Cobalt and Iron Cyano Benzene Bis(Dithiolene) Complexes
Abstract
1. Introduction
2. Materials and Methods
2.1. General Information
2.2. Synthesis
2.3. X-ray Crystallography
2.4. Cyclic Voltammetry Studies
2.5. Magnetic Susceptibility Measurements
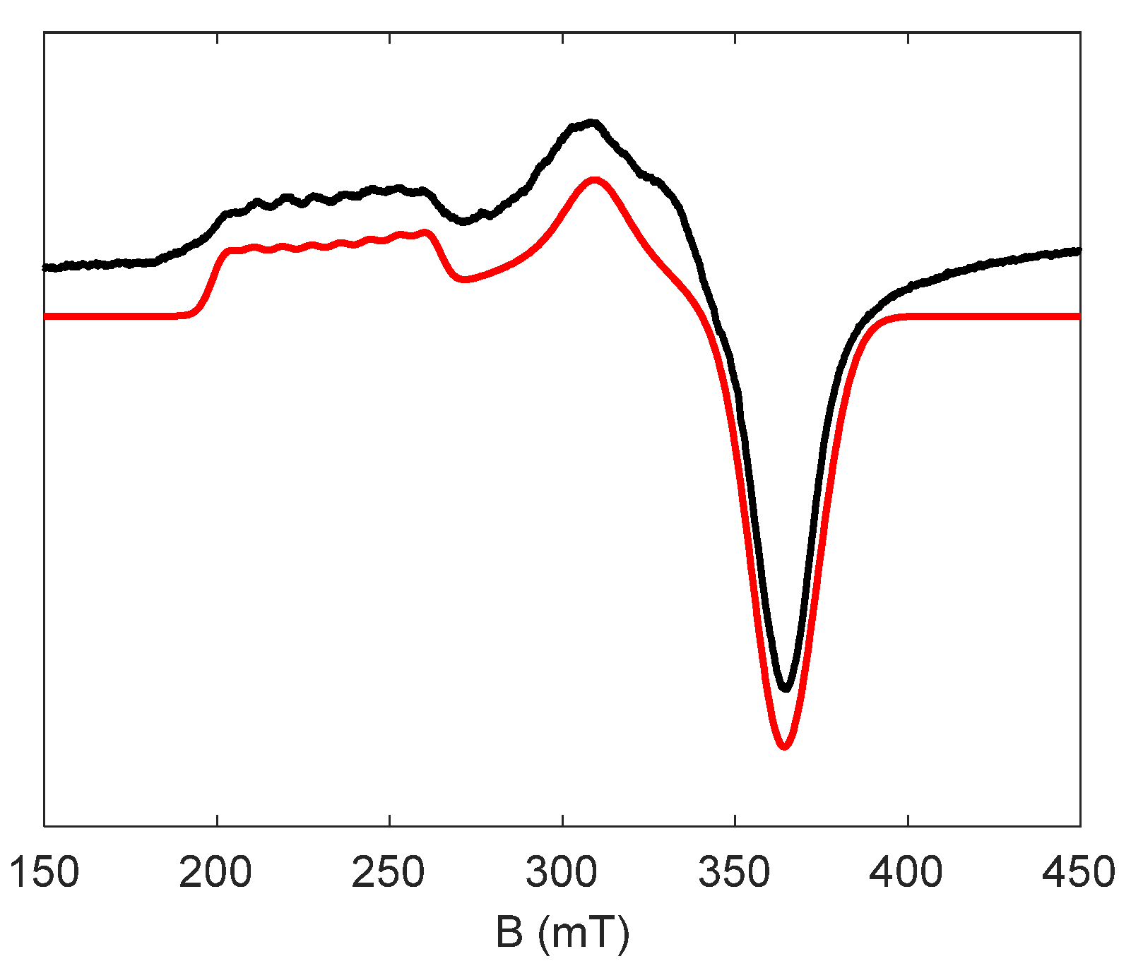
2.6. EPR Spectrometry
2.7. Mass Spectrometry
3. Results
3.1. Tetraphenylphosphonium Bis(Dithiolene) Complexes Synthesis
3.2. Electrochemical Properties
3.3. Crystal and Molecular Structures of the [M(3cbdt)2]22− M = Fe, Co Complexes
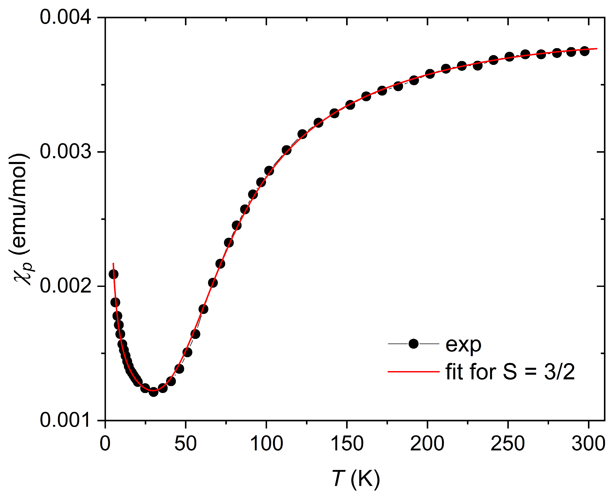
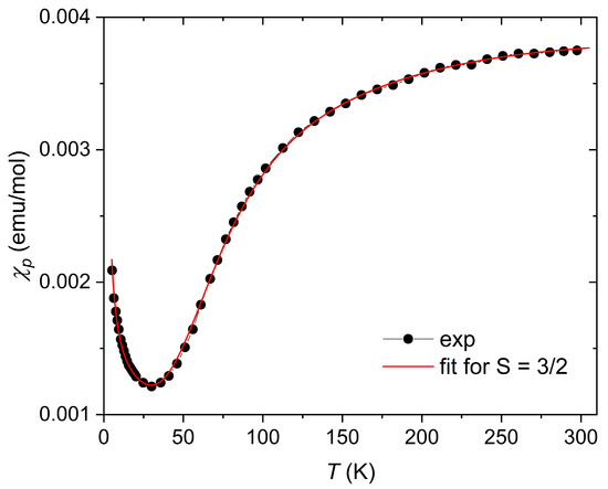
3.4. Magnetic Properties of the [M(3cbdt)2]22− M = Fe, Co Complexes
4. Conclusions
Supplementary Materials
Author Contributions
Funding
Data Availability Statement
Acknowledgments
Conflicts of Interest
References
- Gray, H.B.; Billig, E.; Williams, R.; Bernal, I. A Spin-Free Square Planar Cobaltous Complex. J. Am. Chem. Soc. 1962, 84, 3596–3597. [Google Scholar] [CrossRef]
- Robertson, N.; Cronin, L. Metal bis-1,2-dithiolene complexes in conducting or magnetic crystalline assemblies. Coord. Chem. Rev. 2002, 227, 93–127. [Google Scholar] [CrossRef]
- Kato, R. Conducting metal dithiolene complexes: Structural and electronic properties. Chem. Rev. 2004, 104, 5319–5346. [Google Scholar] [CrossRef] [PubMed]
- Eisenberg, R.; Gray, H.B. Noninnocence in Metal Complexes: A Dithiolene Dawn. Inorg. Chem. 2011, 50, 9741–9751. [Google Scholar] [CrossRef] [PubMed]
- Coucouvanis, D. The Chemistry of the Dithioacid and 1,1-Dithiolate Complexes. In Progress in Inorganic Chemistry; Wiley Online Library: Hoboken, NJ, USA, 1970; pp. 233–371. [Google Scholar] [CrossRef]
- Ke, S.W.; Wang, Y.D.; Su, J.; Liao, K.; Lv, S.; Song, X.M.; Ma, T.R.; Yuan, S.; Jin, Z.; Zuo, J.L. Redox-Active Covalent Organic Frameworks with Nickel-Bis(dithiolene) Units as Guiding Layers for High-Performance Lithium Metal Batteries. J. Am. Chem. Soc. 2022, 144, 8267–8277. [Google Scholar] [CrossRef] [PubMed]
- Olubummo, A.; Zhao, L.H.; Hartman, A.; Tom, H.; Zhao, Y.; Wycoff, K. Photothermal bleaching of nickel dithiolene for bright multi-colored 3D printed parts. Nat. Commun. 2023, 14, 586. [Google Scholar] [CrossRef] [PubMed]
- Zhang, P.; Hou, X.L.; Liu, L.; Mi, J.L.; Dong, M.D. Two-Dimensional pi-Conjugated Metal Bis(dithiolene) Complex Nanosheets as Selective Catalysts for Oxygen Reduction Reaction. J. Phys. Chem. C 2015, 119, 28028–28037. [Google Scholar] [CrossRef]
