Abstract
Novel antiepileptic drugs have been developed at an unparalleled rate during the past 15 years. Gabapentin (GBP), which was approved for the treatment of refractory localization-related epilepsies in the U.K. and Europe in 1993, was one of the first drugs to come out of this era. Since then, GBP has become well-known across the world, not only for its antiepileptic qualities but also for its effectiveness in the treatment of chronic pain disorders, particularly neuropathic pain. In this review, the crystal structures of GBP and GBP-related compounds have been analyzed and compared. Particular attention has been paid to the polymorphism of GBP and its hydrates, their thermodynamic stability, and conformational differences. In addition, the puckering parameters for the cyclohexane ring of a total of 118 molecules of GBP found in the analyzed crystal structures have been calculated and analyzed. The results of recent high-pressure crystallization studies and quantum chemical calculations indicate that the entire landscape of GBP has not been revealed yet.
1. Introduction
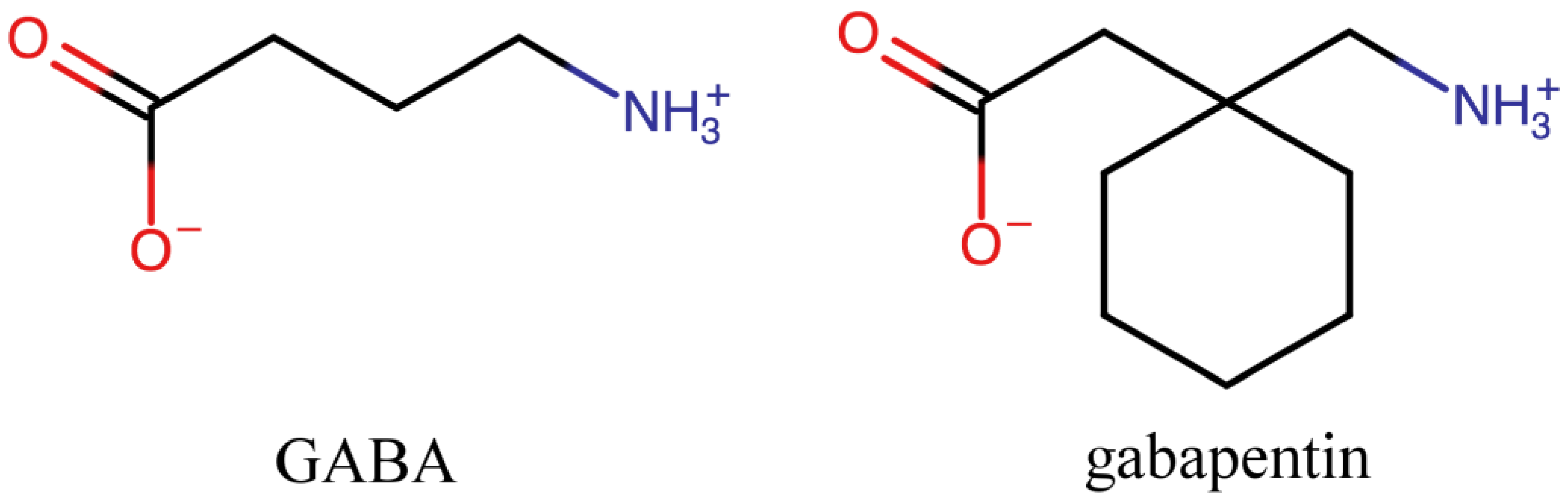
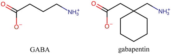
Gabapentin (GBP) is a common name for 1-(aminomethyl)cyclohexaneacetic acid (C9H17NO2, CAS Registry No. 60142-96-3), a GABA (γ-aminobutyric acid) derivative (Figure 1) and a popular active pharmaceutical ingredient (API) [1,2]. It has a molecular weight of 171.34 and two pKa values of 3.68 and 10.70 [3,4]. Therefore, at physiological pH, GBP exists in the form of a zwitterion. It was originally developed in 1977 in an effort to create a structural analog of gamma-aminobutyric acid (GABA) with higher lipophilicity than the original neurotransmitter, thus enhancing its ability to enter the central nervous system [5].
Figure 1.
Chemical structure of GABA and its derivative, gabapentin (GBP).
Gabapentin is an antiepileptic drug that is considered a first-line treatment for the management of neuropathic pain. GBP is also approved for the treatment of focal seizures. However, it is ineffective in treating generalized epilepsy [4,6,7]. Aside from neuropathic pain, off-label use in primary care is very common. These include the treatment of a wide range of conditions such as bipolar disorder, complex regional pain syndrome, attention deficit disorder, restless legs syndrome, and periodic limb movement, alongside sleep disorders, headaches, alcohol withdrawal syndrome, chronic back pain, fibromyalgia, visceral pain, and acute postoperative pain [5].
Despite its quite simple formula, it took almost 25 years from the first synthesis to the crystal structure determination of GBP in 2001. However, during the subsequent 23 years, multiple forms of this API have been successfully obtained, and their crystal structures have been solved. GBP, due to its relatively short half-life, is usually administered three times daily. Therefore, exploration of the solid landscape of this drug has been, at least partially, motivated by the desire to improve its pharmacokinetic properties.
This article reviews the solid forms of gabapentin, including its polymorphs, solvates, salts, and cocrystals as well as even more complexed systems. It starts with a summary of the pharmacological properties of this API, followed by a detailed look at 46 structures in which GBP is present. Finally, the chosen molecular properties of GBP present in those structures are presented and compared.
2. Materials and Methods
Crystal structures of systems containing GBP were downloaded using ConQuest version 2022.3.0 [8]. An additional check was performed on 22 January 2024 using the online version of the CCDC Access Structure application [9] to include the most recently deposited structures. BIOVIA Materials Studio 2020 Visualizer [10] was used for visualization purposes. Shinya Fushinobu Cremer-Pople parameter calculator [11] was used to determine the puckering parameters.
