Abstract
With this report, the space group of is corrected (: nalidixic acid mono-anion; : diaminocyclohexane) from its wrong description in the literature. In the correct, non-centrosymmetric space group , the crystal structure is well ordered and the stereochemistry is correct. Crystallographic tools to recognize the correct symmetry are described. This work encourages experienced and inexperienced scientists to remain critical about the output of automatic, black-box crystallographic software.
1. Introduction
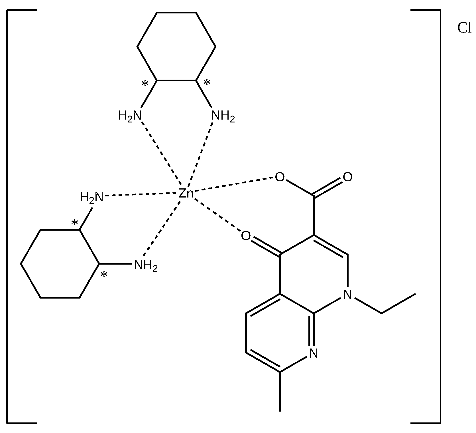
Enantiopure trans-1,2-diaminocyclohexane (DACH) and its derivatives are inexpensive and common reagents in asymmetric synthesis [1] and chiral resolution, for example, in chromatography [2] or through the formation of diastereomeric co-crystals [3]. In the context of research on therapeutical applications of the antibiotic molecule nalidixic acid (NalH, 1-ethyl-7-methyl-4-oxo-1,4-dihydro-1,8-naphthyridin-3-carboxylic acid), Arjmand et al. published in 2014 the X-ray crystal structure of the octahedral complex [4]; see Scheme 1. They reported two independent metal complex molecules in the asymmetric unit which are both in configuration at the chelated Zn atoms. Because the structure is described in the centrosymmetric space group (no. 2), the inverted configurations are equally present in the unit cell.
Scheme 1.
Molecular structure in 1a and 1b.
According to Neumann’s principle, which is a fundamental postulate in crystallography, all physical properties of a crystal are related to the symmetry of the crystal [5]; for physical applications of organic crystals, symmetry research on the polar axis is an active field, cf. [6]. Crystallographers therefore do their utmost effort to establish the correct space group symmetry. In addition to the physical properties, the selection of the wrong space group can have severe chemical effects. Examples for chemical consequences are given in [7]. The most common space group errors are missed symmetry, i.e., the symmetry is too low. Modern software tools should help to avoid these errors [8]. Cases with too high symmetry are rare [9]. Often, they can be detected by the presence of disorder and by high R values. To the best of our knowledge, automatic software tools for the detection of too high symmetry are not available.
For the synthesis of in [4], the authors used 1R,2R-diaminocyclohexane. It is well known that enantiopure (enantiomerically pure) molecules can only crystallize in a space group belonging to one of the 65 Sohncke types [10]. A Sohncke-type space group contains no operations of the second kind, i.e., no handedness-reversing operations. We have recently documented in a similar case that when a centrosymmetric space group is erroneously chosen for an enantiopure material, the description and refinement of the crystal structure will have severe disorder and physically unreasonable atomic displacement parameters [11]. In the case of , the erroneous introduction of an inversion center in [4] is only possible when equal amounts of the - and configuration of the octahedral chelate complex are present in the crystal structure. The synthetic procedure does not exclude this. But the inversion center will also lead to the presence of equal amounts of the 1R,2R- and the 1S,2S-form of the diaminocyclohexane ligand. This is not possible if an enantiopure starting material has been used and no racemization has taken place. Consequently, the metal complex molecules in the crystal structure in [4] show severe disorder and very large anisotropicity of the atomic displacement parameters. Additionally, there are non-coordinated fragments described in [4] which are chemically not identifiable. The reflection data in [4] are rather weak with a percentage of observed reflections with of only 28%.
The publication of [4] does not contain X-ray reflection data in the Supplementary Materials or the data deposition. It was therefore not possible to redetermine the structure on the original data. For a correct space group determination and proper crystal structure description, we consequently had to re-synthesize the crystals and perform a new single-crystal X-ray diffraction experiment. The description in the correct, non-centrosymmetric space group (no. 1) will be reported in the current article.
2. Materials and Methods
2.1. Synthesis and Crystallization
First, 0.463 g (1.99 mmol) nalidixic acid (NalH) was suspended in 10 mL ethanol and 2 mL water. Then, 0.149 g (2.66 mmol) of potassium hydroxide (KOH) in 3 mL of water was slowly added under stirring. Following this, 20 mL ethanol was added to improve the dissolution. Then, 0.456 g (3.99 mmol) 1R,2R-diaminocyclohexane in 10 mL ethanol was added. Finally, 0.276 g (2.02 mmol) zinc(II)chloride in 10 mL water was added. A clear solution was obtained. Within three days, crystals of 1a had formed by slow evaporation at room temperature.