- Fontinha, D.; Sousa, S.A.; Morais, T.S.; Prudencio, M.; Leitao, J.H.; Le Gal, Y.; Lorcy, D.; Silva, R.A.L.; Velho, M.F.G.; Belo, D.; et al. Gold(III) bis(dithiolene) complexes: From molecular conductors to prospective anticancer, antimicrobial and antiplasmodial agents. Metallomics 2020, 12, 974–987. [Google Scholar] [CrossRef] [PubMed]
- Chen, K.; Fang, W.J.; Zhang, Q.Y.; Jiang, X.Y.; Chen, Y.; Xu, W.J.; Shen, Q.M.; Sun, P.F.; Huang, W. Tunable NIR Absorption Property of a Dithiolene Nickel Complex: A Promising NIR-II Absorption Material for Photothermal Therapy. Acs Appl. Bio Mater. 2021, 4, 4406–4412. [Google Scholar] [CrossRef]
- Camerel, F.; Fourmigue, M. (Photo)Thermal Stimulation of Functional Dithiolene Complexes in Soft Matter. Eur. J. Inorg. Chem. 2020, 2020, 508–522. [Google Scholar] [CrossRef]
- Wu, Z.Z.; Adekoya, D.; Huang, X.; Kiefel, M.J.; Xie, J.; Xu, W.; Zhang, Q.C.; Zhu, D.B.; Zhang, S.Q. Highly Conductive Two-Dimensional Metal-Organic Frameworks for Resilient Lithium Storage with Superb Rate Capability. Acs Nano 2020, 14, 12016–12026. [Google Scholar] [CrossRef] [PubMed]
- Xie, L.S.; Skorupskii, G.; Dinca, M. Electrically Conductive Metal-Organic Frameworks. Chem. Rev. 2020, 120, 8536–8580. [Google Scholar] [CrossRef] [PubMed]
- Kobayashi, Y.; Jacobs, B.; Allendorf, M.D.; Long, J.R. Conductivity, Doping, and Redox Chemistry of a Microporous Dithiolene-Based Metal-Organic Framework. Chem. Mater. 2010, 22, 4120–4122. [Google Scholar] [CrossRef]
- Sousa, A.; Santos, J.F.; Silva, F.; Sousa, S.A.; Leitão, J.H.; Matos, A.P.; Pinheiro, T.; Silva, R.A.L.; Belo, D.; Almeida, M.; et al. Antitumoral and Antimicrobial Activities of Block Copolymer Micelles Containing Gold Bisdithiolate Complexes. Pharmaceutics 2023, 15, 564. [Google Scholar] [CrossRef] [PubMed]
- Vlcek, A. Dithiolenes and non-innocent redox-active ligands. Coord. Chem. Rev. 2010, 254, 1357–1588. [Google Scholar] [CrossRef]
- McCleverty, J.A. Metal 1,2-Dithiolene and Related Complexes. Prog. Inorg. Chem 1968, 10, 49–221. [Google Scholar] [CrossRef]
- Belo, D.; Alves, H.; Lopes, E.B.; Duarte, M.T.; Gama, V.; Henriques, R.T.; Almeida, M.; Perez-Benitez, A.; Rovira, C.; Veciana, J. Gold complexes with dithiothiophene ligands: A metal based on a neutral molecule. Chem. Eur. J. 2001, 7, 511–519. [Google Scholar] [CrossRef] [PubMed]
