Syzygium aromaticum Bud Extracted Core–Shell Ag–Fe Bimetallic Nanoparticles: Phytotoxic, Antioxidant, Insecticidal, and Antibacterial Properties
Abstract
1. Introduction
2. Results
2.1. UV-VIS Analysis
Synthetic Mechanism of Generation of Core–Shell Type of Structure
2.2. FTIR Analysis
2.3. XRD Analysis
2.4. SEM-EDX Analysis
3. Discussion
3.1. Magnetic Studies
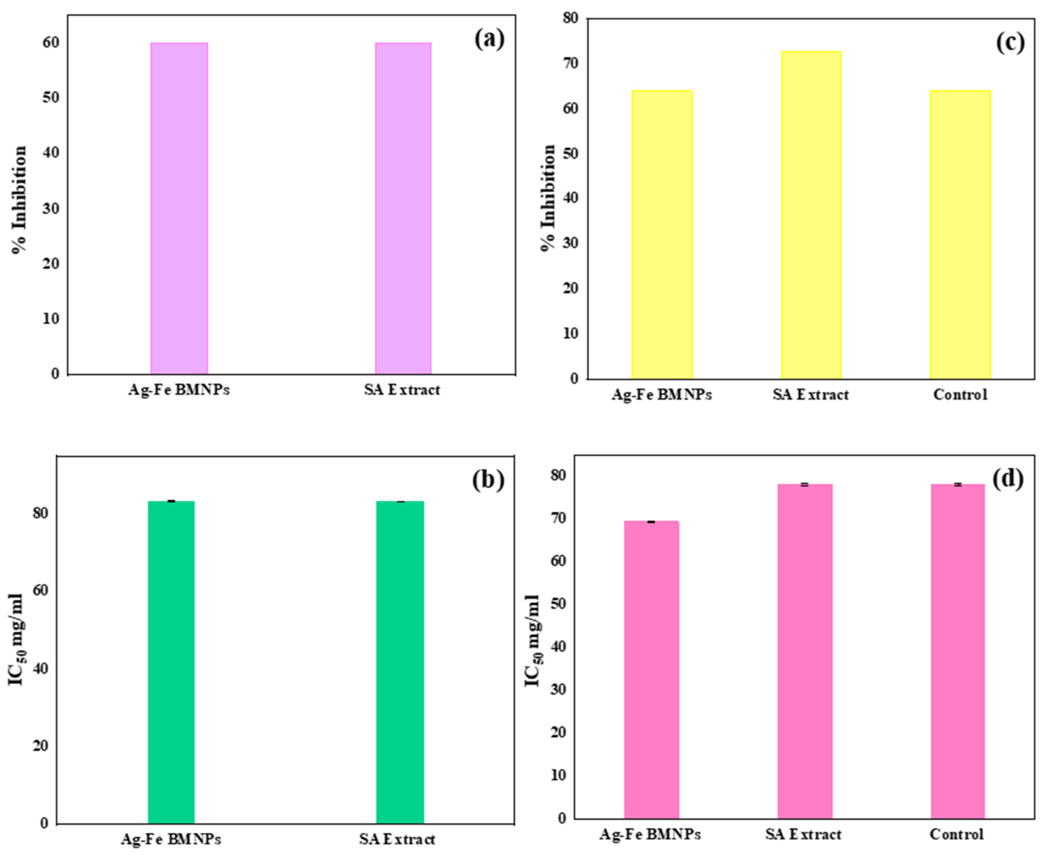
3.2. Phytotoxicity Assay
3.3. Antioxidant Activities
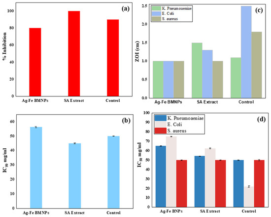
3.4. Insecticidal Activities
Antibacterial Activities
3.5. Mechanism of Antibacterial Activity of Ag–Fe BMNPs
4. Experimental
4.1. Chemicals
4.2. Preparation of SA Bud Extract
4.3. Preparation of Ag–Fe BMNPs
4.4. Characterizations
4.5. Applications
4.5.1. Magnetic Studies
4.5.2. Biological Studies
4.5.3. Phytotoxic Assay
4.5.4. Antioxidant Assay
4.5.5. Insecticidal Assay
4.5.6. Antibacterial Assay
4.6. Statistical Analysis
5. Conclusions
Author Contributions
Funding
Data Availability Statement
Acknowledgments
Conflicts of Interest
References
- Puri, A.; Mohite, P.; Maitra, S.; Subramaniyan, V.; Kumarasamy, V.; Uti, D.E.; Sayed, A.A.; El-Demerdash, F.M.; Algahtani, M.; El-Kott, A.F. From nature to nanotechnology: The interplay of traditional medicine, green chemistry, and biogenic metallic phytonanoparticles in modern healthcare innovation and sustainability. Biomed. Pharmacother. 2024, 170, 116083. [Google Scholar] [CrossRef]
- Javed, F.; Akhter, N.; Qamar, M.A.; Yaqoob, A.; Farhan, A.; Shahid, M.; Shariq, M.; Nazir, M.; Khan, Z. Biogenic derived cobalt nanoparticles using Morus alba and their potent antibacterial and catalytic degradation activity. Chem. Pap. 2024, 78, 3137–3147. [Google Scholar] [CrossRef]
- Rashid, A.B.; Haque, M.; Islam, S.M.; Labib, K.R.U. Nanotechnology-enhanced fiber-reinforced polymer composites: Recent advancements on processing techniques and applications. Heliyon 2024, 10, e24692. [Google Scholar] [CrossRef]
- Chatterjee, R.; Sarkar, S.; Dutta, A.K.; Akinay, Y.; Dasgupta, S.; Mukhopadhyay, M. Scope and Challenges for Green Synthesis of Functional Nanoparticles. In Novel Applications of Carbon Based Nano-Materials; CRC Press: Boca Raton, FL, USA, 2022; pp. 274–318. [Google Scholar]
- Balasubramanian, S.; Gurumurthy, B.; Balasubramanian, A. Biomedical applications of ceramic nanomaterials: A review. Int. J. Pharm. Sci. Res. 2017, 8, 4950–4959. [Google Scholar]
- Ahmed, S.; Ansari, A.; Siddiqui, M.A.; Ranjan, P. Metal/Polymeric Hierarchical platform as biosensor. In Proceedings of the International Conference on Nanotechnology: Opportunities and Challenges, New Delhi, India, 28–29 November 2022; pp. 17–24. Available online: https://search.app/JQob5Pqhe9mknX6K8 (accessed on 21 March 2024).
- Ali, S.K.; Alamier, W.M.; Hasan, N.; Ahmed, S.; Ansari, A.; Imran, M. Synergistic nanomaterials: Zinc sulfide-polyaniline for ciprofloxacin electrochemical sensing. Appl. Phys. A 2023, 129, 859. [Google Scholar] [CrossRef]