3. Pharmaceutical Properties of GBP
3.1. Pharmacological Properties
3.1.1. Mechanism of Action
Despite multiple extensive studies, the exact mechanisms of action of GPB remain unknown [4,12,13]. It has been proven in vivo that GBP does not bind to GABA receptors [12] despite its structural similarity to this neurotransmitter. However, it displays a high affinity for the α2δ-1 subunit of voltage-gated calcium channels (VGCCs) [12,14]. Therefore, it is commonly considered that GBP’s analgesic effects are due to the suppression of calcium currents by binding to the α2δ-1 subunit, resulting in reduced postsynaptic excitability [14]. This assumption, however, is inaccurate because GBP has not been demonstrated to reliably inhibit Ca2+ currents [12]. Despite this, GBP is helpful in the therapy of neuropathic pain, which is achieved by inhibiting the release of different neurotransmitters at neural synapses [4,12].
3.1.2. Pharmacokinetics
GBP is absorbed in the small intestine. The only factor that affects GBP absorption is L-type amino acid transporter (LAT), which is easily saturable and causes dose-dependent pharmacokinetics [15]. More specifically, LAT-1 actively carries GBP across the blood–brain barrier. The area under the plasma concentration–time curve (AUC) does not rise in proportion to an increase in GBP dosage. This API has no affinity for plasma proteins. Peak levels of cerebrospinal fluid require a median of 8 h to reach, which is a considerably longer time than peak plasma levels. GBP does not influence spinal neurotransmitter concentrations of glutamate, norepinephrine, substance P, or calcitonin gene-related peptide. The volume of distribution of GPB is 0.8 L/kg, and it is highly water soluble. Although GBP is not metabolized by the liver and does not impact the major isoenzymes of the cytochrome P450 system, case studies have reported drug-induced hepatotoxicity [16]. Elimination is mostly performed by the kidney and is proportional to creatinine clearance. Adverse reactions may arise from accumulation, leading to renal failure [5].
3.2. Medical Uses
3.2.1. Neuropathic Pain
Gabapentin is effective in the therapy of postherpetic neuralgia and diabetic neuropathy; however, there is limited evidence in other types of neuropathic pain [12]. Numerous international and regional professional organizations have released clinical practice guidelines recommending gabapentinoids, including GBP, as first-line therapy. For neuropathic pain other than trigeminal neuralgia, the National Institute of Clinical Excellence (NICE) guidelines prescribe gabapentin, pregabalin, amitriptyline, or duloxetine as the first line of treatment [12].
3.2.2. Seizures
GBP is a second-generation antiseizure drug, which has been shown to be effective as an addition to other anticonvulsants in the treatment of partial seizures and generalized tonic–clonic seizures in children over the age of 12 [4]. In three extensive multicenter, double-blind, randomized dosage, controlled studies, 649 patients were involved, and the results showed that gabapentin, when used alone, was both safe and effective in treating partial seizures [4]. Gabapentin is ineffective in absence seizures [17].
3.2.3. Drug Dependence
GBP is one of several anticonvulsants that have been studied for the treatment of drug abuse disorders. Their effectiveness in treating cocaine addiction has been shown to be ineffective [18], and while the evidence for treating alcohol and cannabis addiction is promising, it is either not sufficient or of low quality [19,20].
3.2.4. Restless Legs Syndrome
In a comparative analysis of suggested therapies for restless legs syndrome, GBP was found to be linked to comparable reductions in the International Restless Legs Syndrome, receiving a similar score as dopamine agonists [21]. On the other hand, a higher improvement in the Periodic Limb Movement Index was linked to dopamine agonists [21]. Regarding the Clinical Practice Guideline of the American Academy of Sleep Medicine, GBP has been accepted as a possible therapeutic choice for this syndrome [22]. However, only GBP enacarbil is approved in the United States for the treatment of this illness [5].
3.3. Dosages
Gabapentin is well tolerated at doses ranging from 800 to 1800 mg/day [13]. However, according to the medication package insert of some drugs, patients may be treated with doses as high as 3600 mg/day [4].
3.3.1. Dosages in Epilepsy
Gabapentin oral doses are administered three times daily due to its relatively short half-life [4]. For adults and children over 12 years old with epilepsy, dosages up to 2400 mg per day are advised. Rapid titration can be performed with doses of 300 mg once daily on the first day, which are usually at bedtime to avoid side effects like sedation and drowsiness, 300 mg twice daily on the second day, and 300 mg three times daily on the third day. If efficacy is not obtained at this dose, the dosage may be increased further.
3.3.2. Dosages in Neuropathic Pain
The starting dose for the treatment of neuropathic pain is 300 mg three times per day, with escalation if necessary to a daily maximum of 3600 mg, although there have been reports of doses up to 4200 mg. The beneficial effects of gabapentin in neuropathic pain and in a variety of other chronic pain disorders are supported by evidence from both animal and human trials [4].
3.4. Side Effects
Dizziness, sedation, somnolence, peripheral edema, and weight gain are the most frequent adverse effects; these side effects appear to be dose-dependent. GBP’s relative lack of interactions and severe side effects make it a desirable therapeutic alternative [5].
4. Overview of the Crystal Structures of Systems Containing GBP
As stated in the Introduction, chronologically, the first determined were the structures of anhydrous GBP (QIMKIG) and its monohydrate (QIMKOM). However, during subsequent years of crystallographic studies, multiple new forms of GBP have been successfully obtained, and their structures have been determined.
The table below (Table 1) presents the crystal structures of systems containing GBP. To facilitate the analysis, they have been grouped into several categories. The first one includes the polymorphic forms of anhydrous GBP, which have been described in detail below in Table 2.
Table 1.
Crystal structures of systems including GBP.
Table 2.
Crystal structures of polymorphic forms of anhydrous GBP.
The second group consists of hydrates of GBP in the zwitterionic form [23] as well as in the form of hydrochloride. This group has also been described below in Table 3.