- Tanaka, H.; Okano, Y.; Kobayashi, H.; Suzuki, W.; Kobayashi, A. A three-dimensional synthetic metallic crystal composed of single-component molecules. Science 2001, 291, 285–287. [Google Scholar] [CrossRef] [PubMed]
- Velho, M.F.G.; Silva, R.A.L.; Belo, D. The quest for single component molecular metals within neutral transition metal complexes. J. Mater. Chem. C 2021, 9, 10591–10609. [Google Scholar] [CrossRef]
- Simao, D.; Ayllon, J.A.; Rabaca, S.; Figueira, M.J.; Santos, I.C.; Henriques, R.T.; Almeida, M. Fe(qdt)2](-) salts; an undimerised Fe-III bis(dithiolene) complex stabilised by cation interactions. Crystengcomm 2006, 8, 658–661. [Google Scholar] [CrossRef]
- Yu, R.; Arumugam, K.; Manepalli, A.; Tran, Y.; Schmehl, R.; Jacobsen, H.; Donahue, J.P. Reversible, electrochemically controlled binding of phosphine to iron and cobalt bis(dithiolene) complexes. Inorg. Chem. 2007, 46, 5131–5133. [Google Scholar] [CrossRef] [PubMed]
- Eisenberg, R. Structural Systematics of 1,1- and 1,2-Dithiolato Chelates; John Wiley & Sons Ltd.: Hoboken, NJ, USA, 1970. [Google Scholar] [CrossRef]
- Alves, H.; Simao, D.; Santos, I.C.; Gama, V.; Henriques, R.T.; Novais, H.; Almeida, M. A series of transition metal bis(dicyanobenzenedithiolate) complexes [M(dcbdt)2] (M = Fe, Co, Ni, Pd, Pt, Cu, Au and Zn). Eur. J. Inorg. Chem. 2004, 2004, 1318–1329. [Google Scholar] [CrossRef]
- Gama, V.; Henriques, R.T.; Almeida, M.; Veiros, L.; Calhorda, M.J.; Meetsma, A.; Deboer, J.L. A novel trinuclear cobalt complex crystal and electronic structure of (Per)4[Co(mnt)2]3. Inorg. Chem. 1993, 32, 3705–3711. [Google Scholar] [CrossRef]
- Gama, V.; Henriques, R.T.; Bonfait, G.; Almeida, M.; Meetsma, A.; Vansmaalen, S.; Deboer, J.L. (Perylene)Co(mnt)2(CH2Cl2)0.5: A mixed perylenecobalt complex as molecular and polymeric conductor. J. Am. Chem. Soc. 1992, 114, 1986–1989. [Google Scholar] [CrossRef]
- Simao, D.; Alves, H.; Belo, D.; Rabaca, S.; Lopes, E.B.; Santos, I.C.; Gama, V.; Duarte, M.T.; Henriques, R.T.; Novais, H.; et al. Synthesis, structure and physical properties of tetrabutylammonium salts of nickel complexes with the new ligand dcbdt = 4,5-dicyanobenzene-1,2-dithiolate, [Ni(dcbdt)2](z-) (z = 0.4, 1, 2). Eur. J. Inorg. Chem. 2001, 2001, 3119–3126. [Google Scholar] [CrossRef]
- Alves, H.; Simao, D.; Lopes, E.B.; Belo, D.; Gama, V.; Duarte, M.T.; Novais, H.; Henriques, R.T.; Almeida, M. Structure and physical properties of (n-Bu4N)2 [Au(dcbdt)2]5. Synth. Met. 2001, 120, 1011–1012. [Google Scholar] [CrossRef]
