Influence of Stress on the Chiral Polarization and Elastrocaloric Effect in BaTiO3 with 180° Domain Structure
Abstract
1. Introduction
2. Materials and Methods
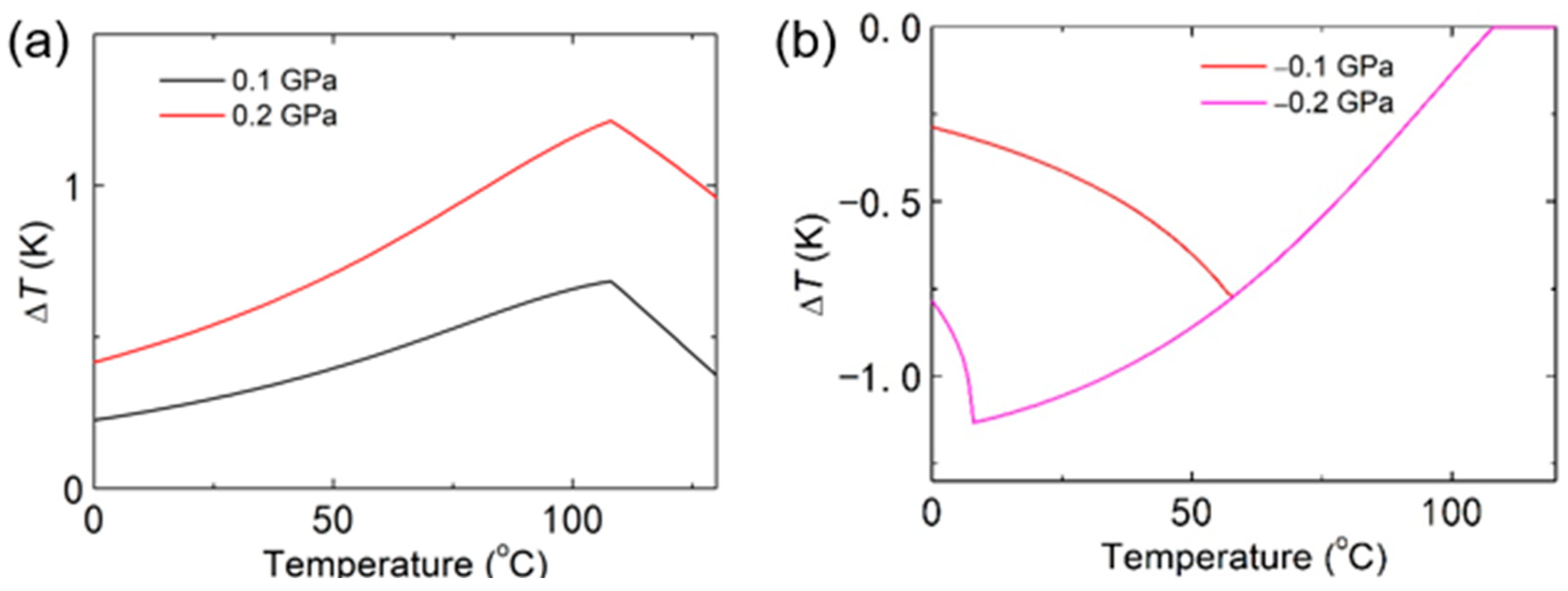
3. Results and Discussion
4. Conclusions
Author Contributions
Funding
Data Availability Statement
Conflicts of Interest
References
- Liu, X.; Tan, P.; Ma, X.; Wang, D.; Jin, X.; Liu, Y.; Xu, B.; Qiao, L.; Qiu, C.; Wang, B.; et al. Ferroelectric crystals with giant electro-optic property enabling ultracompact q-switches. Science 2022, 376, 371. [Google Scholar] [CrossRef] [PubMed]
- Hu, Y.; You, L.; Xu, B.; Li, T.; Morris, S.A.; Li, Y.; Zhang, Y.; Wang, X.; Lee, P.S.; Fan, H.J.; et al. Ferroelastic-switching-driven large shear strain and piezoelectricity in a hybrid ferroelectric. Nat. Mater. 2021, 20, 612. [Google Scholar] [CrossRef] [PubMed]
- Liu, Y.; Zhou, Y.; Qin, H.; Yang, T.; Chen, X.; Li, L.; Han, Z.; Wang, K.; Zhang, B.; Lu, W.; et al. Electro-thermal actuation in percolative ferroelectric polymer nanocomposites. Nat. Mater. 2023, 22, 873. [Google Scholar] [CrossRef] [PubMed]
- Li, B.; Cai, C.; Liu, Y.; Wang, F.; Yang, B.; Li, Q.; Zhang, P.; Deng, B.; Hou, P.; Liu, W. Ultrasensitive mechanical/thermal response of a p(vdf-trfe) sensor with a tailored network interconnection interface. Nat. Commun. 2023, 14, 4000. [Google Scholar] [CrossRef] [PubMed]
- Wojde, J.C.; Íñiguez, J. Ferroelectric transitions at ferroelectric domain walls found from first principles. Phys. Rev. Lett. 2014, 112, 247603. [Google Scholar] [CrossRef] [PubMed]
- Meier, D.; Selbach, S.M. Ferroelectric domain walls for nanotechnology. Nat. Rev. Mater. 2022, 7, 157. [Google Scholar] [CrossRef]
- Leo, N.; Bergman, A.; Cano, A.; Poudel, N.; Lorenz, B.; Fiebig, M.; Meier, D. Polarization control at spin-driven ferroelectric domain walls. Nat. Commun. 2015, 6, 6661. [Google Scholar] [CrossRef] [PubMed]
- Wang, J.; Ma, J.; Huang, H.; Ma, J.; Jafri, H.M.; Fan, Y.; Yang, H.; Wang, Y.; Chen, M.; Liu, D.; et al. Ferroelectric domain-wall logic units. Nat. Commun. 2022, 13, 3255. [Google Scholar] [CrossRef] [PubMed]
- Kiselev, D.A.; Bykov, A.S.; Zhukov, R.N.; Antipov, V.V.; Malinkovich, M.D.; Parkhomenko, Y.N. Study of LiNbO3 single crystals with a regular domain structure by piezoresponse force microscopy. Crystallogr. Rep. 2012, 57, 781. [Google Scholar] [CrossRef]