- Liu, X.; Zheng, W.; Kumar, R.; Kumar, M.; Zhang, J. Conducting polymer-based nanostructures for gas sensors. Coord. Chem. Rev. 2022, 462, 214517. [Google Scholar] [CrossRef]
- Khan, A.; Ahmed, S.; Sun, B.-Y.; Chen, Y.-C.; Chuang, W.-T.; Chan, Y.-H.; Gupta, D.; Wu, P.-W.; Lin, H.-C. Self-healable and anti-freezing ion conducting hydrogel-based artificial bioelectronic tongue sensing toward astringent and bitter tastes. Biosens. Bioelectron. 2022, 198, 113811. [Google Scholar] [CrossRef] [PubMed]
- Javed, M.; Iqbal, S.; Qamar, M.A.; Shariq, M.; Ahmed, I.A.; BaQais, A.; Alzahrani, H.; Ali, S.K.; Masmali, N.; Althagafi, T.M. Fabrication of effective Co-SnO2/sgcn photocatalysts for the removal of organic pollutants and pathogen inactivation. Crystals 2023, 13, 163. [Google Scholar] [CrossRef]
- Sher, M.; Khan, S.A.; Shahid, S.; Javed, M.; Qamar, M.A.; Chinnathambi, A.; Almoallim, H.S. Synthesis of novel ternary hybrid g-C3N4@ Ag-ZnO nanocomposite with Z-scheme enhanced solar light-driven methylene blue degradation and antibacterial activities. J. Environ. Chem. Eng. 2021, 9, 105366. [Google Scholar] [CrossRef]
- Greten, L.; Salzwedel, R.; Katzer, M.; Mittenzwey, H.; Christiansen, D.; Knorr, A.; Selig, M. Dipolar coupling at interfaces of ultrathin semiconductors, semimetals, plasmonic nanoparticles, and molecules. Phys. Status Solidi 2024, 221, 2300102. [Google Scholar] [CrossRef]
- Abutaleb, A.; Ahmed, S.; Imran, M. Synergistic photocatalysis: Harnessing WSe2-ZnO nanocomposites for efficient malachite green dye degradation. Eur. Phys. J. Plus 2023, 138, 1046. [Google Scholar] [CrossRef]
- Ahmed, S.; Ansari, A.; Siddiqui, M.A.; Ranjan, P.; Kumar, P. Catalysts for Li-S batteries. In Single Atom Catalysts; Elsevier: Amsterdam, The Netherlands, 2024; pp. 215–231. [Google Scholar]
- Reddy, M.S.B.; Aich, S. Recent progress in surface and heterointerface engineering of 2D MXenes for gas sensing applications. Coord. Chem. Rev. 2024, 500, 215542. [Google Scholar] [CrossRef]
- Chugh, R.; Kaur, G. A mini review on green synthesis of nanoparticles by utilization of Musa-balbisiana waste peel extract. Mater. Today Proc. 2022. Available online: https://www.sciencedirect.com/science/article/pii/S2214785322070390?via%3Dihub (accessed on 21 March 2024). [CrossRef]
- Wenderich, K.; Mul, G. Methods, mechanism, and applications of photodeposition in photocatalysis: A review. Chem. Rev. 2016, 116, 14587–14619. [Google Scholar] [CrossRef]
- Ahmad, K.; Raza, W.; Khan, M.Q. Water splitting: Design, synthesis and fabrication of nanostructured materials based efficient electrodes for water splitting applications. In Handbook of Greener Synthesis of Nanomaterials and Compounds; Elsevier: Amsterdam, The Netherlands, 2021; pp. 549–564. [Google Scholar]
- Roy, S.; Das, T.K. Plant mediated green synthesis of silver nanoparticles—A review. Int. J. Plant Biol. Res 2015, 3, 1044–1055. [Google Scholar]