Before recrystallization, crystals of 1a were dried on filter paper by standing in open air for three days. Then, they were dissolved in 5 mL of a mixture of methanol–chloroform (8:2) by heating to 60 °C. Crystals of 1b formed after two hours of standing at room temperature.
2.2. X-ray Data Collection
Photographs of the crystals 1a and 1b and approximate descriptions of their shape are given in Figures S1–S3 in the Supplementary Materials. X-ray reflection data were measured on a Bruker ApexII diffractometer with sealed tube and Triumph monochromator. For 1a and 1b, 4105 frames were measured, respectively, in 11 scans with a detector distance of 45 mm and a rotation increment of . The intensity integration was performed with the Eval15 software [12]. The profile prediction in Eval15 involved an isotropic mosaicity of for both crystals 1a and 1b. Small interfering contributions from additional crystallites were ignored in the case of 1b.
The SADABS program [13] was used for multiscan absorption correction and scaling. The Laue symmetry was input for the parameter refinement and scaling, and the point group symmetry 1 for the error model and statistics.
2.3. Structure Solution and Refinement
Structure refinement was performed with the SHELXL-2019/3 software [14]. The atomic coordinates of [4] were expanded to space group and were taken as starting model for 1a and 1b. The coordinates of the minor disorder components of the ligands, the chlorine atoms, and the solvent molecules were deleted. The chlorine atoms and the solvent molecules were re-determined later from difference Fourier maps. In the initial refinement cycles, distances and angles in the metal complex molecules were restrained with the SHELXL instruction SAME. These restraints were released in later stages of the refinement. For the convergence of the refinement, some atoms in the ligands needed to be shifted manually from the starting model to the correct positions.
Hydrogen atoms were introduced in calculated positions. For the metal complex molecules, they were refined with a riding model. For the solvent molecules, the hydrogen positions were calculated based on potential hydrogen bond acceptors. These hydrogen atoms were kept fixed during the refinement. Overall, the model of the disordered solvent remained deficient. Also, the possible minor disorder of the chlorine atoms was ignored.
Geometrical calculations and checking for higher symmetry was performed with the PLATON software [8]. Further experimental details about the crystal structure determinations are given in Table 1.
Table 1.
Experimental details of the crystal structures. An atomic model for the disordered solvent in 1a and 1b was used.
2.4. Application of Squeeze
For a better treatment of the diffuse solvent regions, the Squeeze algorithm [18] was used. The metal complex molecules and the chloride anions were considered to be the ordered part of the structure. The water and methanol molecules were considered disordered and were removed from the atomic model. The solvent accessible region was then determined with a default probe radius of 1.20 Å. Prior to the calculation of the diffuse electron density, the reflection data were merged according to the point group symmetry 1. For every reflection, the A- and B-terms of the diffuse solvent contribution were calculated by PLATON and read by SHELXL (with the instruction ABIN). With this procedure, the observed structure factors are left unchanged, and the solvent contribution only affects the calculated structure factors .
The Squeeze calculation showed significant residual density excursions in the ordered part of the structure between −0.9 and 1.2 e/Å3 in 1a. Further details about the Squeeze results are given in Table 2.
Table 2.
Refinement results after the application of Squeeze [18].
2.5. Absolute Structure Determination
In all four cases 1a, 1a-squeeze, 1b and 1b-squeeze, the Flack x-parameter [15] was obtained by refinements as the inversion twin (i.e., with the SHELXL instructions TWIN and BASF). The Parsons z-parameter [16] and the Hooft y-parameter [17] were obtained by post-refinement determinations using SHELXL [14] and PLATON [8], respectively, after single-crystal refinements (i.e., without the instructions TWIN and BASF).
3. Results and Discussion
The aim of the current study was to re-synthesize and to determine the correct space group in the crystal structure of this enantiopure complex. From the unit cell parameters in Table 1, we see a high similarity between 1a and 1b and the literature structure of [4], from now on called AYAT. For a quantitative comparison, spontaneous strain values S [19] were calculated, resulting in low values of 0.01329 for 1a with AYAT and 0.01516 for 1b with AYAT. The structural identity was further supported by the fact that the atomic coordinates of AYAT (expanded to space group ) can be used as starting values for the structure determinations of 1a and 1b.
A detailed comparison of 1a and 1b with AYAT is not possible because the metal complex molecules in AYAT are severely disordered, and additional fragments in AYAT are chemically not identifiable. A calculation of the shortest non-bonding distances in Table 3 reveals that there are significant differences in the packing despite the overall structural similarity. A graphical representation of the and atoms is given in Figure S4 in the Supplementary Materials. This can be explained by the fact that the chloride anions are part of the solvent region (vide infra), which appears to be rather variable between the different structures.
Table 3.
Shortest distances [Å].
