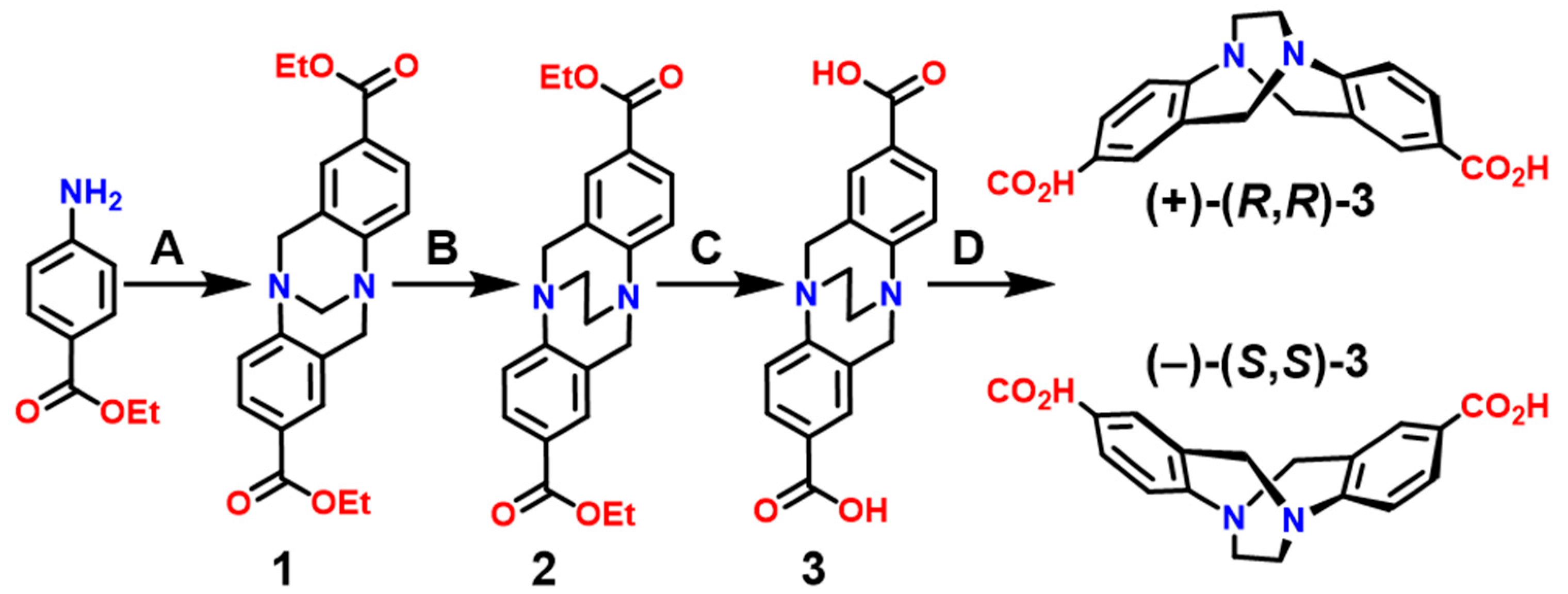
2.2. Synthesis of Tröger’s Base Analog (±)-1
2.3. Synthesis of Tröger’s Base Analog (±)-2
2.4. Synthesis of Tröger’s Base Analog (±)-3
2.5. Preparation of Potassium Salt of Tröger’s Base Analog (±)-3
2.6. Enantiopurification of Tröger’s Base Analog (–)-(S,S)-3
2.7. Enantiopurification of Tröger’s Base Analog (+)-(R,R)-3
3. Results and Discussion
4. Conclusions
5. Patents
Supplementary Materials
Author Contributions
Funding
Data Availability Statement
Acknowledgments
Conflicts of Interest
References
- Gübitz, G.; Schmid, M.G. Chiral separation by chromatographic and electromigration techniques. A Review. Biopharm. Drug Dispos. 2001, 22, 291–336. [Google Scholar] [CrossRef]
- Ward, T.J.; Ward, K.D. Chiral Separations: A Review of Current Topics and Trends. Anal. Chem. 2012, 84, 626–635. [Google Scholar] [CrossRef]
- Scriba, G.K.E. Chiral recognition in separation science—An update. J. Chromatogr. A 2016, 1467, 56–78. [Google Scholar] [CrossRef]
- Chankvetadze, B. Recent trends in preparation, investigation and application of polysaccharide-based chiral stationary phases for separation of enantiomers in high-performance liquid chromatography. TrAC Trends Anal. Chem. 2020, 122, 115709. [Google Scholar] [CrossRef]
- Holcroft, J.M.; Hartlieb, K.J.; Moghadam, P.Z.; Bell, J.G.; Barin, G.; Ferris, D.P.; Bloch, E.D.; Algaradah, M.M.; Nassar, M.S.; Botros, Y.Y.; et al. Carbohydrate-Mediated Purification of Petrochemicals. J. Am. Chem. Soc. 2015, 137, 5706–5719. [Google Scholar] [CrossRef]
- Moein, M.M. Advancements of chiral molecularly imprinted polymers in separation and sensor fields: A review of the last decade. Talanta 2021, 224, 121794. [Google Scholar] [CrossRef]
- Přech, J.; Pizarro, P.; Serrano, D.P.; Čejka, J. From 3D to 2D zeolite catalytic materials. Chem. Soc. Rev. 2018, 47, 8263–8306. [Google Scholar] [CrossRef]
- Xiong, R.-G.; You, X.-Z.; Abrahams, B.F.; Xue, Z.; Che, C.-M. Enantioseparation of Racemic Organic Molecules by a Zeolite Analogue. Angew. Chem. Int. Ed. 2001, 40, 4422–4425. [Google Scholar] [CrossRef]
- Hoskins, B.F.; Robson, R. Infinite polymeric frameworks consisting of three dimensionally linked rod-like segments. J. Am. Chem. Soc. 1989, 111, 5962–5964. [Google Scholar] [CrossRef]
- Behera, N.; Duan, J.; Jin, W.; Kitagawa, S. The chemistry and applications of flexible porous coordination polymers. EnergyChem 2021, 3, 100067. [Google Scholar] [CrossRef]