- Rani, N.; Singh, P.; Kumar, S.; Kumar, P.; Bhankar, V.; Kumar, K. Plant-mediated synthesis of nanoparticles and their applications: A review. Mater. Res. Bull. 2023, 112233. [Google Scholar] [CrossRef]
- Zaka, M.; Abbasi, B.H. Effects of bimetallic nanoparticles on seed germination frequency and biochemical characterisation of Eruca sativa. IET Nanobiotechnol. 2017, 11, 255–260. [Google Scholar] [CrossRef] [PubMed]
- Kang, C.-W.; Kolya, H. Green synthesis of Ag-Au bimetallic nanocomposites using waste tea leaves extract for degradation congo red and 4-Nitrophenol. Sustainability 2021, 13, 3318. [Google Scholar] [CrossRef]
- Zaib, M.; Malik, T.; Akhtar, N.; Shahzadi, T. Sensitive detection of sulphide ions using green synthesized monometallic and bimetallic nanoparticles: Comparative study. Waste Biomass Valorization 2022, 13, 2447–2459. [Google Scholar] [CrossRef]
- Padilla-Cruz, A.; Garza-Cervantes, J.; Vasto-Anzaldo, X.G.; García-Rivas, G.; León-Buitimea, A.; Morones-Ramírez, J. Synthesis and design of Ag–Fe bimetallic nanoparticles as antimicrobial synergistic combination therapies against clinically relevant pathogens. Sci. Rep. 2021, 11, 5351. [Google Scholar] [CrossRef]
- Mohan, S.; Devan, M.V.; Sambathkumar, S.; Shanmugam, V.; Ravikumar, K.; Marnadu, R.; Palanivel, B.; Hegazy, H. Dual probes of Ag/Pd bimetallic NPs facilely synthesized by green process using Catharanthus leaf extract on textile dye removal and free radical capability. Appl. Nanosci. 2021, 11, 1565–1574. [Google Scholar] [CrossRef]
- Qamar, M.A.; Javed, M.; Shahid, S.; Sher, M. Fabrication of g-C3N4/transition metal (Fe, Co, Ni, Mn and Cr)-doped ZnO ternary composites: Excellent visible light active photocatalysts for the degradation of organic pollutants from wastewater. Mater. Res. Bull. 2022, 147, 111630. [Google Scholar] [CrossRef]
- Hasan, A.; Morshed, M.; Memic, A.; Hassan, S.; Webster, T.J.; Marei, H.E.-S. Nanoparticles in tissue engineering: Applications, challenges and prospects. Int. J. Nanomed. 2018, 13, 5637–5655. [Google Scholar] [CrossRef] [PubMed]
- Nikiema, W.A.; Ouédraogo, M.; Ouédraogo, W.P.; Fofana, S.; Ouédraogo, B.H.A.; Delma, T.E.; Amadé, B.; Abdoulaye, G.M.; Sawadogo, A.S.; Ouédraogo, R. Systematic Review of Chemical Compounds with Immunomodulatory Action Isolated from African Medicinal Plants. Molecules 2024, 29, 2010. [Google Scholar] [CrossRef] [PubMed]
- Dwinandha, D.; Elsamadony, M.; Gao, R.; Fu, Q.-L.; Liu, J.; Fujii, M. Interpretable Machine Learning and Reactomics Assisted Isotopically Labeled FT-ICR-MS for Exploring the Reactivity and Transformation of Natural Organic Matter during Ultraviolet Photolysis. Environ. Sci. Technol. 2023, 58, 816–825. [Google Scholar] [CrossRef] [PubMed]