3.1. Stereochemistry
In space group of 1a and 1b, there are four independent Zn-complex molecules in the unit cell. None of the Zn-complex molecules show disorder. Consistent with AYAT, two molecules have a configuration at the metal (Figure 1), and two have a configuration (Figure 2). The archetypical octahedral Werner complexes ( ethylenediamine) have ideally a symmetry. The same symmetry holds for the corresponding complexes [20]. In , one ligand is replaced by the achiral ligand. A threefold symmetry is consequently not possible. If we ignore the details of the ligand, we find an approximate symmetry for the octahedra at the Zn atoms (Figure 3).
Figure 1.
Displacement ellipsoid plot of the monocationic complex molecule at in 1a (ellipsoids at the 50% probability level). Atoms C171, C181, C251 and C261 are in R configuration. The metal environment has a configuration. The complex at Zn3 is not shown but has the same configuration at the metal and the ligands as at Zn1.
Figure 2.
Displacement ellipsoid plot of the monocationic complex molecule at in 1a (ellipsoids at the 50% probability level). Atoms C172, C182, C252 and C262 are in R configuration. The metal environment has a configuration. The complex at Zn4 is not shown but has the same configuration at the metal and the ligands as at Zn2.
Figure 3.
If the ligand is ignored, the complexes at Zn1 and Zn2 show approximate symmetry in 1a.
Four independent Zn-complex molecules consequently have eight independent ligands. The cyclohexane rings are all in chair conformation and are very similar. The five-membered chelate rings at the Zn-center show significant conformational flexibility (Figure 4). The numerical values of the ring puckering analysis are provided in Tables S1 and S2 in the Supplementary Materials. The N–C–C–N torsion angles are in a gauche conformation and are rather constant with values between −50.5(5) and −56.8(5)° for 1a (Table 4) and between −52.7(5) and −56.6(5)° for 1b (Table 5). Importantly, all N–C–C–N torsion angles have a negative sign, and a conformation can be assigned to all eight chelate rings. We conclude that the enantiopurity of the ligands does not predetermine the configuration of the metal in 1a and 1b: both the - and the configurations are present in the two crystal structures. The enantiopure quality does predetermine the conformation of the five-membered chelate rings: they are all in conformation. The and complexes are thus not enantiomers and cannot be related by second-kind symmetry operations. Instead, they are and diastereomers.
Figure 4.
Overlay of the eight independent DACH ligands in 1a. The calculation of the best fit is based on the cyclohexane rings only.
Table 4.
Selected bond distances [Å], angles and torsion angles [°] for the four independent molecules in 1a.
Table 5.
Selected bond distances [Å], angles and torsion angles [°] for the four independent molecules in 1b.
Obviously, for the full description of the stereochemistry of 1a and 1b, the additional chiral elements in the ligands need to be considered. The information that all stereocenters of the enantiopure starting material are in ) configuration was already known before the synthesis. This is the strongest proof that the structure description of AYAT in the centrosymmetric space group is wrong.
3.2. Crystal Packing
The crystal packing of 1a and 1b is characterized by large one-dimensional solvent channels in the direction of the a-axis and located at and (Figure 5). In 1a, the channels are filled with disordered water molecules, and in 1b with disordered methanol/water molecules. The volume of the channels in 1b is slightly larger, leading to a slightly larger unit cell volume overall. After the refinement of the disorder models, there still is residual electron density present. We consider the disorder models reasonable because intermolecular contacts are of acceptable distance and all solvent molecules fit into the hydrogen bonding networks. The residual densities, however, indicate that the disorder model is still approximate.
Figure 5.
Packing of the molecules in 1a. Solvent channels are drawn in yellow. View approximately along the a-axis. Plot prepared with the Mercury program [21].
In 1a, the metal complex molecules are linked by hydrogen bonds into one-dimensional chains in the direction of the b-axis. Under involvement of the chloride anions and the water molecules, this motif is extended into two-dimensional hydrogen-bonded layers parallel to . Similarly, in 1b, the metal complex molecules form a hydrogen-bonded chain along the b-axis. The chloride anions and methanol/water solvent molecules support this arrangement. Overall, the hydrogen bonding situation in 1b is one-dimensional. In both 1a and 1b, not all donor groups have a hydrogen bond acceptor.
In AYAT, an analysis of the hydrogen bonding is not possible because the hydrogen atoms are missing in the donor groups, and some components of the structure are chemically not identifiable.
The hydrogen bonds in 1a and 1b are rather long (Table 6 and Table 7). From a search for hydrogen bonds between metal-coordinated groups and free chloride anions in the Cambridge Structural Database [22], one expects a distance of ≈ 2.47 Å and a distance of ≈3.31 Å. A typical example is given in [23]. From the long hydrogen bond distances in 1a and 1b, we conclude that the chloride anions are only weakly bonded and should be considered a part of the flexible solvent channels. They may even be slightly affected by the disorder in the channels.