- Alves, H.; Simao, D.; Santos, I.C.; Lopes, E.B.; Novais, H.; Henriques, R.T.; Almeida, M. Charge transfer salts based on M(dcbdt)2 complexes (M = Au and Ni). Synth. Met. 2003, 135–136, 543–544. [Google Scholar] [CrossRef]
- Alves, H.; Simao, D.; Novais, H.; Santos, I.C.; Gimenez-Saiz, C.; Gama, V.; Waerenborgh, J.C.; Henriques, R.T.; Almeida, M. (n-Bu4N)2[Fe(dcbdt)2]2. Synthesis, crystal structure and magnetic characterisation. Polyhedron 2003, 22, 2481–2486. [Google Scholar] [CrossRef]
- Alves, H.; Santos, I.C.; Lopes, E.B.; Belo, D.; Gama, V.; Simao, D.; Novais, H.; Duarte, M.T.; Henriques, R.T.; Almeida, M. Conductors based on metal-bisdicyanobenzodithiolate complexes. Synth. Met. 2003, 133–134, 397–399. [Google Scholar] [CrossRef]
- Lopes, E.B.; Alves, H.; Santos, I.C.; Graf, D.; Brooks, J.S.; Canadell, E.; Almeida, M. The family of molecular conductors [(n-Bu)4N]2[M(dcbdt)2]5, M = Cu, Ni, Au; band filling and stacking modulation effects. J. Mater. Chem. 2008, 18, 2825–2832. [Google Scholar] [CrossRef]
- Cerdeira, A.C.; Simao, D.; Santos, I.C.; Machado, A.; Pereira, L.C.J.; Waerenborgh, J.C.; Henriques, R.T.; Almeida, M. (n-Bu4N)[Fe(cbdt)2]: Synthesis, crystal structure and magnetic characterisation of a new Fe-III bis(dithiolene) complex. Inorganica Chim. Acta 2008, 361, 3836–3841. [Google Scholar] [CrossRef]
- Cerdeira, A.C.; Afonso, M.L.; Santos, I.C.; Pereira, L.C.J.; Coutinho, J.T.; Rabaca, S.; Simao, D.; Henriques, R.T.; Almeida, M. Synthesis, structure and physical properties of transition metal bis 4-cyanobenzene-1,2-dithiolate complexes [M(cbdt)2]z- (M = Zn, Co, Cu, Au, Ni, Pd, z = 0, 1, 2). Polyhedron 2012, 44, 228–237. [Google Scholar] [CrossRef]
- Oliveira, S.; Belo, D.; Santos, I.C.; Rabaca, S.; Almeida, M. Synthesis and characterization of the cyanobenzene-ethylenedithio-TTF donor. Beilstein J. Org. Chem. 2015, 11, 951–956. [Google Scholar] [CrossRef]
- Oliveira, S.; Ministro, J.; Santos, I.C.; Belo, D.; Lopes, E.B.; Rabaça, S.; Canadell, E.; Almeida, M. Bilayer molecular metals based on dissymmetrical electron donors. Inorg. Chem. 2015, 54, 6677–6679. [Google Scholar] [CrossRef]
- Lopes, G.; da Gama, V.; Belo, D.; Simao, D.; Santos, I.C.; Almeida, M.; Rabaca, S. A 4-cyanobenzene-ethylenedithio-TTF electron donor and its (1:1) triiodide radical cation salt; isomer effects in C-N center dot center dot center dot H-C interactions. Crystengcomm 2019, 21, 637–647. [Google Scholar] [CrossRef]