- Zhou, H.-C.J.; Kitagawa, S. Metal–Organic Frameworks (MOFs). Chem. Soc. Rev. 2014, 43, 5415–5418. [Google Scholar] [CrossRef]
- Yoon, S.M.; Warren, S.C.; Grzybowski, B.A. Storage of Electrical Information in Metal–Organic-Framework Memristors. Angew. Chem. Int. Ed. 2014, 53, 4437–4441. [Google Scholar] [CrossRef]
- Han, S.; Wei, Y.; Valente, C.; Forgan, R.S.; Gassensmith, J.J.; Smaldone, R.A.; Nakanishi, H.; Coskun, A.; Stoddart, J.F.; Grzybowski, B.A. Imprinting Chemical and Responsive Micropatterns into Metal–Organic Frameworks. Angew. Chem. Int. Ed. 2011, 50, 276–279. [Google Scholar] [CrossRef]
- Li, H.; Martinez, M.R.; Perry, Z.; Zhou, H.-C.; Falcaro, P.; Doblin, C.; Lim, S.; Hill, A.J.; Halstead, B.; Hill, M.R. A Robust Metal–Organic Framework for Dynamic Light-Induced Swing Adsorption of Carbon Dioxide. Chem. Eur. J. 2016, 22, 11176–11179. [Google Scholar] [CrossRef]
- Huang, R.; Hill, M.R.; Babarao, R.; Medhekar, N.V. CO2 Adsorption in Azobenzene Functionalized Stimuli Responsive Metal–Organic Frameworks. J. Phys. Chem. C 2016, 120, 16658–16667. [Google Scholar] [CrossRef]
- Lyndon, R.; Konstas, K.; Ladewig, B.P.; Southon, P.D.; Kepert, P.C.J.; Hill, M.R. Dynamic Photo-Switching in Metal–Organic Frameworks as a Route to Low-Energy Carbon Dioxide Capture and Release. Angew. Chem. Int. Ed. 2013, 52, 3695–3698. [Google Scholar] [CrossRef]
- Gassensmith, J.J.; Furukawa, H.; Smaldone, R.A.; Forgan, R.S.; Botros, Y.Y.; Yaghi, O.M.; Stoddart, J.F. Strong and Reversible Binding of Carbon Dioxide in a Green Metal–Organic Framework. J. Am. Chem. Soc. 2011, 133, 15312–15315. [Google Scholar] [CrossRef]
- Han, S.; Wei, Y.; Grzybowski, B.A. A Metal–Organic Framework Stabilizes an Occluded Photocatalyst. Chem. Eur. J. 2013, 19, 11194–11198. [Google Scholar] [CrossRef]
- Haque, E.; Jun, J.W.; Jhung, S.H. Adsorptive removal of methyl orange and methylene blue from aqueous solution with a metal-organic framework material, iron terephthalate (MOF-235). J. Hazard. Mater. 2011, 185, 507–511. [Google Scholar] [CrossRef]
- Hartlieb, K.J.; Holcroft, J.M.; Moghadam, P.Z.; Vermeulen, N.A.; Algaradah, M.M.; Nassar, M.S.; Botros, Y.Y.; Snurr, R.Q.; Stoddart, J.F. CD-MOF: A Versatile Separation Medium. J. Am. Chem. Soc. 2016, 138, 2292–2301. [Google Scholar] [CrossRef]
- Hall, L.A.; D’Alessandro, D.M.; Lakhwani, G. Chiral metal–organic frameworks for photonics. Chem. Soc. Rev. 2023, 52, 3567–3590. [Google Scholar] [CrossRef]
- James, S.L. Metal-organic frameworks. Chem. Soc. Rev. 2003, 32, 276–288. [Google Scholar] [CrossRef]