Table 6.
Geometries of the hydrogen bonds in 1a.
Table 7.
Geometries of the hydrogen bonds in 1b.
By intermolecular interactions between the ligands, the metal complex molecules form stacked dimers. The complex at Zn1 dimerizes with the one at Zn2, and the complex at Zn3 with that at Zn4. There are pseudo-inversion centers between the ligand pairs, which makes the stacking arrangement approximately parallel. The pseudo-inversion center between the pair Zn1/Zn2 is at and between the pair Zn3/Zn4, at . The perpendicular distances between the pairs of ligands are approximately 3.3 Å in 1a and 1b, respectively.
3.3. Pseudo-Symmetry
Application of the ADDSYM routine of the PLATON software [8] indicates the presence of pseudo-inversion symmetry between the molecules. If the disordered solvent is ignored, the fit for the centrosymmetric space group is 90% for 1a and 92% for 1b. The pseudo-inversion operation will transform the complex at Zn2 to Zn1 and the complex at Zn4 to Zn3. In other words, it will transform the configuration at the metal on the configuration. After the application of the inversion symmetry to the crystal structure, the six coordinated atoms of the metal octahedron as well as the complete ligand fit well. The ligands, however, which are ordered in the structure, show severe disorder in the structure (Figure 6). One disorder component of has a configuration and the other disorder component, a configuration. Because of the disorder, the torsion angles of the five-membered chelate rings are not very reliable, but it can be stated that the N–C–C–N torsion angles are in gauche conformation and have an approximate magnitude of 60°. In one disorder component of , the N–C–C–N torsion has a negative sign and in the other component, a positive sign. As stated above, the configuration is not possible with the given synthetic route.
Figure 6.
Application of the PLATON-ADDSYM routine to 1a. Hydrogen atoms and disordered solvent molecules are ignored. Zinc atoms are drawn in yellow, chlorine in green, nitrogen in blue, oxygen in red, and carbon in black. The corresponding figure for 1b is given in Figure S5 in the Supplementary Materials.
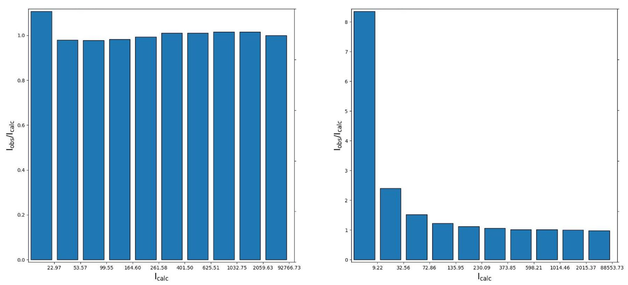
Changing the correct space group to the incorrect in the least-squares refinement worsens the R1 value from 4.0% to approximately 7.9% in 1a, and from 3.8% to approximately 10.2% in 1b. More importantly, the refinements in the centrosymmetric space group lead to problems with the scale factor for the weak reflections (Figure 7). It has been shown in the literature that such scale factor deviations for weak reflections are a strong indication for a wrong space group choice in pseudo-symmetric cases [11,24,25]. In addition to the chemical knowledge about the synthesis, this is a crystallographic confirmation for the correctness of space group .
Figure 7.
Histogram of the scale factor versus in 1a. The expectation value is for all reflection groups (reflection bins). The left image is from space group , the right image from . Plots were prepared with the anafcf software [26]. The corresponding figure for 1b is given in Figure S6 in the Supplementary Materials.
The presence of pseudo-symmetry can lead to an unstable least-squares refinement. This is not the case in 1a and 1b. The largest elements in the correlation matrix are only −63.7% for 1a and −65.1% for 1b and thus far away from the singularity at 100% or −100%. The metal complex molecules could therefore be refined freely without restraints or constraints. The resulting standard uncertainties in the bond geometries are fairly low (Table 4 and Table 5). Normal probability plots for the bond distances in the metal complexes are reasonable (Figures S7 and S8 in the Supplementary Materials) with slopes between 1.18 and 1.92 for 1a and between 1.36 and 2.18 for 1b. Outliers in the plots are moderate. It is thus possible to analyze the bond distances reliably (Table 4 and Table 5). The shortest Zn–N distance is consistently Zn–N23 with an average of 2.135(2) Å for 1a and 2.128(2) Å for 1b. Thereby, N23 is located trans to the keto-oxygen O3 of the ligand. The other Zn–N distances vary significantly between 2.146(5) and 2.173(4) Å for 1a and between 2.144(4) and 2.187(4) Å for 1b. As expected, the angles at the metal deviate from the perfect octahedron due to the bite angles of the chelating ligands.