Table 3.
Crystal structures of hydrates of GBP.
The third group includes salts of GBP. So far, in all the deposited structures of salts, GBP exists solely as a cation, despite its ability to form anions due to the presence of a carboxyl group. The variety of anions found in this group is large and includes both simple organic anions such as oxalate, picrate, or salicylate as well as inorganic ions such as [AuCl4], nitrate, or dihydrophosphate [24].
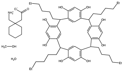
The next group of structures includes cocrystals and inclusion complexes with macrocycles, in which GBP exists as a guest.
Due to the presence of an ionized carboxyl group, GBP can serve as a Lewis base [25]. Throughout the years, multiple systems have been obtained in which GBP exists as a ligand. This includes complexes with both commonly encountered metals such as Cu [26], Zn [27], and Mn and also with more unusual ones such as Er or Y. Interestingly, in one of those structures, VIXQAW, there are 16 GBP ligands in the asymmetric unit.
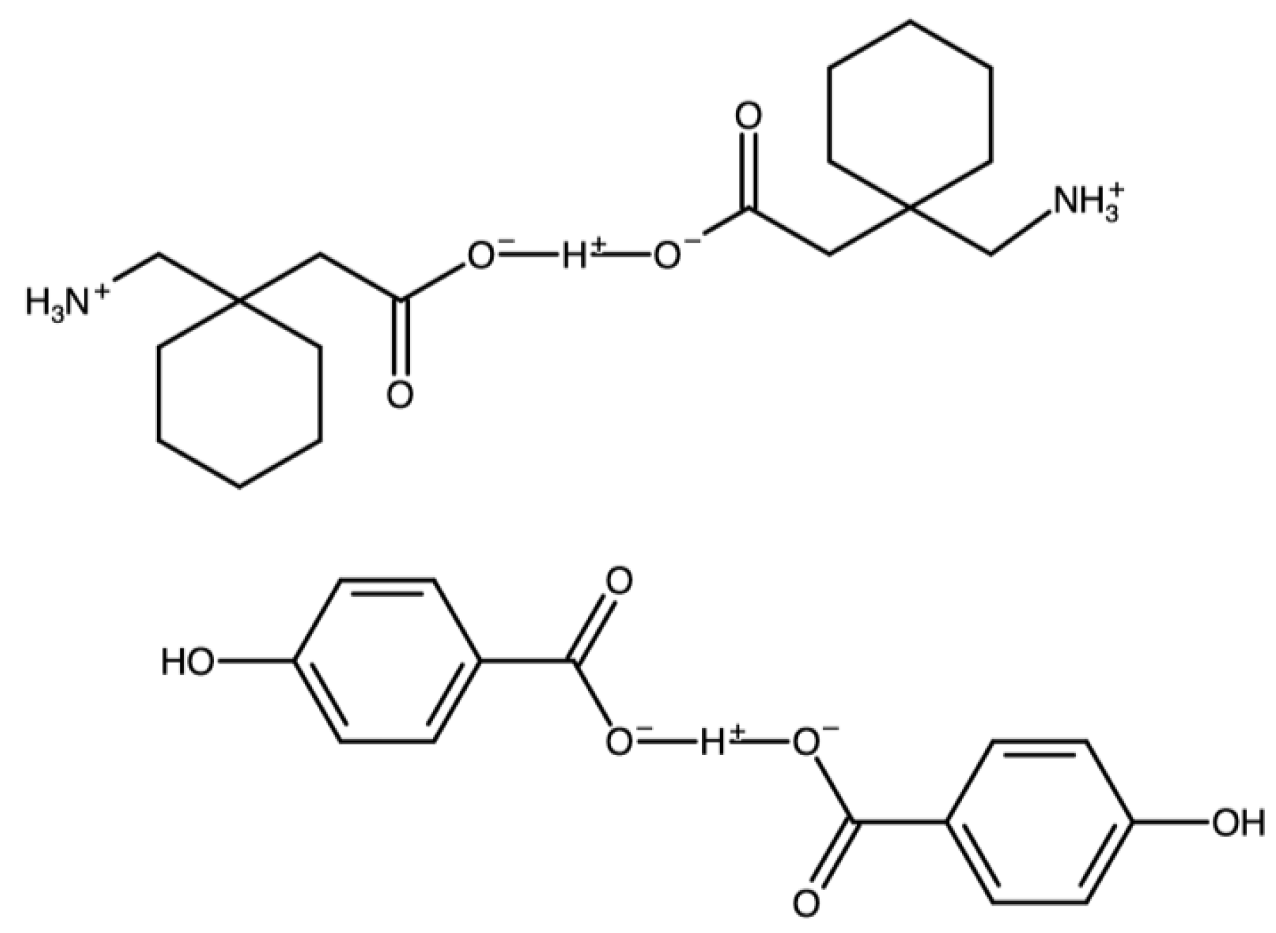
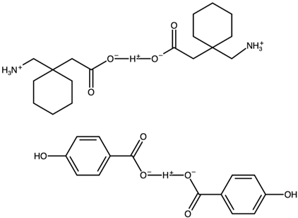
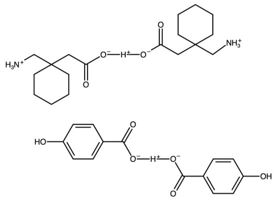
While in most structures, GBP exists either as zwitterion or cation, in one of the structures, FOXNUC, presenting gabapentin hydrogenbis(4-hydroxybenzoate), a quite unusual form of GBP can be observed, which from the formal point of view can be described as GBP2H+ (Figure 2).
Figure 2.
Chemical structure of gabapentin hydrogenbis(4-hydroxybenzoate), present in FOXNUC.
5. Polymorphism of Anhydrous and Hydrated Forms of GBP
There are several forms of GBP that have been the subject of numerous research studies, patent applications, and grants of patents. Both the anhydrous and hydrated forms are affected by polymorphism.