- Aslam, B.; Ahmad, M.; Tariq, M.U.; Muzammil, S.; Siddique, A.B.; Khurshid, M.; Shahid, A.; Rasool, M.H.; Chaudhry, T.H.; Amir, A. Antibiotic resistance: Retrospect and prospect. In Degradation of Antibiotics and Antibiotic-Resistant Bacteria from Various Sources; Elsevier: Amsterdam, The Netherlands, 2023; pp. 1–37. [Google Scholar]
- Semaltianos, N. Nanoparticles by laser ablation. Crit. Rev. Solid State Mater. Sci. 2010, 35, 105–124. [Google Scholar] [CrossRef]
- Nyabadza, A.; Vazquez, M.; Brabazon, D. A review of bimetallic and monometallic nanoparticle synthesis via laser ablation in liquid. Crystals 2023, 13, 253. [Google Scholar] [CrossRef]
- Murugadoss, A.; Kai, N.; Sakurai, H. Synthesis of bimetallic gold–silver alloy nanoclusters by simple mortar grinding. Nanoscale 2012, 4, 1280–1282. [Google Scholar] [CrossRef] [PubMed]
- Li, Q.; Yang, S.; Wu, S.; Fan, D. Mechanochemically synthesized Al–Fe (oxide) composite with superior reductive performance: Solid-state kinetic processes during ball milling. Chemosphere 2022, 298, 134280. [Google Scholar] [CrossRef]
- Tungare, K.; Bhori, M.; Patil, S.A.; Iyer, P.; Jagtap, N.; Kadam, A.; Vijayakuma, S. Clove Buds (Syzygium aromaticum). In Medicinal Spice and Condiment Crops; CRC Press: Boca Raton, FL, USA, 2024; pp. 200–224. [Google Scholar]
- Palem, V.V.; Paramasivam, G.; Dey, N.; Ananthan, A.S. Processes of Synthesis and Characterization of Silver Nanoparticles with Antimicrobial Action and their Future Prospective. Nanobiomater. Perspect. Med. Appl. Diagn. Treat. Dis. 2023, 145, 131–161. [Google Scholar]
- Daramola, O.B.; George, R.C.; Torimiro, N.; Olajide, A.A. Insights on the synthesis of iron-oxide nanoparticles and the detection of iron-reducing genes from soil microbes. Colloids Surf. C Environ. Asp. 2024, 2, 100025. [Google Scholar] [CrossRef]
- Shilpa, M.; Shetty, V.; Surabhi, S.; Jeong, J.-R.; Morales, D.; Ballal, M.; Eshwarappa, K.; Murari, M.; Nayak, R.; Gurumurthy, S. Decentralized core-shell Au/Ag bimetallic nanostructures prepared via green approach for catalytic and antimicrobial applications. Mater. Sci. Eng. B 2023, 298, 116893. [Google Scholar] [CrossRef]
- Sarani, M.; Hamidian, K.; Barani, M.; Adeli-Sardou, M.; Khonakdar, H.A. α-Fe2O3@ Ag and Fe3O4@ Ag Core-Shell Nanoparticles: Green Synthesis, Magnetic Properties and Cytotoxic Performance. ChemistryOpen 2023, 12, e202200250. [Google Scholar] [CrossRef] [PubMed]
- Sudhakar, C.; Selvam, K.; Poonkothai, M.; Ranjitha, S. Biomimetic synthesis of Ag@ Fe bimetallic nanoparticles from Palmyra sprouts extract and their antibacterial, photocatalytic degradation of malachite green. Inorg. Chem. Commun. 2024, 161, 112132. [Google Scholar] [CrossRef]
- Qamar, M.A.; Shahid, S.; Javed, M.; Iqbal, S.; Sher, M.; Akbar, M.B. Highly efficient g-C3N4/Cr-ZnO nanocomposites with superior photocatalytic and antibacterial activity. J. Photochem. Photobiol. A Chem. 2020, 401, 112776. [Google Scholar] [CrossRef]