- Smaldone, R.A.; Forgan, R.S.; Furukawa, H.; Gassensmith, J.J.; Slawin, A.M.Z.; Yaghi, O.M.; Stoddart, J.F. Metal–Organic Frameworks from Edible Natural Products. Angew. Chem. Int. Ed. 2010, 49, 8630–8634. [Google Scholar] [CrossRef]
- Krūkle-Bērziņa, K.; Belyakov, S.; Mishnev, A.; Shubin, K. Stability and Phase Transitions of Nontoxic γ-Cyclodextrin-K+ Metal-Organic Framework in Various Solvents. Crystals 2020, 10, 37. [Google Scholar] [CrossRef]
- Watson, C.; Lee, D.; El Badawy, A.; Kivy, M.B.; Kathuria, A. Optimal Polyethyleneimine Molecular Weight and Arrangement for Modification of γ-Cyclodextrin Metal Organic Frameworks (γ-CD-MOFs) for Post-Combustion CO2 Capture. Crystals 2022, 12, 1445. [Google Scholar] [CrossRef]
- Roy, I.; Stoddart, J.F. Cyclodextrin Metal–Organic Frameworks and Their Applications. Acc. Chem. Res. 2021, 54, 1440–1453. [Google Scholar] [CrossRef]
- Kazem-Rostami, M.; Orte, A.; Ortuño, A.M.; David, A.H.G.; Roy, I.; Miguel, D.; Garci, A.; Cruz, C.M.; Stern, C.L.; Cuerva, J.M.; et al. Helically Chiral Hybrid Cyclodextrin Metal–Organic Framework Exhibiting Circularly Polarized Luminescence. J. Am. Chem. Soc. 2022, 144, 9380–9389. [Google Scholar] [CrossRef]
- Weatherly, C.A.; Na, Y.-C.; Nanayakkara, Y.S.; Woods, R.M.; Sharma, A.; Lacour, J.; Armstrong, D.W. Reprint of: Enantiomeric separation of functionalized ethano-bridged Tröger bases using macrocyclic cyclofructan and cyclodextrin chiral selectors in high-performance liquid chromatography and capillary electrophoresis with application of principal component analysis. J. Chromatogr. B 2014, 968, 40–48. [Google Scholar]
- Urbanus, J.; Roelands, C.P.M.; Verdoes, D.; Jansens, P.J.; ter Horst, J.H. Co-Crystallization as a Separation Technology: Controlling Product Concentrations by Co-Crystals. Cryst. Growth Des. 2010, 10, 1171–1179. [Google Scholar] [CrossRef]
- Neogi, I.; Darshan, V.; Linet, A.; Anjalikrishna, P.K.; Sebastian, A.; Mohanty, G.; Morimoto, A.; Suresh, C.H.; Yagi, S.; Posner, Y.D.; et al. New boomerang-shaped host materials for phosphorescent organic light-emitting diodes. Synth. Met. 2022, 291, 117185. [Google Scholar] [CrossRef]
- Wu, Z.-L.; Lv, X.; Meng, L.-Y.; Chen, X.-L.; Lu, C.-Z. Tröger’s Base-Derived Thermally Activated Delayed Fluorescence Dopant for Efficient Deep-Blue Organic Light-Emitting Diodes. Molecules 2023, 28, 4832. [Google Scholar] [CrossRef]