5.1. Polymorhphism of Anhydrous GBP—Structures QIMKIGXX
Anhydrous GBP exists in three different forms—α, γ, and β, sometimes also described as II, III, and IV (Table 2). The lack of form I in this group is a result of the convention that was established in the first work presenting the crystal structure of GBP [28]. According to it, anhydrous GBP is form II, while the monohydrate is form I.
Chronologically, the first described one (2001) was the α polymorph present in the structures QIMKIG, QIMKIG01, and QIMKIG06. Subsequently, β-gabapentin was first obtained by Pesachovich et al. (2001) [52], while γ-gabapentin was discovered by Satyanarayana et al. (2004) [53]. However, the crystal structures of both the β and γ polymorphs were first solved by Reece and Levendis (2008) [31].
The α and β polymorphs crystallize in the same space group, P21/c with Z = 4, whereas the space group of γ is C2/c and Z = 8. In all forms, there is only one molecule of GBP in the asymmetric unit. The crystal structures are stabilized by dense networks of hydrogen bonds formed between the NH3+ and COO- groups of nearby molecules that exist in all three polymorphs of GBP (Figure 3). In addition, β-gabapentin possesses an additional intramolecular hydrogen bond formed between the same groups. The GBP crystallizes as a zwitterion in all the known anhydrous forms.
Figure 3.
Crystal structures of three known polymorphs of GBP.
The three GBP polymorphs were compared for their densities (1.257, 1.247, and 1.216 g cm−3, respectively) and packing efficiencies (71.3, 70.5, and 68.7%, respectively), which revealed that α-gabapentin had the most efficiently packed molecules and was therefore claimed the most thermodynamically stable form of anhydrous GBP. This thesis was additionally confirmed using DSC, which revealed that the order of stability is α > β > γ [31]. While the recrystallization of GBP in methanol always resulted in a pure α polymorph, it should be noted that when water was used for that purpose, monohydrate form I was the only one obtained (Figure 4) [32].
Figure 4.
Slurry experiments.
Dehydration experiments of monohydrate form I showed that, depending on the experimental conditions, it results in either pure or mixed anhydrous phase mixtures (Figure 5).
Figure 5.
Dehydration experiments.
Stability tests conducted under various humidity settings showed that form α maintained at 50% relative humidity (RH) remained stable, whereas form β and the combination of forms β and γ quantitatively changed into form α. Forms α, β, and the mixtures of forms β and γ all changed into monohydrate form I at 100% RH, which confirmed that the presence of water makes the monohydrate form I the most stable [32] (Figure 6).
Figure 6.
Stability tests at 50% and 100% RH.
Grinding and kneading of forms β and γ, as well as their mixture, revealed complete conversion to form α after approximately 10 min of kneading (Figure 7). Form α does not change when it is ground, nor does it change after being recrystallized from a variety of solvents, including acetonitrile, chloroform, DMSO, methanol, hexane, and ethyl acetate. [32]. However, the crystallization outcomes of fast cooling crystallization were found to be dependent on supersaturation degree [54] (Figure 8).
Figure 7.
Grinding and kneading experiments.
Figure 8.
Polymorphic outcomes at different supersaturations (Ss) and solvents. I, II and III are the symbols of polymorphs of GBP. Adapted with permission from [54]. Copyright 2024 American Chemical Society.
5.2. Polymorhphism of GBP Monohydrate—Structures QIMKOMXX
In addition to anhydrous forms, GBP can also exist as various hydrates. So far, two polymorphs of GBP monohydrate have been described including polymorph I (QIMKOM, QIMKOM01, QIMKOM03) and polymorph II (QIMKOM02, QIMKOM04). In addition, GBP also occurs in the heptahydrate form as YUZTET (Table 3).
James A. Ibers, for the first time, obtained the monohydrate form I by dissolving GBP in water and then adding 2-propanol. The resulting solution was stored in a freezer. Four days later, crystals of GBP were extracted from a precipitate [28]. In another work [30], GBP monohydrate I crystals were harvested by the slow evaporation of a saturated ethanol–water solution at room temperature. The raw material used was gabapentin anhydrate form α. During single crystal examinations, multiple solvent amounts were used to ensure that either anhydrate form α or monohydrate exists steadily within the whole solvent composition range and that no other phase transformation occurs. The authors showed that anhydrate α was the more stable form at lower water percentages, and rising temperatures expanded the stability region. In contrast, monohydrate I was more stable at higher water percentages, but as the temperature rose, the stable area shrunk. Both solvent composition and temperature had a significant impact on the relative stability of GBP anhydrate α and monohydrate I. In the mentioned work, the authors used solvents of various alcohol/water ratios to obtain the intersections of the GBP anhydrate α and monohydrate I solubility curves, indicating the transition points. When the mole fraction of methanol in solvents increased from 10% to 30%, the transition temperature between the anhydrous and hydrate forms shifted from 308.56 K to 291.52 K. The transition temperature for an ethanol–water mixture containing 10% ethanol was approximately 314.44 K. When the ethanol level grew to 40%, the transition reduced to 293.80 K [30].
Pure monohydrate form II can be obtained, i.e., by grinding GBP with water and ethanol [34]; however, in some studies, monohydrate forms I and II have been obtained simultaneously. The distinctions between these two forms are minor and result from the development of primary aggregates into viable nuclei, which then propagate into single crystals [33].