- Hu, Z.H.; Thomas, P.A.; Snigirev, A.; Snigireva, I.; Souvorov, A.; Smith, P.G.R.; Ross, G.W.; Teat, S. Phase-mapping of periodically domain-inverted LiNbO3 with coherent X-rays. Nature 1998, 392, 690. [Google Scholar] [CrossRef]
- Masiello, F.; Lafford, T.A.; Pernot, P.; Baruchel, J.E.; Keeble, D.S.; Thomas, P.A.; Zukauskas, A.; Str O Mqvist, G.; Laurell, F.; Canalias, C. Investigation by coherent X-ray section topography of ferroelectric domain behaviour as a function of temperature in periodically poled Rb:KTP. J. Appl. Crystallogr. 2011, 44, 462. [Google Scholar] [CrossRef]
- Roshchupkin, D.V.; Irzhak, D.V.; Antipov, V.V. Visualization of a Ferroelectric Domain Structure in the X Cut of a LiNbO3 Crystal Using X-Ray Diffraction and Topography. Appl. Phys. Lett. 2009, 94, 222903. [Google Scholar] [CrossRef]
- Antipov, V.V.; Blistanov, A.A.; Roshchupkina, E.D.; Tucoulou, R.; Ortega, L.; Roshchupkin, D.V. High-resolution X-Ray topography and diffraction study of bulk regular domain structures in LiNbO3 Crystals. Appl. Phys. Lett. 2004, 85, 5325. [Google Scholar] [CrossRef]
- Sharma, P.; Moise, T.S.; Colombo, L.; Seidel, J. Roadmap for ferroelectric domain wall nanoelectronics. Adv. Funct. Mater. 2022, 32, 2110263. [Google Scholar] [CrossRef]
- Schultheiß, J.; Picht, G.; Wang, J.; Genenko, Y.A.; Chen, L.Q.; Daniels, J.E.; Koruza, J. Ferroelectric polycrystals: Structural and microstructural levers for property-engineering via domain-wall dynamics. Prog. Mater. Sci. 2023, 136, 101101. [Google Scholar] [CrossRef]
- Kämpfe, T.; Wang, B.; Haußmann, A.; Chen, L.; Eng, L.M. Tunable non-volatile memory by conductive ferroelectric domain walls in lithium niobate thin films. Crystals 2020, 10, 804. [Google Scholar] [CrossRef]
- Yudin, P.V.; Tagantsev, A.K.; Eliseev, E.A.; Morozovska, A.N.; Setter, N. Bichiral structure of ferroelectric domain walls driven by flexoelectricity. Phys. Rev. B 2012, 86, 134102. [Google Scholar] [CrossRef]
- Cao, W.; Cross, L.E. Theory of tetragonal twin structures in ferroelcectic perovskites with a first order phase transition. Phys. Rev. B 1991, 44, 5. [Google Scholar] [CrossRef] [PubMed]
- Meyer, B.; Vanderbilt, D. Ab initio study of ferroelectric domain walls in PbTiO3. Phys. Rev. B 2002, 65, 104111. [Google Scholar] [CrossRef]
- Lajzerowicz, J.; Niez, J.J. Phase transition in a domain wall. J. Phys. Lett. 1979, 40, 165. [Google Scholar] [CrossRef]