- Rabaca, S.; Almeida, M. Dithiolene complexes containing N coordinating groups and corresponding tetrathiafulvalene donors. Coord. Chem. Rev. 2010, 254, 1493–1508. [Google Scholar] [CrossRef]
- Jeannin, O.; Delaunay, J.; Barriere, F.; Fourmigue, M. Between Ni(mnt)2 and Ni(tfd)2 dithiolene complexes: The unsymmetrical 2-(trifluoromethyl)acrylonitrile-1,2-dithiolate and its nickel complexes. Inorg. Chem. 2005, 44, 9763–9770. [Google Scholar] [CrossRef]
- Ruffin, H.; Baudron, S.A.; Salazar-Mendoza, D.; Hosseini, M.W. A Silver Bite: Crystalline Heterometallic Architectures Based on Ag- p Interactions with a Bis- Dipyrrin Zinc Helicate. Chem. Eur. J. 2014, 20, 2449–2453. [Google Scholar] [CrossRef]
- Baudron, S.A. Dipyrrin based homo- and hetero-metallic infinite architectures. Crystengcomm 2010, 12, 2288–2295. [Google Scholar] [CrossRef]
- Fenton, H.; Tidmarsh, I.S.; Ward, M.D. Hierarchical self-assembly of heteronuclear co-ordination networks. Dalton Trans. 2010, 39, 3805–3815. [Google Scholar] [CrossRef]
- Kremer, M.; Englert, U. N Donor substituted acetylacetones ditopic ligands versatile. Z. Fur Krist.-Cryst. Mater. 2018, 233, 437–452. [Google Scholar] [CrossRef]
- Kumar, G.; Gupta, R. Molecularly designed architectures—The metalloligand way. Chem. Soc. Rev. 2013, 42, 9403–9453. [Google Scholar] [CrossRef] [PubMed]
- Santos, I.C.; Gama, V.; Rabaca, S.; Veiros, L.F.; Nogueira, F.; Paixao, J.A.; Almeida, M. Structural diversity in conducting bilayer salts (CNB-EDT-TTF)4A. Crystengcomm 2020, 22, 8313–8321. [Google Scholar] [CrossRef]
- Costa, A.G.; Lopes, G.; Ribeiro, S.; Santos, I.C.; Simao, D.; Pereira, L.C.J.; Le Breton, N.; Choua, S.; Baudron, S.A.; Almeida, M.; et al. Cyano benzene functionalised Ni and Cu bis(dithiolene) complexes. Crystengcomm 2023, 25, 5362–5371. [Google Scholar] [CrossRef]
- Bruker Apex3, Crystallography Software Suite; Bruker Axs Inc.: Madison, WI, USA, 2016.
- Bruker Axs: Saint+, Release 6.22. Bruker AXS:SAINT+, Release 622; Bruker Analytical Systems: Madison, WI, USA, 2005.
- Bruker Axs: Sadabs. Bruker AXS:SADABS; Bruker Analytical Systems: Madison, WI, USA, 2005.
- Sheldrick, G.M. A short history of SHELX. Acta Crystallogr. A-Found. Adv. 2008, 64, 112–122. [Google Scholar] [CrossRef] [PubMed]