In 2010, Fabbiani et al. [35], motivated by the rich structural variation in GBP observed at ambient pressure, performed high-pressure recrystallization of this compound. They found that GBP can exist in the form of a heptahydrate under increased pressure, starting from 0.8 GPa. To achieve this, a saturated aqueous gabapentin solution was inserted into the DAC under ambient pressure. The cell was sealed and gradually pressurized; at around 0.8 GPa, polycrystalline material precipitated. The temperature was then cycled around 313 K to dissolve all but one of the crystallites, and after cooling slowly to 293 K, a single crystal grew from the solution. The pressure at the end was 0.87 GPa. In a later recrystallization experiment, the authors were able to produce another single crystal (crystal B) in a very different manner from that previously achieved, as proved by comparing the orientation matrices determined on the same diffractometer. It was discovered that at the first growing stage, the crystal was relatively mobile, i.e., sensitive to DAC rotation, and could easily be displaced from the gasket edge through gentle warming. Although the rotation of the DAC allowed the crystal to move, this movement was uncontrollable; thus, the ultimate orientation of crystal B was attained by serendipity. The final pressure inside the DAC with crystal B was 0.9 GPa. Crystal B was grown under closely matched conditions to those for crystal A. The molecular conformation of GBP in the heptahydrate form was remarkably similar to that in the anhydrous β-form. The authors concluded that since GBP monohydrate did not crystallize during the high-pressure crystallization trials, the order of stability of anhydrous forms under high-pressure conditions may have changed.
6. Conformational Analysis of GBP in Solution
The conformational analysis of GBP has been the aim of several experimental and computational studies [55]. Bryans et al. demonstrated, utilizing low-temperature 1H NMR techniques, that at −80 °C, two sets of exocyclic methylene signals were observed at a ratio of 1:2. These signals corresponded to the two conformers of GBP, with the aminomethyl moiety located either axial (AX, less abundant) or equatorial (EQ, more abundant), respectively, as shown in Figure 9. The same authors analyzed GBP by 1H NMR in deuteromethanol at room temperature, where only a single set of signals was observed, owing to the rapid ring flipping at this temperature. Ananda et al. [29], by recording 1H NMR spectra at −86 °C in deuterated methanol, determined the population ratio for the AX/EQ as 0.27:0.73 and the free energy difference, ΔG, between those two forms as 0.38 kcal mol−1.
Figure 9.
Two conformations of GBP, with the aminomethyl moiety located either in the axial (AX) or equatorial (EQ) position.
In a recent study [45], Liu et al. explored the conformational space of GBP in a more detailed way, using quantum mechanical calculations and molecular dynamics simulations. To achieve this aim, they extracted conformations II, III, and IV from their corresponding unit cells (of forms α-II, β-IV, and γ-III, respectively). According to the computational results, the order of stability of conformers (IV > III > II) was totally opposite to their corresponding polymorphs (II > III > IV). However, this was in accordance with the previously described NMR results, as conformer IV could be classified as EQ, while conformers III and II could be classified as AX. In addition, the authors identified the conformer present in the global minimum and named it conformer VI (Figure 10).
Figure 10.
Transformation among conformers in methanol based on the conformational energy of conformer IV. Adapted with permission from [54]. Copyright 2024 American Chemical Society.
7. Conformational Analysis of GBP in a Solid State
Table 4 presents the chosen structural parameters of the GBP molecules extracted from their crystal structures.
| ZI |
Table 4.
Chosen structural parameters of the GBP molecules extracted from their crystal structures. Structures are presented in the alphabetical order of their refcodes. To facilitate the analysis of the data, a 3-color scale was applied to compare the bond lengths. In this scale, the 50th percentile (midpoint) was calculated, and the cell that holds this value was colored yellow. The cells that hold the minimum value were colored green, and the cells that hold the maximum values were colored red.
An analysis of the values presented in Table 4 reveals a wide range of C-N bond lengths of GBP in the crystal structures that contain this API, from 1.2746 to 1.5573 Å. While a lower value is typical for C=N bonds, such as those in imines, the 1.5573 Å value looks suspicious as the longest C-N bonds rarely exceed 1.53 Å.
In most cases, the ionization state of GBP can be easily determined based on the differences between the CO* and CO** lengths, which are similar in zwitterions and diverse in cations. The sole exception here is the FOXNUC structure, which was already described in detail and presented in Figure 2. In most of the analyzed conformations, GBP exists as zwitterion (89%), and in the rest, it forms a cation. So far, the crystal structure of a compound in which GBP exists as an anion has not been determined.
In most cases (60%), GBP exists in the AX conformation, including the thermodynamically most stable polymorph α (II). However, it has been shown in both experimental and computational studies, as described above, that EQ is the more stable conformation in solution. As in the crystals with Z′ > 1, both AX and EQ conformers can be found within the same unit, which shows that the intermolecular forces play a major role in the stabilization of the chosen system rather than the intramolecular energy of a particular conformer.
An analysis of the puckering parameters revealed that in most cases, θ was either 0 ± 5° or 180 ± 5°, which indicates the chair, C, conformation of the substituted cyclohexane ring as either 4C1 or 1C4, respectively. The average total puckering amplitude, Q, was found to be 0.553 ± 0.016 Å, which lies only slightly under the Q value of glucopyranose (0.560 Å) and an ideal cyclohexane chair (0.630 Å). The most distinct values of the puckering parameters were calculated for two different conformations in ANISEW, namely, ANISEW and ANISEW**, with θ and Q values of 140.528°, 0.670 Å and 12.361°, 0.580 Å, respectively. Such values of θ indicate a great distortion from C, especially for ANISEW (Figure 11). Taking into account that in ANISEW*** and ANISEW*, respectively, the shortest C-N (1.2746 Å) and C-O* (1.2326 Å) bond lengths were observed, this may indicate that this structure should be revisited.
Figure 11.
Cyclohexane ring of ANISEW *** showing distortion from the chair conformation.
8. Conclusions
Gabapentin is an important API, with a complex mechanism of action and broad therapeutical applications. Due to its pharmacokinetic properties, leading to the necessity of frequent drug administration, multiple crystal structures containing GBP have been successfully obtained and analyzed. Moreover, GBP is a versatile building block in crystal engineering. Being a Lewis base, GBP has been used multiple times as a ligand to create various complexes. Also, due to the presence of H bond donors and acceptors in GBP molecules, multiple schemes of the H bonding network can be observed in GBP-related structures. GBP exhibits polymorphism both in its anhydrous and monohydrate forms, with the α (II) anhydrate and monohydrate I forms being the thermodynamically most stable ones. However, results of recent high-pressure crystallization studies and quantum chemical calculations indicate that the entire landscape of GBP has not been revealed yet.