- Teng, Y.; Bian, X.; Fu, X.; Song, Y.; Bai, X. Effect of Iron Component on the Structural Evolution of Carbon Bonds in Hydrochloric Acid-Demineralized Lignite During Pyrolysis. ACS Omega 2023, 8, 17634–17643. [Google Scholar] [CrossRef] [PubMed]
- Ghosh, S.; Roy, S.; Naskar, J.; Kole, R.K. Plant-mediated synthesis of mono-and bimetallic (Au–Ag) nanoparticles: Future prospects for food quality and safety. J. Nanomater. 2023, 2023, 2781667. [Google Scholar] [CrossRef]
- Freire, T.M.; Freire, R.M.; Franco, M.L.; López, E.O.; de Oliveira, R.C.; Denardin, J.C.; Oliveira, F.G.S.; Vasconcelos, I.F.; Casciano, P.N.S.; de Lima-Neto, P.; et al. Magnetic FeM (M= Ag, Co, Cu, and Ni) nanocrystals as electrocatalysts for hydrogen evolution reaction. Mater. Today Sustain. 2022, 18, 100150. [Google Scholar] [CrossRef]
- Albeladi, A.; Khan, Z.; Al-Thabaiti, S.A.; Patel, R.; Malik, M.A.; Mehta, S. Fe3O4-CdO Nanocomposite for Organic Dye Photocatalytic Degradation: Synthesis and Characterization. Catalysts 2024, 14, 71. [Google Scholar] [CrossRef]
- Kaur, N.; Singh, A.; Ahmad, W. Microwave assisted green synthesis of silver nanoparticles and its application: A review. J. Inorg. Organomet. Polym. Mater. 2023, 33, 663–672. [Google Scholar] [CrossRef]
- Ali, S.; Zahid, A.; Shahid, S.T. Green Engineering of Iron and Iron Oxide Nanoparticles; IntechOpen: London, UK, 2023. [Google Scholar] [CrossRef]
- Al-Asfar, A.; Zaheer, Z.; Aazam, E.S. Eco-friendly green synthesis of Ag@Fe bimetallic nanoparticles: Antioxidant, antimicrobial and photocatalytic degradation of bromothymol blue. J. Photochem. Photobiol. B Biol. 2018, 185, 143–152. [Google Scholar] [CrossRef]
- Sharma, R.; Garg, R.; Bali, M.; Eddy, N.O. Potential applications of green-synthesized iron oxide NPs for environmental remediation. Environ. Monit. Assess. 2023, 195, 1397. [Google Scholar] [CrossRef] [PubMed]
- Sithara, N.; Bharathi, D.; Lee, J.; Mythili, R.; Devanesan, S.; AlSalhi, M.S. Synthesis of iron oxide nanoparticles using orange fruit peel extract for efficient remediation of dye pollutant in wastewater. Environ. Geochem. Health 2024, 46, 30. [Google Scholar] [CrossRef] [PubMed]
- Dolai, J.; Ray, R.; Ghosh, S.; Maity, A.; Jana, N.R. Optical Nanomaterials for Advanced Bioimaging Applications. ACS Appl. Opt. Mater. 2023, 2, 1–14. [Google Scholar] [CrossRef]
- Nanda, S.S.; Yi, D.K. Recent Advances in Synergistic Effect of Nanoparticles and Its Biomedical Application. Int. J. Mol. Sci. 2024, 25, 3266. [Google Scholar] [CrossRef] [PubMed]
- Saranya, R.; Yashoda, R.H.; Nargund, V.B.; Basavaraj, T.; Dinesh, K.; Varsha, S.L.; Vinay, J.U.; Chidanandappa, E.; Srikanth, H.N. In vitro evaluation of green nanoparticles against Ceratocystis fimbriata and Fusarium oxysporum causing wilt disease of pomegranate. Indian Phytopathol. 2024, 77, 1–8. [Google Scholar]