As a consequence of the pseudo-inversion symmetry, the absolute structure determination becomes a challenge. The phase angles of the structure factors accumulate at values of 0 and , which is very similar to the centrosymmetric case, where the values of 0 and are obviously exact (see Figure S9 in the Supplementary Materials).
The -plot was introduced by [27], with A being the average of and and D being the difference between and . Here, this plot shows an accumulation of Friedel pairs at and a large variation of (Figure 8). We conclude that a large number of reflections contain little or no information about the absolute structure. In fact, in 1a, only 40.1% of all Friedel pairs have and only 6.4% have . For 1b, the corresponding percentages are 36.5% and 4.9%. The information content is thus much smaller than, for example, in the archetypical Na-Rb-(+)-tartrate when measured with modern equipment [28], where we find 70.5% for and still 36.3% for . The difficulty in the absolute structure determination of 1a and 1b using the Parsons z-parameter [16] and the Hooft y-parameter [17] can be seen in Table 1, where the found values can deviate significantly from the expected value of zero, and the standard uncertainties of z and y are apparently underestimated. The most reliable result for the absolute structure determination, here, is obtained from the Flack x-parameter, which is obtained from a refinement as an inversion twin [15].The x-parameter in 1a and 1b confirms the enantiopurity and thus the absence of centrosymmetry.
Figure 8.
A 2AD plot for 1a according to [27]. In the right panel, the difference values D are plotted in blue for all Friedel pairs. The average values are plotted in red for the weak reflections only. The values for are taken from the non-twinned of the single crystal. The left panel shows and for all Friedel pairs. The corresponding figure for 1b is given in Figure S10 in the Supplementary Materials.
The treatment of the diffuse electron density of disordered solvent molecules with the Squeeze algorithm [18] improves the structural results for 1a and 1b. Both the refined R-values and the residual electron density improve (Table 2). In the input files for Squeeze, the water and methanol molecules are considered disordered and were removed from the coordinate list. In principle, the chlorine atoms are also in the solvent channel and they might be part of the disorder. Nevertheless, they were assigned to the ordered part of the structure. The chlorine atoms are significant anomalous scatterers and a removal could bias the Squeeze calculation which is based only on the real part of the structure factors F. The imaginary part (i.e, the resonant scattering) is ignored [29]. In the case of 1a and 1b, the Squeeze procedure for water and methanol does not improve the absolute structure determination. Table S3 in the Supplementary Materials shows the R-value changes from the application of Squeeze. Squeeze improves , which is a classical R-value based on the Friedel averages A. , which is based on the Friedel differences D, is not changed by Squeeze.
We can only speculate as to why the authors in [4] have chosen the wrong space group despite the enantiopure synthesis. The most probable reason is the use of automatic software packages for X-ray crystal structure determination. They are available as components of automated diffractometers or as stand-alone programs, and their purpose is to simplify routine tasks, also for the non-specialist. Traditionally, the first step of the structure analysis is the determination of the space group. This is based on systematic absences. In the case of ambiguities and in the triclinic crystal system without systematic absences, statistical methods for the intensity distributions can be applied. Both the and the statistics strongly indicate a centrosymmetric space group (Figures S11 and S12 in the Supplementary Materials). Consequently, space group routines in PLATON [8] or in the XPREP software [30] will give the highest probability to space group . (Both programs only give a proposal for the space group, and the user needs to decide. The XPREP software has the possibility to restrict the search to Sohncke space groups.) A more modern approach is to solve the phase problem with dual-space methods in space group without symmetry information. The space group is then determined from the results. The module Flip in PLATON [8] is an implementation of the charge flipping algorithm [31]. PLATON assigns atoms to the structure solution and then uses ADDSYM to find the space group. The automatic result is . Another implementation of the charge flipping method is in the SUPERFLIP software [32]. Here, the symmetry is derived from the electron density and gives symmetry agreement factors for 1a and 1b, indicating a very good agreement with . (The manual of SUPERFLIP has an explicit warning that it is impossible to determine the correct agreement factor for all situations automatically.) The intrinsic phasing approach in SHELXT [33] solves the phase problem by dual-space iterations. The space group is then determined from the phase relationships of the structure factors. Table S4 in the Supplementary Materials gives the output of SHELXT with acceptable agreement factors for both space groups and . It is then the decision of the user if the quality difference is significant enough to choose the lower symmetry.
4. Conclusions
In this study, the compound has been re-synthesized and the identity with structure AYAT from [4] has been proven. The wrong space group of for AYAT has been changed to the correct space group for 1a and 1b. The latter is a Sohncke space group and thus compatible with the enantiopure starting material. With this correction, the originally severely disordered structure in AYAT becomes well ordered in 1a and 1b. This allows a detailed analysis of intra- and intermolecular geometries of the metal complex. The crystal structures 1a and 1b contain one-dimensional solvent channels for which an appropriate disorder model was found. The current report is a warning to remain critical when automatic crystallographic software is used. Software authors invest a lot of effort, but the final responsibility is with the program users. The training of chemists in this respect is essential [34]. This report is also a reminder to reviewers and journal editors that the space group choice is not a minor side issue but essential for the correct structure description.