This review can serve as a starting point for new structural studies of GBP and related compounds. First, it is advisable to perform polymorphic screening under higher pressure, as this can be the source of new forms that have not been discovered yet. In addition, the quantum mechanics calculation studies that have already started can be further continued to reveal other possible polymorphs of GBP and the conditions required to obtain them.
Author Contributions
Conceptualization, Ł.S.; methodology, Ł.S.; formal analysis, Ł.S.; investigation, J.B. and Ł.S.; data curation, J.B. and Ł.S.; writing—original draft preparation, J.B. and Ł.S.; writing—review and editing, J.B. and Ł.S.; visualization, J.B. and Ł.S.; supervision, Ł.S.; project administration, Ł.S.; funding acquisition, Ł.S. All authors have read and agreed to the published version of the manuscript.
Funding
This research received no external funding.
Data Availability Statement
The data presented in this study are available on request from the corresponding author.
Conflicts of Interest
The authors declare no conflicts of interest.
References
- Herbst, M.; Komisarek, D.; Strothmann, T.; Vasylyeva, V. A Lection in Humbleness: Crystallization of Chiral and Zwitterionic APIs Baclofen and Phenibut. Crystals 2022, 12, 1393. [Google Scholar] [CrossRef]
- Refat, M.S.; Hamza, R.Z.; Adam, A.M.A.; Saad, H.A.; Gobouri, A.A.; Al-Salmi, F.A.; Altalhi, T.A.; El-Megharbel, S.M. Potential Therapeutic Effects of New Ruthenium (III) Complex with Quercetin: Characterization, Structure, Gene Regulation, and Antitumor and Anti-Inflammatory Studies (RuIII/Q Novel Complex Is a Potent Immunoprotective Agent). Crystals 2021, 11, 367. [Google Scholar] [CrossRef]
- Udaykumar Rao, B.; Maqdoom, F.; Nikalje, A.P. Determination of gabapentin in bulk drug and in pharmaceutical dosage form by HPLC method. J. Chil. Chem. Soc. 2009, 54, 424–427. [Google Scholar] [CrossRef]
- Rose, M.A.; Kam, P.C. Gabapentin: Pharmacology and its use in pain management. Anaesthesia 2002, 57, 451–462. [Google Scholar] [CrossRef]
- Calandre, E.P.; Rico-Villademoros, F.; Slim, M. Alpha2delta ligands, gabapentin, pregabalin and mirogabalin: A review of their clinical pharmacology and therapeutic use. Expert Rev. Neurother. 2016, 16, 1263–1277. [Google Scholar] [CrossRef]
- Duncan, J.S.; Sander, J.W.; Sisodiya, S.M.; Walker, M.C. Adult epilepsy. Lancet 2006, 367, 1087–1100. [Google Scholar] [CrossRef]
- Asadi-Pooya, A.A.; Brigo, F.; Lattanzi, S.; Blumcke, I. Adult epilepsy. Lancet 2023, 402, 412–424. [Google Scholar] [CrossRef]
- Bruno, I.J.; Cole, J.C.; Edginton, P.R.; Kessler, M.; Macrae, C.F.; Mccabe, P.; Pearson, J.; Taylor, R. New software for searching the Cambridge Structural Database and visualizing crystal structures. Acta Cryst. 2002, B58, 389–397. [Google Scholar] [CrossRef]
- CCDC Search Structures Application. Available online: https://www.ccdc.cam.ac.uk/structures/ (accessed on 22 January 2024).
- Model the Biosphere|BIOVIA—Dassault Systèmes. Available online: https://www.3ds.com/products-services/biovia/ (accessed on 22 January 2024).
- Cremer-Pople Parameter Calculator. Available online: http://enzyme13.bt.a.u-tokyo.ac.jp/CP/ (accessed on 22 January 2024).
- Chincholkar, M. Gabapentinoids: Pharmacokinetics, pharmacodynamic and considerations for clinical practice. Br. J. Pain 2020, 14, 104–114. [Google Scholar] [CrossRef] [PubMed]
- Smith, R.V.; Havens, J.R.; Walsh, S.L. Gabapentin misuse, abuse and diversion: A systematic review. Addiction 2016, 111, 1160–1174. [Google Scholar] [CrossRef] [PubMed]
- Maneuf, Y.P.; Luo, Z.D.; Lee, K. α2δ and the mechanism of action of gabapentin in the treatment of pain. Semin. Cell Dev. Biol. 2006, 17, 565–570. [Google Scholar] [CrossRef]
- Bockbrader, H.N.; Wesche, D.; Miller, R.; Chapel, S.; Janiczek, N.; Burger, P. A Comparison of the Pharmacokinetics and Pharmacodynamics of Pregabalin and Gabapentin. Clin. Pharmacokinet 2010, 49, 661–669. [Google Scholar] [CrossRef]
- Jackson, C.; Clanahan, M.J.; Joglekar, K.; Decha-Umphai, S.T. Hold the gaba: A case of gabapentin-induced hepatotoxicity. Cureus 2018, 10, e2269. [Google Scholar] [CrossRef]
- Hakami, T. Neuropharmacology of Antiseizure Drugs. Neuropsychopharmacol. Rep. 2021, 41, 336–351. [Google Scholar] [CrossRef]
- Minozzi, S.; Cinquini, M.; Amato, L.; Farrell, M.F.; Reisser, A.A.R.L.; Pani, P.P.; de Lima, M.S.; Soares, B.G.O.; Vecchi, S. Anticonvulsants for cocaine dependence. Cochrane Database Syst. Rev. 2015, 2015, CD006754. [Google Scholar] [CrossRef] [PubMed]