- Hai, N.D.; Huy, N.; Nam, N.T.H.; An, H.; Cong, C.Q.; Dat, N.M.; Vu, N.H.; Truong, N.T.N.; Hieu, N.H. Comparative investigation of the characterization and photoactivity of gold-decorated graphitic carbon nitride: A study aspect of various synthesis approaches. Surf. Interfaces 2024, 44, 103645. [Google Scholar] [CrossRef]
- Bhanja, S.K.; Samanta, S.K.; Mondal, B.; Jana, S.; Ray, J.; Pandey, A.; Tripathy, T. Green synthesis of Ag@ Au bimetallic composite nanoparticles using a polysaccharide extracted from Ramaria botrytis mushroom and performance in catalytic reduction of 4-nitrophenol and antioxidant, antibacterial activity. Environ. Nanotechnol. Monit. Manag. 2020, 14, 100341. [Google Scholar] [CrossRef]
- Velpula, S.; Beedu, S.R.; Rupula, K. Bimetallic nanocomposite (Ag-Au, Ag-Pd, Au-Pd) synthesis using gum kondagogu a natural biopolymer and their catalytic potentials in the degradation of 4-nitrophenol. Int. J. Biol. Macromol. 2021, 190, 159–169. [Google Scholar] [CrossRef]
- Sher, M.; Javed, M.; Shahid, S.; Hakami, O.; Qamar, M.A.; Iqbal, S.; Al-Anazy, M.M.; Baghdadi, H.B. Designing of highly active g-C3N4/Sn doped ZnO heterostructure as a photocatalyst for the disinfection and degradation of the organic pollutants under visible light irradiation. J. Photochem. Photobiol. A Chem. 2021, 418, 113393. [Google Scholar] [CrossRef]
- Qamar, M.A.; Shahid, S.; Javed, M.; Sher, M.; Iqbal, S.; Bahadur, A.; Li, D. Fabricated novel g-C3N4/Mn doped ZnO nanocomposite as highly active photocatalyst for the disinfection of pathogens and degradation of the organic pollutants from wastewater under sunlight radiations. Colloids Surf. A Physicochem. Eng. Asp. 2021, 611, 125863. [Google Scholar] [CrossRef]
- Malik, M.; Alshehri, A.; Patel, R. Facile one-pot green synthesis of Ag-Fe bimetallic nanoparticles and their catalytic capability for 4-Nitrophenol reduction. J. Mater. Res. Technol. 2021, 12, 455–470. [Google Scholar] [CrossRef]
- Yoro, M.; Ayuba, I. Green Synthesis, Characterization and Antimicrobial Potency of Ag-Fe Bimetallic Nanoparticles from Papaya Leaf Extract. Int. J. Sci. Res. Publ. (IJSRP) 2022, 12, 563. [Google Scholar] [CrossRef]
- Sandupatla, R.; Dongamanti, A.; Koyyati, R. Antimicrobial and antioxidant activities of phytosynthesized Ag, Fe and bimetallic Fe-Ag nanoparticles using Passiflora edulis: A comparative study. Mater. Today Proc. 2021, 44, 2665–2673. [Google Scholar] [CrossRef]
- Kumar, A.; Shah, S.R.; Jayeoye, T.J.; Kumar, A.; Parihar, A.; Prajapati, B.; Singh, S.; Kapoor, D.U. Biogenic metallic nanoparticles: Biomedical, analytical, food preservation, and applications in other consumable products. Front. Nanotechnol. 2023, 5, 1175149. [Google Scholar] [CrossRef]
- Mihailović, V.; Srećković, N.; Nedić, Z.P.; Dimitrijević, S.; Matić, M.; Obradović, A.; Selaković, D.; Rosić, G.; Katanić Stanković, J.S. Green synthesis of silver nanoparticles using Salvia verticillata and Filipendula ulmaria extracts: Optimization of synthesis, biological activities, and catalytic properties. Molecules 2023, 28, 808. [Google Scholar] [CrossRef] [PubMed]