Supplementary Materials
The following supporting information can be downloaded at: https://www.mdpi.com/article/10.3390/cryst14060498/s1. Figure S1: Crystals of 1a (left) and 1b (right) mounted with perfluoroalkyl ether oil on MiTeGen loops for X-ray data collection; Figure S2: Approximate shape of 1a. Figure from PLATON [8]; Figure S3: Approximate shape of 1b. Figure from PLATON [8]; Figure S4: Arrangement of zinc atoms (yellow) and chlorine atoms (green) in the unit cells of AYAT (top), 1a (middle) and 1b (bottom). View along the b-axis, respectively. Plot prepared with PLATON [8]; Figure S5: Application of the PLATON-ADDSYM routine [8] to 1b. Hydrogen atoms and disordered solvent molecules are ignored. Zinc atoms are drawn in yellow, chlorine in green, nitrogen in blue, oxygen in red, and carbon in black; Figure S6: Histogram of the scale factor k = mean()/mean() versus in 1b. Expected value is k = 1 for all reflection groups (reflection bins). The left image is from space group P1, the right image from . Plots were prepared with the anafcf software [26]. Figure S7: Normal probability plots [35] for the comparison of 40 individual bond distances in the octahedral Zn-complex molecules in 1a; Figure S8: Normal probability plots [35] for the comparison of 40 individual bond distances in the octahedral Zn-complex molecules in 1b; Figure S9: Distribution of the phase angles of the calculated structure factors in 1a (top). For comparison, the phase angles of the centrosymmetric refinement are given (bottom); Figure S10: 2AD plot [27] for 1b; Figure S11: |E2− 1| statistics [36] for 1a (top) and 1b (bottom). The black horizontal line at 0.968 is the expectation value for a centrosymmetric structure and at 0.736 for a non-centrosymmetric structure. The experimental values are drawn in blue. The plots were created with the SADABS program [13]. Figure S12: N(Z) statistics [37] for 1a (top) and 1b (bottom). The distributions were calculated with the PLATON program [8]; Table S1: Puckering analysis of the five-membered chelate rings in 1a. According to [38] the puckering can be described as linear combination of the cos form (envelope form) and the sin form (twist form). The corresponding coefficients of the normalised forms are given in this table; Table S2: Puckering analysis of the five-membered chelate rings in 1b. According to [38] the puckering can be described as linear combination of the cos form (envelope form) and the sin form (twist form). The corresponding coefficients of the normalised forms are given in this table; Table S3: Friedel pair R-values [27]. is based on the average F2 of the Friedel pairs. is based on the difference of F2 of the Friedel pairs; Table S4: Space group determination with SHELXT [33].
Author Contributions
Conceptualization, M.L.; formal analysis, M.L.; data curation, M.L. and T.W.M.; writing—original draft preparation, M.L.; writing—review and editing, M.L. and T.W.M. All authors have read and agreed to the published version of the manuscript.
Funding
The X-ray diffractometer was financed by the Netherlands Organization for Scientific Research (NWO).
Institutional Review Board Statement
Not applicable.
Informed Consent Statement
Not applicable.
Data Availability Statement
CCDC 2352729 (crystal structure 1a), 2352730 (1a-squeeze), 2352731 (1b) and 2352732 (1b-squeeze) contain the supplementary crystallographic data for this paper. These data can be obtained free of charge from The Cambridge Crystallographic Data Centre via www.ccdc.cam.ac.uk/datarequest/cif, accessed on 1 May 2024.
Conflicts of Interest
The authors declare no conflict of interest.