- Marschall, K.; Gowing, L.; Ali, R.; Le Foll, B. Pharmacotherapies for cannabis dependence. Cochrane Database Syst. Rev. 2014, 12, CD008940. [Google Scholar] [CrossRef] [PubMed]
- Pani, P.P.; Trogu, E.; Pacini, M.; Maremmani, I. Anticonvulsants for alcohol dependence. Cochrane Database Syst. Rev. 2014, 2014, CD008544. [Google Scholar] [CrossRef]
- Hornyak, M.; Scholz, H.; Kohnen, R.; Bengel, J.; Kassubek, J.; Trenkwalder, C. What treatment works best for restless legs syndrome? Meta-analyses of dopaminergic and non-dopaminergic medications. Sleep Med. Rev. 2014, 18, 153–164. [Google Scholar] [CrossRef]
- Aurora, R.N.; Kristo, D.A. The treatment of restless legs syndrome and periodic limb movement disorder in adults—An update for 2012: Practice parameters with an evidence-based systematic review and meta-analyses: An American Academy of Sleep Medicine Clinical Practice Guideline. Sleep 2012, 35, 1039–1062. [Google Scholar] [CrossRef]
- Tozihi, M.; Bahrami, H.; Zarifian, M.; Vahedpour, M. Protonation of gabapentin: Ion mobility spectrometry and computational study. Eur. J. Mass Spectrom. 2023, 29, 220–230. [Google Scholar] [CrossRef]
- Morozov, Y.N.; Mikhalev, S.P.; Shabatin, V.P.; Kolotilov, P.N.; Sergeev, G.B. Cryomodification of drugs: Micronization and crystalline structures of 1-(aminomethyl)-cyclohexaneacetic acid. Mosc. Univ. Chem. Bull. 2010, 65, 237–243. [Google Scholar] [CrossRef]
- Sinha, L.; Karabacak, M.; Narayan, V.; Cinar, M.; Prasad, O. Molecular structure, electronic properties, NLO, NBO analysis and spectroscopic characterization of Gabapentin with experimental (FT-IR and FT-Raman) techniques and quantum chemical calculations. Spectrochim. Acta Part A Mol. Biomol. Spectrosc. 2013, 109, 298–307. [Google Scholar] [CrossRef]
- Mahmoud, M.A.; Abbas, A.M.; Zaitone, S.A.; Ammar, A.M.; Sallam, S.A. Copper (II) ternary complexes with gabapentin and neurotransmitters as antiepileptic drug. J. Mol. Struct. 2019, 1180, 861–877. [Google Scholar] [CrossRef]
- Mahmoud, M.A.; Helal, M.A.; Ammar, A.M. Zinc ternary complexes with gabapentin and neurotransmitters: Synthesis, spectral, thermal and molecular docking studies. J. Mol. Struct. 2020, 1199, 126951. [Google Scholar] [CrossRef]
- Ibers, J.A. Gabapentin and gabapentin monohydrate. Acta Crystallogr. C 2001, 57, 641–643. [Google Scholar] [CrossRef]
- Ananda, K.; Aravinda, S.; Vasudev, P.G.; Raja, K.M.P.; Sivaramakrishnan, H.; Nagarajan, K.; Shamala, N.; Balaram, P. Stereochemistry of gabapentin and several derivatives: Solid state conformations and solution equilibria. Curr. Sci. 2003, 85, 1002–1011. [Google Scholar]
- Wang, Y.; Du, S.; Wu, S.; Zhang, D.; Yu, B.; Bekele, H.K.; Gong, J. Thermodynamic and molecular investigation into the solubility, stability and self-assembly of gabapentin anhydrate and hydrate. J. Chem. Thermodyn. 2017, 113, 132–143. [Google Scholar] [CrossRef]
- Reece, H.A.; Levendis, D.C. Polymorphs of gabapentin. Acta Crystallogr C 2008, 64, 105–108. [Google Scholar] [CrossRef]
- Braga, D.; Grepioni, F.; Maini, L.; Rubini, K.; Polito, M.; Brescello, R.; Cotarca, L.; Duarte, M.T.; Andre, V.; Fatima, M.; et al. Polymorphic gabapentin: Thermal behaviour, reactivity and interconversion of forms in solution and solid-state. New J. Chem. 2008, 32, 1788–1795. [Google Scholar] [CrossRef]
- Vasudev, P.G.; Aravinda, S.; Ananda, K.; Veena, S.D.; Nagarajan, K.; Shamala, N.; Balaram, P. Crystal Structures of a New Polymorphic Form of Gabapentin Monohydrate and the E and Z Isomers of 4-Tertiarybutylgabapentin. Chem. Biol. Drug Des. 2009, 73, 83–96. [Google Scholar] [CrossRef]
- Zhao, C.; Su, X.; Fang, L.; Shang, Z.; Li, Z.; Gong, J.; Wu, S. Multivariate Analysis of a Highly Effective Drug Combination Tablet Containing the Antiepileptic Drug Gabapentin to Enhance Pharmaceutical Properties with a Multicomponent Crystal Strategy. Cryst. Growth Des. 2022, 12, 7234–7247. [Google Scholar] [CrossRef]
- Fabbiani, F.P.A.; Levendis, D.C.; Buth, G.; Kuhs, W.F.; Shankland, N.; Sowa, H. Searching for novel crystal forms by in situ high-pressure crystallisation: The example of gabapentin heptahydrate. CrystEngComm 2010, 12, 2354–2360. [Google Scholar] [CrossRef]
- Jasinski, J.P.; Butcher, R.J.; Yathirajan, H.S.; Mallesha, L.; Mohana, K.N.; Narayana, B. Crystal Structure of a Second Polymorph of Gabapentin Hydrochloride Hemihydrate with a Three-Center Bifurcated Hydrogen Bond. J. Chem. Crystallogr. 2009, 39, 777–780. [Google Scholar] [CrossRef]