- Sheldrick, G.M. Crystal structure refinement with SHELXL. Acta Crystallogr. Sect. C-Struct. Chem. 2015, 71, 3–8. [Google Scholar] [CrossRef] [PubMed]
- Farrugia, L.J. WinGX and ORTEP for Windows: An update. J. Appl. Crystallogr. 2012, 45, 849–854. [Google Scholar] [CrossRef]
- Macrae, C.F.; Sovago, I.; Cottrell, S.J.; Galek, P.T.A.; McCabe, P.; Pidcock, E.; Platings, M.; Shields, G.P.; Stevens, J.S.; Towler, M.; et al. Mercury 4.0: From visualization to analysis, design and prediction. J. Appl. Crystallogr. 2020, 53, 226–235. [Google Scholar] [CrossRef] [PubMed]
- Afonso, M.L.; Neves, A.I.S.; Almeida, M. Dimerisation of Fe bis(dithiolene) complexes: An electrochemical study. Inorganica Chim. Acta 2015, 426, 160–164. [Google Scholar] [CrossRef][Green Version]
- Baker-Hawker, M.J.; Billig, E.; Gray, H.B. Characterization and Electronic Structures of Metal Complexes Containing Benzene-1,2-dithiolate and Related Ligands. J. Am. Chem. Soc. 1966, 88, 4870–4875. [Google Scholar] [CrossRef]
- Addison, A.W.; Rao, T.N.; Reedijk, J.; Van Rijn, J.; Verschoor, G.C. Synthesis, structure, and spectroscopic properties of copper(II) compounds containing nitrogen-sulfur donor ligands: The crystal and molecular structure of aqua[1,7-bis(N-methylbenzimidazol-2′-yl)-2,6-dithiaheptane]copper(II) perchlorate. J. Chem. Soc. Dalton Trans. Inorg. Chem. 1984, 7, 1972–1999. [Google Scholar] [CrossRef]
- Blackman, A.G.; Schenk, E.B.; Jelley, R.E.; Krensked, E.H.; Gahan, L.R. Five-coordinate transition metal complexes and the value of τ5: Observations and caveats. Dalton Trans. 2020, 49, 14798–14806. [Google Scholar] [CrossRef] [PubMed]
- Van der Put, P.J.; Schilperoord, A.A. Spin delocalization in square-planar spin-triplet benzene- and toluenedithiolatecobaltate(III). Inorg. Chem. 1974, 13, 2476–2481. [Google Scholar] [CrossRef]
- Silva, R.A.L.; Santos, R.; Andrade, M.M.; Santos, I.C.; Coutinho, J.T.; Pereira, L.C.J.; Waerenborgh, J.C.; Vieira, B.J.C.; Cirera, J.; Ruiz, E.; et al. Co/Fe(α-Alkyl-tpdt)2]x−: Alkyl-Substituted Cobalt and Iron Bis-dithiolenethiophenic Complexes. Inorg. Chem. 2020, 59, 9261–9269. [Google Scholar] [CrossRef] [PubMed]
- Gama, V.; Henriques, R.T.; Bonfait, G.; Pereira, L.C.; Waerenborgh, J.C.; Santos, I.C.; Duarte, M.T.; Cabral, J.M.P.; Almeida, M. Low-dimensional molecular metals bis(maleonitriledithiolato)bis(perylene)metal, metal = iron and cobalt. Inorg. Chem. 1992, 31, 2598–2604. [Google Scholar] [CrossRef]