- Kumar, P.; Gupta, D.; Grewal, S.; Srivastava, A.; Kumar Gaur, A.; Venkataramani, S. Multiple Azoarenes Based Systems—Photoswitching, Supramolecular Chemistry and Application Prospects. Chem. Rec. 2022, 22, e202200074. [Google Scholar] [CrossRef]
- Mohan, B.; Shanmughan, A.; Noushija, M.K.; Sarkar, D.; Patel, P.; Shanmugaraju, S. Coordination-driven self-assembly formation of Ru(II)-metallocycles based on 4-amino-1,8-naphthalimide Tröger’s base supramolecular scaffold: Synthesis, characterization, and heparin-binding study. Tetrahedron Chem. 2024, 9, 100071. [Google Scholar] [CrossRef]
- Kazem-Rostami, M. Optically Active and Photoswitchable Tröger’s Base Analogs. N. J. Chem. 2019, 43, 7751–7755. [Google Scholar] [CrossRef]
- Li, C.; Kazem-Rostami, M.; Seale, J.S.W.; Zhou, S.; Stupp, S.I. Macroscopic Actuation of Bisazo Hydrogels Driven by Molecular Photoisomerization. Chem. Mater. 2023, 35, 3923–3930. [Google Scholar] [CrossRef]
- Navrátilová, T.; Tatar, A.; Havlík, M.; Hajduch, J.; Drozdová, M.; Gurung, K.; Palatinus, L.; Čejka, J.; Sedláček, J.; Anzenbacher, P., Jr.; et al. Preparation and Characterization of Metalloporphyrin Tröger’s and Spiro-Tröger’s Base Derivatives. J. Org. Chem. 2022, 87, 15178–15186. [Google Scholar] [CrossRef]
- Navrátilová, T.; Pineckerová, D.; Tatar, A.; Křížová, I.; Havlík, M.; Drozdová, M.; Hajduch, J.; Zelenka, J.; Anzenbacher, J.P.; Dolenský, B. Chlorin spiro-Tröger’s base as a prospective photosensitizer for photodynamic therapy of cancer. J. Photochem. Photobiol. A Chem. 2024, 453, 115618. [Google Scholar] [CrossRef]
- Navrátilová, T.; Havlík, M.; Tatar, A.; Hricková, K.; Dolenský, B. Silicas with Covalently Anchored Fluorosolvatochromic Dyes Suitable for Naked-Eye Detection of Colourless Compounds. Molecules 2024, 29, 673. [Google Scholar] [CrossRef]
- Zhuge, X.; Liu, R.; Li, J.; Zhang, J.; Li, Y.; Yuan, C. Synthesis of crystals of Tröger’s base analogues and their fluorescence properties. Dye. Pigm. 2019, 171, 107678. [Google Scholar] [CrossRef]
- Talianová, V.; Bříza, T.; Krčová, L.; Dolenský, B.; Králová, J.; Martásek, P.; Král, V.; Havlík, M. Coumarin Tröger’s base derivatives with cyanine substitution as selective and sensitive fluorescent lysosomal probes. Bioorg. Chem. 2020, 94, 103447. [Google Scholar] [CrossRef]
- Dusso, D.; Ramirez, C.; Parise, A.; Lanza, P.; Vera, D.M.; Chesta, C.; Moyano, E.L.; Akhmedov, N.G. Synthesis of new cyano-substituted analogues of Tröger’s bases from bromo-derivatives. A stereochemical dependence of long-range (nJHH, n = 4, 5, and 6) proton–proton and proton–carbon (nJCH, n = 1, 2, 3, 4, and 5) coupling constants of these compounds. Magn. Reson. Chem. 2019, 57, 423–454. [Google Scholar] [CrossRef]