- Rob, M.M.; Hossen, K.; Iwasaki, A.; Suenaga, K.; Kato-Noguchi, H. Phytotoxic activity and identification of phytotoxic substances from Schumannianthus dichotomus. Plants 2020, 9, 102. [Google Scholar] [CrossRef]
- Shahid Chatha, S.; Hussain, A.; Asad, R.; Majeed, M.; Aslam, N. Bioactive components and antioxidant properties of Terminalia arjuna L. extracts. J. Food Process Technol. 2014, 5, 2. [Google Scholar] [CrossRef]








| Ag–Fe | Weight % | Atomic % | ||
|---|---|---|---|---|
| Ag (wt. %) | Fe (wt. %) | Ag (at. %) | Fe (at. %) | |
| EDX | 65.9 | 34.1 | 49.3 | 50 |
| ICP | 49.5 | 50 | ||
| Samples | IC50 (mg/mL) | % Inhibition |
|---|---|---|
| Ag–Fe BMNPs | 83.333 ± 0.089 | 60 |
| SA Extract | 83.333 ± 0.012 | 60 |
| Positive Control | 0 | 0 |
| Samples | IC50 (mg/mL) | % Inhibition |
|---|---|---|
| Ag–Fe BMNPs | 69.48 ± 0.12 | 64 |
| SA Extract | 78.12 ± 0.22 | 72.77 |
| Positive Control | 78.12 ± 0.26 | 64 |
| Samples | IC50 (mg/mL) | % Inhibition | Dead/Alive |
|---|---|---|---|
| Ag–Fe BMNPs | 56.25 ± 0.41 | 80 | 8/2 |
| SA Extract | 45 ± 0.24 | 100 | 10/0 |
| Positive Control | 50 ± 0.14 | 90 | 9/1 |
| Sample (Concentration) | K. pneumoaeniae ZOI (cm) | E. coli ZOI (cm) | S. aureus ZOI (cm) |
|---|---|---|---|
| Ag–Fe BMNPs (50 µg/mL) | 0.59 | 0.59 | 0.56 |
| SA Extract (50 µg/mL) | 0.8 | 0.67 | 0.43 |
| Positive Control (50 µg/mL) | 0.8 | 1.5 | 1 |
| Ag–Fe BMNPs (100 µg/mL) | 1 | 1 | 1 |
| SA Extract (100 µg/mL) | 1.5 | 1.3 | 1 |
| Positive control (100 µg/mL) | 1.1 | 2.5 | 1.8 |
| Samples | K. pneumoaeniae IC50 (mg/mL) | E. coli IC50 (mg/mL) | S. aureus IC50 (mg/mL) |
|---|---|---|---|
| Ag–Fe BMNPs | 65 ± 0.29 | 75 ± 0.29 | 50 ± 0.31 |
| SA Extract | 54.16666667 ± 0.29 | 62.5 ± 0.37 | 50 ± 0.40 |
| Positive Control | 50 ± 0.21 | 22 ± 0.71 | 50 ± 0.57 |
| Study Focus | Synthesis Method | Nanoparticle Source | Characterization Techniques | Applications | Catalytic/Biological Efficacy | References |
|---|---|---|---|---|---|---|
| Ag–Fe BMNPs using Syzygium aromaticum | Green synthesis with plant extract | AgNO3 and FeNO3.9H2O | UV-VIS, XRD, EDX, FTIR, SEM | Antioxidant, antibacterial, insecticidal | Antioxidant: 64–73% inhibition; Antibacterial: 1–1.5 cm ZOI; Insecticidal: 80–100% mortality | This work |
| Ag–Fe BMNPs using Salvia officinalis | Green synthesis with plant extract | AgNO3 and Fe(NO3)3 | UV-VIS, TEM, SEM, XRD, FTIR, EDX, TGA | Catalytic degradation of 4-nitrophenol | Efficient reduction of 4-Nitrophenol to 4-Aminophenol | [59] |
| Ag–Fe BMNPs using Gardenia jasminoides | Green synthesis with plant extract | Ag and Fe salts | UV-VIS, SEM | Antimicrobial against multidrug-resistant strains | Exhibited antimicrobial (bactericidal) synergistic effect | [24] |
| Ag@Fe BMNPs using Palm dates fruit | Green synthesis with fruit extract | AgNO3 and Fe(NO3)3 | UV-VIS, TEM, EDX | Antioxidant, antimicrobial, photocatalytic | Good in vitro antibacterial activity; used as catalyst for degradation of bromothymol blue | [48] |