- Rodrigues, J.V.; Santos, I.C.; Gama, V.; Henriques, R.T.; Waerenborgh, J.C.; Duarte, M.T.; Almeida, M. Synthesis, structure and properties of [Hpy]2[{M(mnt)2}2](M = Co or Fe, Hpy = pyridinium, mnt = maleonitriledithiolate). J. Chem. Soc. Dalton Trans. 1994, 2655–2660. [Google Scholar] [CrossRef]
- Weil, J.A.; Bolton, J.R.; Wertz, J.E. Electron Spin Resonance: Elementary Theory and Practical Applications; Springer Science & Business Media: New York, NY, USA, 1994. [Google Scholar]
- Walker, F.A.; Bowen, J. EPR evidence for hydrogen bond donation to the terminal oxygen of cobalt-oxygen model compounds and cobalt oxymyoglobin. J. Am. Chem. Soc. 1985, 107, 7632–7635. [Google Scholar] [CrossRef]
- Hoffman, B.M.; Diemente, D.L.; Basolo, F. Electron paramagnetic resonance studies of some cobalt(II) Schiff base compounds and their monomeric oxygen adducts. J. Am. Chem. Soc. 1970, 92, 61–65. [Google Scholar] [CrossRef]
- Bill, E.; Bothe, E.; Chaudhuri, P.; Chlopek, K.; Herebian, D.; Kokatam, S.; Ray, K.; Weyhermüller, T.; Neese, F.; Wieghardt, K. Molecular and Electronic Structure of Four- and Five-Coordinate Cobalt Complexes Containing Two o-Phenylenediamine- or Two o-Aminophenol-Type Ligands at Various Oxidation Levels: An Experimental, Density Functional, and Correlated ab initio Study. Chem. Eur. J. 2005, 11, 204–224. [Google Scholar] [CrossRef] [PubMed]










| Compound | (Ph4P)2 [Fe(3cbdt)2]2 2CH2Cl2 (1) | (Ph4P)2 [Co(3cbdt)2]2 2CH2Cl2 (2) | (Ph4P)2[Co(3cbdt)2] (3) |
|---|---|---|---|
| Empirical formula | C78 H56 Cl4 Fe2 N4 P2 S8 | C78 H56 Cl4 Co2 N4 P2 S8 | C62 H46 Co N2 P2 S4 |
| Crystal size (mm) | 0.180 × 0.100 × 0.040 | 0.450 × 0.180 × 0.040 | 0.400 × 0.020 × 0.020 |
| Molecular mass (g/mol) | 1621.18 | 1627.34 | 1068.12 |
| Temperature (K) | 150 (2) | 273 (2) | 294 (2) |
| Crystal system | Triclinic | Triclinic | Triclinic |
| Space group | |||
| a (Å) | 11.2179 (9) | 11.2465 (6) | 14.0437 (7) |
| b (Å) | 13.6086 (10) | 13.6794 (7) | 22.4513 (13) |
| c (Å) | 13.6118 (10) | 13.7567 (7) | 26.2961 (15) |
| α (°) | 108.102 (3) | 108.146 (2) | 88.930 (2) |
| β (°) | 103.708 (3) | 100.930 (2) | 78.425 (2) |
| γ (°) | 100.865 (3) | 103.540 (2) | 87.578 (2) |
| V (Å3) | 1839.9 (2) | 1874.65 (17) | 8114.8 (8) |
| Z, Dcalcd (Mg/m3) | 1, 1.463 | 1, 1.441 | 6, 1.311 |
| μ (mm−1) | 0.858 | 0.897 | 0.572 |