Abbreviations
- The following abbreviations are used in this manuscript:
| DACH | Diaminocyclohexane |
| NalH | Nalidixic acid |
| Nal | Deprotonated nalidixic acid (mono-anion) |
References
- Bennani, Y.L.; Hanessian, S. trans-1,2-Diaminocyclohexane Derivatives as Chiral Reagents, Scaffolds, and Ligands for Catalysis: Applications in Asymmetric Synthesis and Molecular Recognition. Chem. Rev. 1997, 97, 3161–3196. [Google Scholar] [CrossRef] [PubMed]
- Zhu, G.; Jiang, D.; Yang, Q.; Yang, J.; Li, C. trans-(1R,2R)-Diaminocyclohexane-functionalized mesoporous organosilica spheres as chiral stationary phase. J. Chromatogr. 2007, 1149, 219–227. [Google Scholar] [CrossRef] [PubMed]
- Zheng, C.; Chen, F. An efficient method for the resolution of rac-VANOL by molecular complexation with (1S,2S)-(+)-diaminocyclohexane. Tetrahedron Asymmetry 2014, 25, 792–795. [Google Scholar] [CrossRef]
- Arjmand, F.; Yousuf, I.; Afzal, M.; Toupet, L. Design and synthesis of new Zn(II) nalidixic acid-DACH based Topo-II inhibiting molecular entity: Chemotherapeutic potential validated by its in vitro binding profile, pBR322 cleavage activity and molecular docking studies with DNA and RNA molecular targets. Inorganica Chim. Acta 2014, 421, 26–37. [Google Scholar] [CrossRef][Green Version]
- Nye, J.F. Physical Properties of Crystals Their Representation by Tensors and Matrices; Oxford Science Publications, Clarendon Press: Oxford, UK, 2012. [Google Scholar]
- Cen, Z.; Li, F.; Wei, J.; Gao, Z.; Liu, Z.; Zhang, T.; Han, D.; Chen, M.; Gong, J. Recent Advances in the Asymmetric Growth of Organic Polar Crystals: A Review. Cryst. Growth Des. 2023, 23, 7517–7534. [Google Scholar] [CrossRef]
- Clemente, D.A. A study of the 8466 structures reported in Inorganica Chimica Acta: 52 space group changes and their chemical consequences. Inorganica Chim. Acta 2005, 358, 1725–1748. [Google Scholar] [CrossRef]
- Spek, A.L. Structure validation in chemical crystallography. Acta Crystallogr. Sect. D 2009, 65, 148–155. [Google Scholar] [CrossRef] [PubMed]
- Harlow, R.L. Troublesome Crystal Structures: Prevention, Detection, and Resolution. J. Res. Natl. Inst. Stand. Technol. 1996, 101, 327–339. [Google Scholar] [CrossRef] [PubMed]
- Nespolo, M.; Benahsene, A.H. Symmetry and chirality in crystals. J. Appl. Crystallogr. 2021, 54, 1594–1599. [Google Scholar] [CrossRef]
- Lutz, M. Comment on “Crystallographic and theoretical study of the atypical distorted octahedral geometry of the metal chromophore of zinc(II) bis((1R,2R)-1,2-diaminocyclohexane) dinitrate”. J. Mol. Struct. 2023, 1284, 135362. [Google Scholar] [CrossRef]
- Schreurs, A.M.M.; Xian, X.; Kroon-Batenburg, L.M.J. EVAL15: A diffraction data integration method based on ab initio predicted profiles. J. Appl. Crystallogr. 2010, 43, 70–82. [Google Scholar] [CrossRef]
- Krause, L.; Herbst-Irmer, R.; Sheldrick, G.M.; Stalke, D. Comparison of silver and molybdenum microfocus X-ray sources for single-crystal structure determination. J. Appl. Crystallogr. 2015, 48, 3–10. [Google Scholar] [CrossRef] [PubMed]
- Sheldrick, G.M. Crystal structure refinement with SHELXL. Acta Crystallogr. Sect. C 2015, 71, 3–8. [Google Scholar] [CrossRef]
- Flack, H.D. On enantiomorph-polarity estimation. Acta Crystallogr. Sect. A 1983, 39, 876–881. [Google Scholar] [CrossRef]
- Parsons, S.; Flack, H.D.; Wagner, T. Use of intensity quotients and differences in absolute structure refinement. Acta Crystallogr. Sect. B 2013, 69, 249–259. [Google Scholar] [CrossRef] [PubMed]
- Hooft, R.W.W.; Straver, L.H.; Spek, A.L. Determination of absolute structure using Bayesian statistics on Bijvoet differences. J. Appl. Crystallogr. 2008, 41, 96–103. [Google Scholar] [CrossRef] [PubMed]
- Spek, A.L. PLATON SQUEEZE: A tool for the calculation of the disordered solvent contribution to the calculated structure factors. Acta Crystallogr. Sect. C 2015, 71, 9–18. [Google Scholar] [CrossRef] [PubMed]
- de la Flor, G.; Orobengoa, D.; Tasci, E.; Perez-Mato, J.M.; Aroyo, M.I. Comparison of structures applying the tools available at the Bilbao Crystallographic Server. J. Appl. Crystallogr. 2016, 49, 653–664. [Google Scholar] [CrossRef]