- Lee, D.; Behera, R.K.; Wu, P.; Xu, H.; Li, Y.L.; Sinnott, S.B.; Phillpot, S.R.; Chen, L.Q.; Gopalan, V. Mixed bloch-neel-ising character of 180 ferroelectric domain walls. Phys. Rev. B 2009, 80, 60102. [Google Scholar] [CrossRef]
- Stepkova, V.; Marton, P.; Hlinka, J. Stress-induced phase transition in ferroelectric domain walls of BaTiO3. J. Phys. Condens. Matter. 2012, 24, 212201. [Google Scholar] [CrossRef] [PubMed]
- Hlinka, J.; Stepkova, V.; Marton, P.; Rychetsky, I.; Janovec, V.; Ondrejkovic, P. Phase-field modelling of 180° “bloch walls” in rhombohedral BaTiO3. Phase Transit. 2011, 84, 738. [Google Scholar] [CrossRef]
- Gu, Y.; Li, M.; Morozovska, A.N.; Wang, Y.; Eliseev, E.A.; Gopalan, V.; Chen, L. Flexoelectricity and ferroelectric domain wall structures: Phase-field modeling and DFT calculations. Phys. Rev. B 2014, 89, 174111. [Google Scholar] [CrossRef]
- Eliseev, E.A.; Yudin, P.V.; Kalinin, S.V.; Setter, N.; Tagantsev, A.K.; Morozovska, A.N. Structural phase transitions and electronic phenomena at 180-degree domain walls in rhombohedral BaTiO3. Phys. Rev. B 2013, 87, 54111. [Google Scholar] [CrossRef]
- Taherinejad, M.; Vanderbilt, D.; Marton, P.; Stepkova, V.; Hlinka, J. Bloch-type domain walls in rhombohedral BaTiO3. Phys. Rev. B 2012, 86, 155138. [Google Scholar] [CrossRef]
- Wang, Y.J.; Chen, D.; Tang, Y.L.; Zhu, Y.L.; Ma, X.L. Origin of the bloch-type polarization components at the 180° domain walls in ferroelectric PbTiO3. J. Appl. Phys. 2014, 116, 224105. [Google Scholar] [CrossRef]
- Wei, X.; Jia, C.; Sluka, T.; Wang, B.; Ye, Z.; Setter, N. Neel-like domain walls in ferroelectric Pb (Zr, Ti)O3 single crystals. Nat. Commun. 2016, 7, 12385. [Google Scholar] [CrossRef]
- Cherifi-Hertel, S.; Bulou, H.; Hertel, R.; Taupier, G.; Dorkenoo, K.D.H.; Andreas, C.; Guyonnet, J.; Gaponenko, I.; Gallo, K.; Paruch, P. Non-ising and chiral ferroelectric domain walls revealed by nonlinear optical microscopy. Nat. Commun. 2017, 8, 15768. [Google Scholar] [CrossRef]
- Chauleau, J.Y.; Chirac, T.; Fusil, S.; Garcia, V.; Akhtar, W.; Tranchida, J.; Thibaudeau, P.; Gross, I.; Blouzon, C.; Finco, A.; et al. Electric and Antiferromagnetic Chiral Textures at Multiferroic Domain Walls. Nat. Mater. 2020, 19, 386. [Google Scholar] [CrossRef]
- Weymann, C.; Cherifi-Hertel, S.; Lichtensteiger, C.E.; Gaponenko, I.; Dorkenoo, K.D.; Naden, A.B.; Paruch, P. Non-ising domain walls in c-phase ferroelectric lead titanate thin films. Phys. Rev. B 2022, 106, L241404. [Google Scholar] [CrossRef]