| Ag–Fe BMNPs using Papaya leaf extract | Green synthesis with plant extract | Ag and Fe salts | UV-VIS, FT-IR | Antimicrobial | Effective antibacterial activity on pathogenic bacteria | [60] |
| Ag–Fe BMNPs using Beta vulgaris L. | Green synthesis with plant extract | Ag and Fe salts | UV-VIS, FTIR, SEM, TEM, EDX | Antifungal, induces apoptosis in fungal cells | Induces apoptosis and cell cycle arrest in Candida auris | [60] |
| Ag–Fe BMNPs using Passiflora edulis | Green synthesis with plant extract | Ag and Fe salts | UV-VIS, XRD, SEM | Antimicrobial, antioxidant | Demonstrated effective antibacterial and antifungal activities; high antioxidant activity | [61] |
Disclaimer/Publisher’s Note: The statements, opinions and data contained in all publications are solely those of the individual author(s) and contributor(s) and not of MDPI and/or the editor(s). MDPI and/or the editor(s) disclaim responsibility for any injury to people or property resulting from any ideas, methods, instructions or products referred to in the content. |
© 2024 by the authors. Licensee MDPI, Basel, Switzerland. This article is an open access article distributed under the terms and conditions of the Creative Commons Attribution (CC BY) license (https://creativecommons.org/licenses/by/4.0/).
Share and Cite
Murtaza, F.; Akhter, N.; Qamar, M.A.; Yaqoob, A.; Chaudhary, A.A.; Patil, B.R.; Khan, S.U.-D.; Ibrahim, N.A.; Basher, N.S.; Aleissa, M.S.; et al. Syzygium aromaticum Bud Extracted Core–Shell Ag–Fe Bimetallic Nanoparticles: Phytotoxic, Antioxidant, Insecticidal, and Antibacterial Properties. Crystals 2024, 14, 510. https://doi.org/10.3390/cryst14060510
Murtaza F, Akhter N, Qamar MA, Yaqoob A, Chaudhary AA, Patil BR, Khan SU-D, Ibrahim NA, Basher NS, Aleissa MS, et al. Syzygium aromaticum Bud Extracted Core–Shell Ag–Fe Bimetallic Nanoparticles: Phytotoxic, Antioxidant, Insecticidal, and Antibacterial Properties. Crystals. 2024; 14(6):510. https://doi.org/10.3390/cryst14060510
Chicago/Turabian StyleMurtaza, Farah, Naseem Akhter, Muhammad Azam Qamar, Asma Yaqoob, Anis Ahmad Chaudhary, Bhagyashree R. Patil, Salah Ud-Din Khan, Nasir Adam Ibrahim, Nosiba S. Basher, Mohammed Saad Aleissa, and et al. 2024. "Syzygium aromaticum Bud Extracted Core–Shell Ag–Fe Bimetallic Nanoparticles: Phytotoxic, Antioxidant, Insecticidal, and Antibacterial Properties" Crystals 14, no. 6: 510. https://doi.org/10.3390/cryst14060510
APA StyleMurtaza, F., Akhter, N., Qamar, M. A., Yaqoob, A., Chaudhary, A. A., Patil, B. R., Khan, S. U.-D., Ibrahim, N. A., Basher, N. S., Aleissa, M. S., Kanwal, I., & Imran, M. (2024). Syzygium aromaticum Bud Extracted Core–Shell Ag–Fe Bimetallic Nanoparticles: Phytotoxic, Antioxidant, Insecticidal, and Antibacterial Properties. Crystals, 14(6), 510. https://doi.org/10.3390/cryst14060510