| F(000) | 830 | 832 | 3318 |
| θ Range (°) | 2.644 to 25.680 | 1.943 to 27.164 | 2.910 to 25.682 |
| Index range (h,k,l) | −8 ≤ h ≤ 13, −16 ≤ k ≤ 15, −16 ≤ l ≤ 16 | −14 ≤ h ≤ 14, −17 ≤ k ≤ 17, −16 ≤ l ≤ 17 | −17 ≤ h ≤ 15, −27 ≤ k ≤ 26, −32 ≤ l ≤ 32 |
| Reflections collected/unique (Rint) | 16,844/6888 (0.1459) | 30,409/8289 (0.0829) | 64,280/29,898 (0.2535) |
| Tmax/min. | 0.967 and 0.861 | 0.965 and 0.688 | 0.989 and 0.803 |
| GOOF on F2 | 0.900 | 1.062 | 0.825 |
| Final R1, [I > 2σ(I)], wR2 | R1 = 0.0821, wR2 = 0.1409 | R1 = 0.0610, wR2 = 0.1544 | R1 = 0.0945, wR2 = 0.1375 |
| CCDC | 2346079 | 23406080 | 23406081 |
Disclaimer/Publisher’s Note: The statements, opinions and data contained in all publications are solely those of the individual author(s) and contributor(s) and not of MDPI and/or the editor(s). MDPI and/or the editor(s) disclaim responsibility for any injury to people or property resulting from any ideas, methods, instructions or products referred to in the content. |
© 2024 by the authors. Licensee MDPI, Basel, Switzerland. This article is an open access article distributed under the terms and conditions of the Creative Commons Attribution (CC BY) license (https://creativecommons.org/licenses/by/4.0/).
Share and Cite
Costa, A.G.; Lopes, G.; Rodrigues, J.F.G.; Santos, I.C.; Simão, D.; Lopes, E.B.; Pereira, L.C.J.; Le Breton, N.; Choua, S.; Baudron, S.A.; et al. Cobalt and Iron Cyano Benzene Bis(Dithiolene) Complexes. Crystals 2024, 14, 469. https://doi.org/10.3390/cryst14050469
Costa AG, Lopes G, Rodrigues JFG, Santos IC, Simão D, Lopes EB, Pereira LCJ, Le Breton N, Choua S, Baudron SA, et al. Cobalt and Iron Cyano Benzene Bis(Dithiolene) Complexes. Crystals. 2024; 14(5):469. https://doi.org/10.3390/cryst14050469
Chicago/Turabian StyleCosta, António G., Gonçalo Lopes, João F. G. Rodrigues, Isabel C. Santos, Dulce Simão, Elsa B. Lopes, Laura C. J. Pereira, Nolwenn Le Breton, Sylvie Choua, Stéphane A. Baudron, and et al. 2024. "Cobalt and Iron Cyano Benzene Bis(Dithiolene) Complexes" Crystals 14, no. 5: 469. https://doi.org/10.3390/cryst14050469
APA StyleCosta, A. G., Lopes, G., Rodrigues, J. F. G., Santos, I. C., Simão, D., Lopes, E. B., Pereira, L. C. J., Le Breton, N., Choua, S., Baudron, S. A., Almeida, M., & Rabaça, S. (2024). Cobalt and Iron Cyano Benzene Bis(Dithiolene) Complexes. Crystals, 14(5), 469. https://doi.org/10.3390/cryst14050469