- Behera, P.; May, M.A.; Gómez-Ortiz, F.; Susarla, S.; Das, S.; Nelson, C.T.; Caretta, L.; Hsu, S.; McCarter, M.R.; Savitzky, B.H.; et al. Electric field control of chirality. Sci. Adv. 2022, 8, j8030. [Google Scholar] [CrossRef] [PubMed]
- Tikhonov, Y.; Kondovych, S.; Mangeri, J.; Pavlenko, M.; Baudry, L.; Sené, A.; Galda, A.; Nakhmanson, S.; Heinonen, O.; Razumnaya, A.; et al. Controllable skyrmion chirality in ferroelectrics. Sci. Rep. 2020, 10, 8657. [Google Scholar] [CrossRef] [PubMed]
- Morozovska, A.N.; Eliseev, E.A.; Fomichov, Y.M.; Kalinin, S.V. Mesoscopic structure of mixed type domain walls in multiaxial ferroelectrics. Phys. Rev. Mater. 2020, 4, 114410. [Google Scholar] [CrossRef]
- Glinchuk, M.D.; Eliseev, E.A.; Morozovska, A.N. Spontaneous flexoelectric effect in nanosystems (topical review). Ferroelectrics 2016, 500, 90. [Google Scholar] [CrossRef]
- Houchmandzadeh, B.; Lajzerowicz, J.; Salje, E. Order parameter coupling and chirality of domain walls. J. Phys. Condens. Matter. 1991, 3, 5163. [Google Scholar] [CrossRef]
- Graham, J.T.; Brennecka, G.L.; Ferreira, P.; Small, L.; Duquette, D.; Apblett, C.; Landsberger, S.; Ihlefeld, J.F. Neutron irradiation effects on domain wall mobility and reversibility in lead zirconate titanate thin films. J. Appl. Phys. 2013, 113, 124104. [Google Scholar] [CrossRef]
- Zhang, H.; Tan, P.F.; Li, B.; Wang, F.; Wang, J.B.; Zhong, X.L.; Wang, W. Giant caloric effects enhanced by the helix polarization at the 180o domain wall in tetragonal BaTiO3. J. Phys. Condens. Matter. 2019, 31, 495702. [Google Scholar] [CrossRef]
- Zheng, S.; Du, F.; Zheng, L.; Han, D.; Li, Q.; Shi, J.; Chen, J.; Shi, X.; Huang, H.; Luo, Y.; et al. Colossal electrocaloric effect in an interface-augmented ferroelectric polymer. Science 2023, 382, 1020. [Google Scholar] [CrossRef]
- Li, B.; Yang, B.; Zhang, H.; Zhang, J.; Wang, Q.; Liu, W. Giant negative electrocaloric effect measured by indirect method in X-ray irradiated P(VDF-TrFE) films. J. Mater. 2024, 10, 624. [Google Scholar] [CrossRef]
- Hou, H.; Qian, S.; Takeuchi, I. Materials, Physics and systems for multicaloric cooling. Nat. Rev. Mater 2022, 7, 633. [Google Scholar] [CrossRef]
- Li, C.; Huang, Y.H.; Wang, J.; Wang, B.; Wu, Y.J.; Tian, H.; Chen, L.; Hong, Z. Giant room temperature elastocaloric effect in metal-free thin-ffilm perovskites. Npj Comput Mater 2021, 7, 132. [Google Scholar] [CrossRef]