- Pereira, R.; Wolstenhulme, J.; Sandford, G.; Claridge, T.D.W.; Gouverneur, V.; Cvengroš, J. Synthesis and characterization of a novel N–F reagent derived from the ethano-Tröger’s base: 1JFN coupling constants as a signature for the N–F bond. Chem. Commun. 2016, 52, 1606–1609. [Google Scholar] [CrossRef]
- Chen, Y.; Cheng, M.; Hong, B.; Zhao, Q.; Qian, C.; Jiang, J.; Li, S.; Lin, C.; Wang, L. N-Centered Chiral Self-Sorting and Supramolecular Helix of Tröger’s Base-Based Dimeric Macrocycles in Crystalline State. Front. Chem. 2019, 7, 383. [Google Scholar] [CrossRef]
- Yoshigoe, Y.; Shimada, H.; Takaki, T.; Imai, Y.; Saito, S. Synthesis and Isolation of a Homochiral Nanohoop Composed of a Tröger’s Base and Hexaparaphenylene. Chem. A Eur. J. 2024, 30, e202304059.45. [Google Scholar]
- Braukyla, T.; Xia, R.; Daskeviciene, M.; Malinauskas, T.; Gruodis, A.; Jankauskas, V.; Fei, Z.; Momblona, C.; Roldán-Carmona, C.; Dyson, P.J.; et al. Inexpensive Hole-Transporting Materials Derived from Tröger’s Base Afford Efficient and Stable Perovskite Solar Cells. Angew. Chem. 2019, 131, 11388–11394. [Google Scholar] [CrossRef]
- Kazem-Rostami, M. A nitrogen-based chiral catenane for enantioenriching photocatalytic aerobic oxidation. N. J. Chem. 2022, 46, 21898. [Google Scholar] [CrossRef]
- Tang, H.; Geng, K.; Wu, L.; Liu, J.; Chen, Z.; You, W.; Yan, F.; Guiver, M.D.; Li, N. Fuel cells with an operational range of –20 °C to 200 °C enabled by phosphoric acid-doped intrinsically ultramicroporous membranes. Nat. Energy 2022, 7, 153–162. [Google Scholar] [CrossRef]
- Chen, Z.; Hong, Z.; Wu, H.; Li, C.; Jiang, Z. Tröger’s Base Polyimide Hybrid Membranes by Incorporating UiO-66-NH2 Nanoparticles for Gas Separation. Ind. Eng. Chem. Res. 2022, 61, 3418–3427. [Google Scholar] [CrossRef]
- Wang, X.; Wu, L.; Li, N.; Fan, Y. Sealing Tröger base/ZIF-8 mixed matrix membranes defects for improved gas separation performance. J. Membr. Sci. 2021, 636, 119582. [Google Scholar] [CrossRef]
- Hu, L.; Li, K.; Shang, W.; Zhu, X.; Liu, M. Emerging Cubic Chirality in Cyclodextrin-MOF for Fabricating Circularly Polarized Luminescent Crystalline Materials and the Size Effect. Angew. Chem. Int. Ed. 2020, 59, 4953–4958. [Google Scholar] [CrossRef]