- André, V.; Marques, M.M.; da Piedade, M.F.M.; Duarte, M.T. An ester derivative of the drug gabapentin: pH dependent crystal stability. J. Mol. Struct. 2010, 973, 173–179. [Google Scholar] [CrossRef]
- André, V.; Fernandes, A.; Santos, P.P.; Duarte, M.T. On the Track of New Multicomponent Gabapentin Crystal Forms: Synthon Competition and pH Stability. Cryst. Growth Des. 2011, 11, 2325–2334. [Google Scholar] [CrossRef]
- Wenger, M.; Bernstein, J. An Alternate Crystal Form of Gabapentin: A Cocrystal with Oxalic Acid. Cryst. Growth Des. 2008, 8, 1595–1598. [Google Scholar] [CrossRef]
- Hongqi, L.; Yathirajan, H.S.; Mellesha, L.; Mohana, K.N.; Narayana, B. Gabapentinium picrate. Acta Cryst. E 2009, 65, 783. [Google Scholar]
- Shaikjee, A.; Levendis, D.C.; Marques, H.M.; Mampa, R. A gold(III) complex and a tetrachloroaurate salt of the neuroepileptic drug gabapentin. Inorg. Chem. Commun. 2011, 14, 534–538. [Google Scholar] [CrossRef]
- Reddy, L.; Bethune, S.J.; Kampf, J.W.; Rodríguez-Hornedo, N. Cocrystals and Salts of Gabapentin: pH Dependent Cocrystal Stability and Solubility. Cryst. Growth Des. 2009, 9, 378–385. [Google Scholar] [CrossRef]
- Vries, E.J.C.; Gamble, C.; Shaikjee, A. [1-(Carboxymethyl)cyclohexyl]- methanaminium nitrate. Acta Cryst. E 2011, 67, 513. [Google Scholar] [CrossRef]
- Razzaq, S.N.; Khan, I.U.; Şahin, O.; Büyükgüngör, O. [1-(Carboxymethyl)cyclohexyl]methanaminium dihydrogen phosphate. Acta Cryst. E 2010, 66, 1074. [Google Scholar] [CrossRef]
- Fowler, D.A.; Tian, J.; Barnes, C.; Teat, S.J.; Atwood, J.L. Cocrystallization of C-butyl pyrogallol[4]arene and C-propan-3-ol pyrogallol[4]arene with gabapentin. CrystEngComm 2011, 13, 1446–1449. [Google Scholar] [CrossRef]
- Spiel, P.D.; Sikligar, K.; Baker, G.A.; Kelley, S.P.; Atwood, J.L. Cocrystallization of C-Propyl Pyrogallol[4]arene and the Pharmaceutical Gabapentin. J Chem. Crystallogr. 2018, 49, 119–124. [Google Scholar] [CrossRef]
- Kumari, H.; Zhang, J.; Erra, L.; Barbour, L.J.; Deakyne, C.A.; Atwood, J.L. Cocrystals of gabapentin with C-alkylresorcin[4]arenes. CrystEngComm 2013, 15, 4045. [Google Scholar] [CrossRef]
- Queresma, S.; André, V.; Antunes, A.M.M.; Cunha-Silva, L.; Duarte, M.T. Gabapentin Coordination Networks: Mechanochemical Synthesis and Behavior under Shelf Conditions. Cryst. Growth Des. 2013, 13, 5007–5017. [Google Scholar] [CrossRef]
- Vries, E.J.C.; Gamble, C.; Shaikjee, A. Tetraaquatetrakis{μ2-[1-(carboxylatomethyl)cyclohexyl]methanaminium}-bis(μ3-hydroxido)bis(nitrato-κ2O,O’)-tetrazinc(II). Acta Cryst. E 2011, 67, 573–574. [Google Scholar] [CrossRef] [PubMed]
- Braga, D.; Grepioni, F.; Maini, L.; Brescello, R.; Cotarca, L. Simple and quantitative mechanochemical preparation of the first zinc and copper complexes of the neuroleptic drug gabapentin. CrystEngComm 2008, 10, 469–471. [Google Scholar] [CrossRef]
- Mungalimane, A.; Shetty, V. CCDC 982169: Experimental Crystal Structure Determination, 2017. Available online: https://www.ccdc.cam.ac.uk/structures/ (accessed on 22 January 2024).
- Pesachovich, M.; Singer, C.; Pilarski, G. Preparation of Gabapentin. U.S. Patent No. 6,255,526,B1, 2 July 2001. [Google Scholar]
- Satyanarayana, C.; Ramanjaneyulu, G.S.; Kumar, I.V.S. World Intellectual Property Organization, Publication No. WO 2004/110342; WIPO: Karlsruhe, Germany, 2004. [Google Scholar]
- Liu, Y.; Wang, Y.; Huang, X.; Li, X.; Zong, S.; Wang, N.; Hao, H. Conformational Selectivity and Evolution Affected by the Desolvation Process. Cryst. Growth Des. 2022, 22, 1283–1291. [Google Scholar] [CrossRef]
- Bryans, J.S.; Horwell, D.C.; Ratcliffe, G.S.; Recevaur, J.M.; Rubin, J.R. An In Vitro Investigation into Conformational Aspects of Gabapentin. Bioorg. Med. Chem. 1999, 8, 715–721. [Google Scholar] [CrossRef]
Disclaimer/Publisher’s Note: The statements, opinions and data contained in all publications are solely those of the individual author(s) and contributor(s) and not of MDPI and/or the editor(s). MDPI and/or the editor(s) disclaim responsibility for any injury to people or property resulting from any ideas, methods, instructions or products referred to in the content. |
© 2024 by the authors. Licensee MDPI, Basel, Switzerland. This article is an open access article distributed under the terms and conditions of the Creative Commons Attribution (CC BY) license (https://creativecommons.org/licenses/by/4.0/).
