- Li, B.; Lei, Z.F.; Huang, J.; Guo, H.X. Proton-induced achiral structural transition at 180° domain wall in ferroelectrics. Radiat. Eff. Defect. S. 2021, 1, 1. [Google Scholar] [CrossRef]
- Tian, W.; Jiang, J.C.; Pan, X.Q.; Haeni, J.H.; Li, Y.L.; Chen, L.Q.; Schlom, D.G.; Neaton, J.B.; Rabe, K.M.; Jia, Q.X. Structural evidence for enhanced polarization in a commensurate short-period BaTiO3/SrTiO3 superlattice. Appl. Phys. Lett. 2006, 89, 92905. [Google Scholar] [CrossRef]
- Zhang, J.; Misirlioglu, I.B.; Alpay, S.P.; Rossetti, G.A., Jr. Electrocaloric properties of epitaxial strontium titanate films. Appl. Phys. Lett. 2012, 100, 222909. [Google Scholar] [CrossRef]
- Bai, G.; Li, R.; Liu, Z.G.; Xia, Y.D.; Yin, J. Tuned Dielectric, Pyroelectric and piezoelectric properties of ferroelectric P(VDF-TrFE) thin films by using mechanical loads. J. Appl. Phys. 2012, 111, 44102. [Google Scholar] [CrossRef]





Disclaimer/Publisher’s Note: The statements, opinions and data contained in all publications are solely those of the individual author(s) and contributor(s) and not of MDPI and/or the editor(s). MDPI and/or the editor(s) disclaim responsibility for any injury to people or property resulting from any ideas, methods, instructions or products referred to in the content. |
© 2024 by the authors. Licensee MDPI, Basel, Switzerland. This article is an open access article distributed under the terms and conditions of the Creative Commons Attribution (CC BY) license (https://creativecommons.org/licenses/by/4.0/).
Share and Cite
Shi, Y.; Li, B. Influence of Stress on the Chiral Polarization and Elastrocaloric Effect in BaTiO3 with 180° Domain Structure. Crystals 2024, 14, 511. https://doi.org/10.3390/cryst14060511
Shi Y, Li B. Influence of Stress on the Chiral Polarization and Elastrocaloric Effect in BaTiO3 with 180° Domain Structure. Crystals. 2024; 14(6):511. https://doi.org/10.3390/cryst14060511
Chicago/Turabian StyleShi, Yuanyuan, and Bo Li. 2024. "Influence of Stress on the Chiral Polarization and Elastrocaloric Effect in BaTiO3 with 180° Domain Structure" Crystals 14, no. 6: 511. https://doi.org/10.3390/cryst14060511
APA StyleShi, Y., & Li, B. (2024). Influence of Stress on the Chiral Polarization and Elastrocaloric Effect in BaTiO3 with 180° Domain Structure. Crystals, 14(6), 511. https://doi.org/10.3390/cryst14060511