- Faroughi, M.; Try, A.C.; Turner, P. 2,8-Dichloro-6H,12H-5,11-ethanodibenzo[b,f][1,5]diazocine. Acta Crystallogr. Sect. E Struct. Rep. Online 2008, 64, o39. [Google Scholar] [CrossRef] [PubMed]
- Ma, C.; Sun, Y.; Yang, J.; Guo, H.; Zhang, J. Catalytic Asymmetric Synthesis of Tröger’s Base Analogues with Nitrogen Stereocenter. ACS Cent. Sci. 2023, 9, 64–71. [Google Scholar] [CrossRef] [PubMed]
- Goswami, S.; Ghosh, K.; Dasgupta, S. Troger’s base molecular scaffolds in dicarboxylic acid recognition. J. Org. Chem. 2000, 65, 1907. [Google Scholar] [CrossRef]
- Faroughi, M.; Try, A.C.; Klepetko, J.; Turner, P. Changing the shape of Tröger’s base. Tetrahedron Lett. 2007, 48, 6548–6551. [Google Scholar] [CrossRef]
- Medina Rivero, S.; Alonso-Navarro, M.J.; Tonnelé, C.; Marín-Beloqui, J.M.; Suárez-Blas, F.; Clarke, T.M.; Kang, S.; Oh, J.; Ramos, M.M.; Kim, D.; et al. V-Shaped Tröger Oligothiophenes Boost Triplet Formation by CT Mediation and Symmetry Breaking. J. Am. Chem. Soc. 2023, 145, 27295–27306. [Google Scholar] [CrossRef] [PubMed]






Disclaimer/Publisher’s Note: The statements, opinions and data contained in all publications are solely those of the individual author(s) and contributor(s) and not of MDPI and/or the editor(s). MDPI and/or the editor(s) disclaim responsibility for any injury to people or property resulting from any ideas, methods, instructions or products referred to in the content. |
© 2024 by the authors. Licensee MDPI, Basel, Switzerland. This article is an open access article distributed under the terms and conditions of the Creative Commons Attribution (CC BY) license (https://creativecommons.org/licenses/by/4.0/).
Share and Cite
Kazem-Rostami, M.; Shirdast, P.; Mainali, K. Enantiopurification by Co-Crystallization within Cyclodextrin Metal–Organic Framework. Crystals 2024, 14, 568. https://doi.org/10.3390/cryst14060568
Kazem-Rostami M, Shirdast P, Mainali K. Enantiopurification by Co-Crystallization within Cyclodextrin Metal–Organic Framework. Crystals. 2024; 14(6):568. https://doi.org/10.3390/cryst14060568
Chicago/Turabian StyleKazem-Rostami, Masoud, Pardis Shirdast, and Kalidas Mainali. 2024. "Enantiopurification by Co-Crystallization within Cyclodextrin Metal–Organic Framework" Crystals 14, no. 6: 568. https://doi.org/10.3390/cryst14060568
APA StyleKazem-Rostami, M., Shirdast, P., & Mainali, K. (2024). Enantiopurification by Co-Crystallization within Cyclodextrin Metal–Organic Framework. Crystals, 14(6), 568. https://doi.org/10.3390/cryst14060568