- Ehnbom, A.; Ghosh, S.K.; Lewis, K.G.; Gladysz, J.A. Octahedral Werner complexes with substituted ethylenediamine ligands: A stereochemical primer for a historic series of compounds now emerging as a modern family of catalysts. Chem. Soc. Rev. 2016, 45, 6799–6811. [Google Scholar] [CrossRef]
- Macrae, C.F.; Edgington, P.R.; McCabe, P.; Pidcock, E.; Shields, G.P.; Taylor, R.; Towler, M.; van de Streek, J. Mercury: Visualization and analysis of crystal structures. J. Appl. Crystallogr. 2006, 39, 453–457. [Google Scholar] [CrossRef]
- Groom, C.R.; Bruno, I.J.; Lightfoot, M.P.; Ward, S.C. The Cambridge Structural Database. Acta Crystallogr. Sect. B 2016, 72, 171–179. [Google Scholar] [CrossRef] [PubMed]
- Moon, D.; Choi, J.H. Crystal structure of tris(trans-1,2-cyclohexanediamine-κ2N,N′)chromium(III) tetrachloridozincate chloride trihydrate from synchrotron data. Acta Crystallogr. Sect. E 2016, 72, 671–674. [Google Scholar] [CrossRef] [PubMed]
- Walker, M.; Pohl, E.; Herbst-Irmer, R.; Gerlitz, M.; Rohr, J.; Sheldrick, G.M. Absolute configurations of Emycin D, E and F; mimicry of centrosymmetric space groups by mixtures of chiral stereoisomers. Acta Crystallogr. Sect. B 1999, 55, 607–616. [Google Scholar] [CrossRef] [PubMed]
- Huang, Y.; Moret, M.E.; Klein Gebbink, R.J.M.; Lutz, M. Crystallographic Space Group Choice and Its Chemical Consequences: Revised Crystal Structure of [Fe(phen)2Cl)2]NO)3. Eur. J. Inorg. Chem. 2013, 2013, 2467–2469. [Google Scholar] [CrossRef]
- Schreurs, A.M.M.; Lutz., M. anafcf; Utrecht University: Utrecht, The Netherlands, 2022. Available online: http://www.crystal.chem.uu.nl/distr (accessed on 1 May 2024).
- Parsons, S.; Pattison, P.; Flack, H.D. Analysing Friedel averages and differences. Acta Crystallogr. Sect. A 2012, 68, 736–749. [Google Scholar] [CrossRef] [PubMed]
- Lutz, M.; Schreurs, A.M.M. Was Bijvoet right? Sodium rubidium (+)-tartrate tetrahydrate revisited. Acta Crystallogr. Sect. C 2008, 64, m296–m299. [Google Scholar] [CrossRef] [PubMed]
- Cooper, R.I.; Flack, H.D.; Watkin, D.J. HUG and SQUEEZE: Using CRYSTALS to incorporate resonant scattering in the SQUEEZE structure-factor contributions to determine absolute structure. Acta Crystallogr. Sect. C 2017, 73, 845–853. [Google Scholar] [CrossRef] [PubMed]
- Bruker AXS Inc. XPREP; Bruker AXS Inc.: Madison, WI, USA, 2012. [Google Scholar]
- Oszlányi, G.; Süto, A. Ab initio structure solution by charge flipping. Acta Crystallogr. Sect. A 2004, 60, 134–141. [Google Scholar] [CrossRef] [PubMed]
- Palatinus, L.; Chapuis, G. SUPERFLIP—A computer program for the solution of crystal structures by charge flipping in arbitrary dimensions. J. Appl. Crystallogr. 2007, 40, 786–790. [Google Scholar] [CrossRef]
- Sheldrick, G.M. SHELXT—Integrated space-group and crystal-structure determination. Acta Crystallogr. Sect. A 2015, 71, 3–8. [Google Scholar] [CrossRef]
- Campbell, M.G.; Powers, T.M.; Zheng, S.L. Teaching with the Case Study Method To Promote Active Learning in a Small Molecule Crystallography Course for Chemistry Students. J. Chem. Educ. 2016, 93, 270–274. [Google Scholar] [CrossRef]
- Abrahams, S.C.; Keve, E.T. Normal probability plot analysis of error in measured and derived quantities and standard deviations. Acta Crystallogr. Sect. A 1971, 27, 157–165. [Google Scholar] [CrossRef]
- Rupp, B. Biomolecular Crystallography; Garland Science: New York, NY, USA, 2010; pp. 354–355. [Google Scholar]
- Howells, E.R.; Phillips, D.C.; Rogers, D. The probability distributionof X-ray intensities. II. Experimental investigation and the X-ray detection of centres of symmetry. Acta Crystallogr. 1950, 3, 210–214. [Google Scholar] [CrossRef]
- Evans, D.G.; Boeyens, J.C.A. Conformational analysis of ring pucker. Acta Crystallogr. Sect. B 1989, 45, 581–590. [Google Scholar] [CrossRef]
Disclaimer/Publisher’s Note: The statements, opinions and data contained in all publications are solely those of the individual author(s) and contributor(s) and not of MDPI and/or the editor(s). MDPI and/or the editor(s) disclaim responsibility for any injury to people or property resulting from any ideas, methods, instructions or products referred to in the content. |
© 2024 by the authors. Licensee MDPI, Basel, Switzerland. This article is an open access article distributed under the terms and conditions of the Creative Commons Attribution (CC BY) license (https://creativecommons.org/licenses/by/4.0/).








