Analysis of the Effect of Copper Doping on the Optoelectronic Properties of Indium Oxide Thin Films and the Thermoelectric Properties of an In2O3/Pt Thermocouple
Abstract
1. Introduction
2. Materials and Methods
3. Results
3.1. Microstructure and Other Physical Characteristics of Cu-Doped In2O3 Thin Films
3.2. Electrical Properties of Cu-Doped In2O3 Thin Films
3.3. Optical Properties of Cu-Doped In2O3 Thin Films
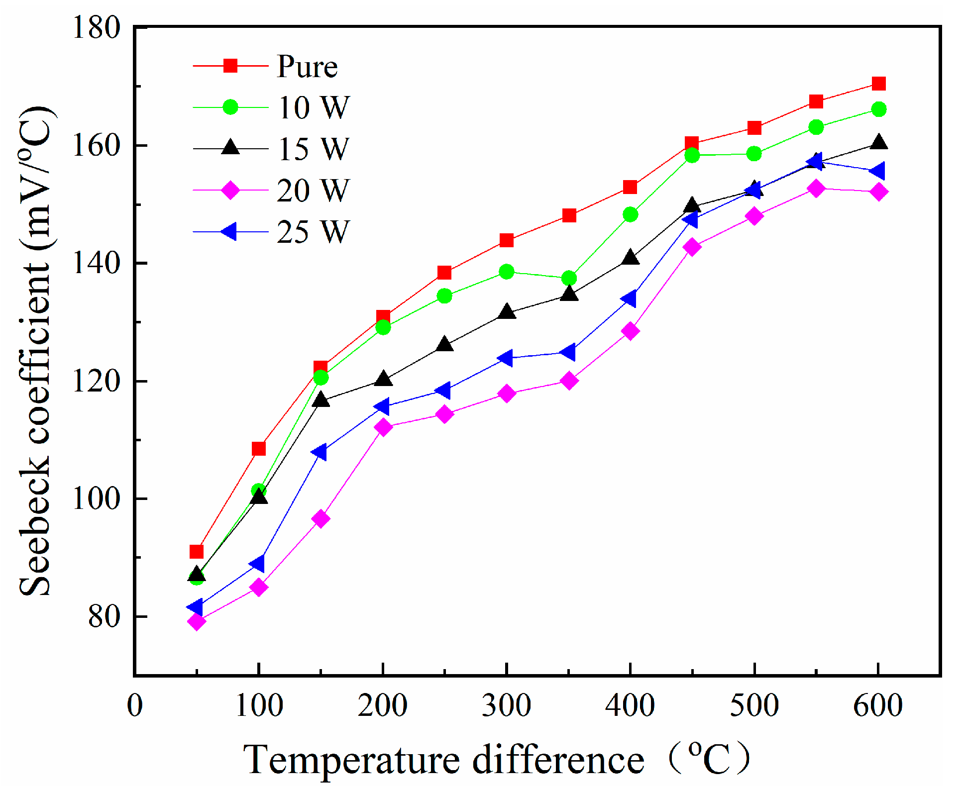
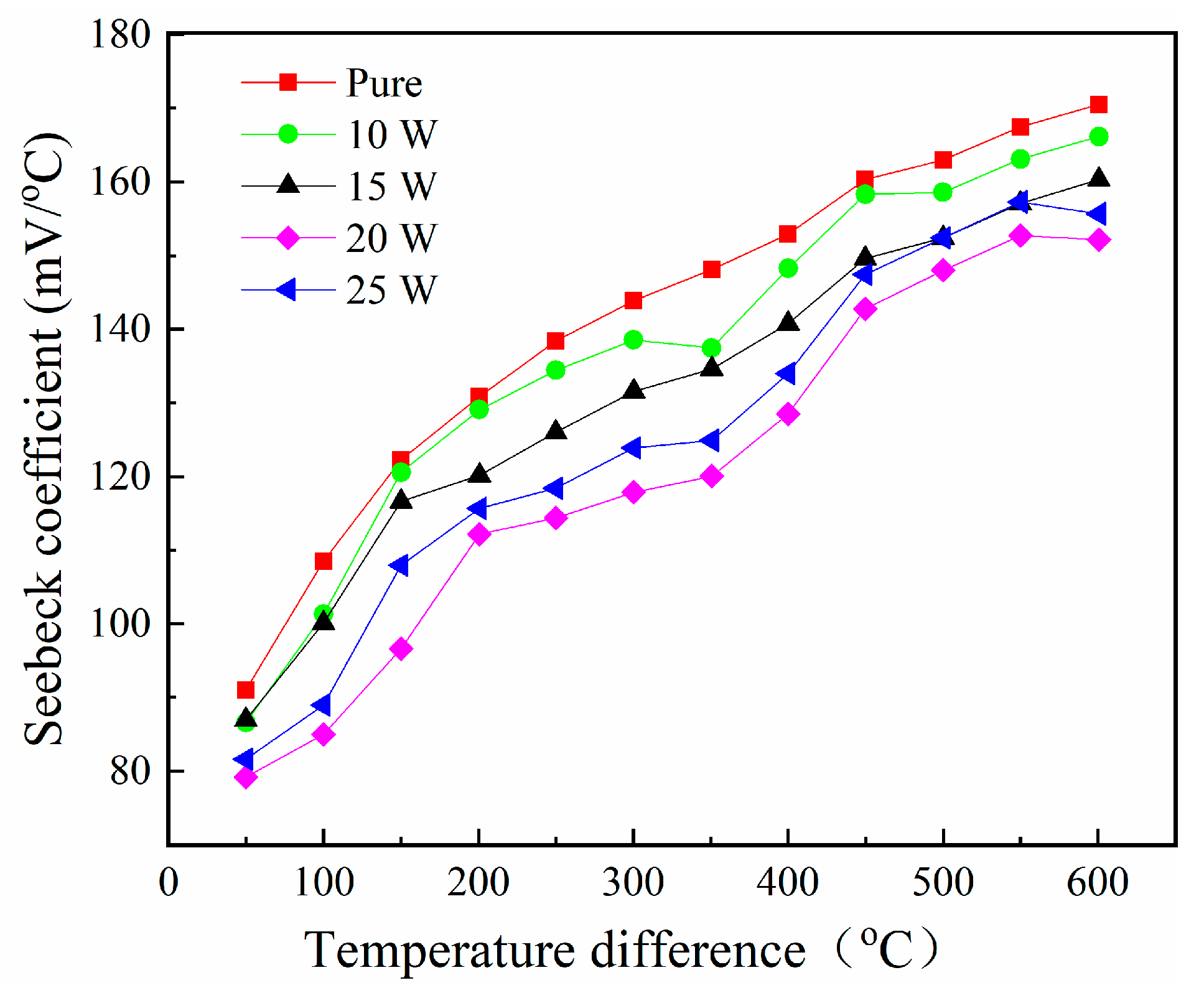
3.4. Thermoelectrical Properties of Cu-Doped In2O3 Thin Films
4. Conclusions
Author Contributions
Funding
Data Availability Statement
Conflicts of Interest
References
- Sakthivel, P.; Murugana, R.; Asaithambi, S.; Karuppaiah, M.; Vijayaprasath, G.; Rajendran, S.; Hayakawa, Y.; Ravi, G. Studies on optoelectronic properties of magnetron Sputtered cadmium stannate (Cd2SnO4) thin films as alternative TCO materials for solar cell applications. Ceram. Int. 2018, 44, 2529–2538. [Google Scholar] [CrossRef]
- Sakthivel, P.; Murugan, R.; Asaithambi, S. Influence of radiofrequency power on structural, morphological, optical and electrical properties of magnetron sputtered CdO: Sm thin films as alternative TCO for optoelectronic applications. J. Alloys Compd. 2018, 765, 146–157. [Google Scholar] [CrossRef]
- Chan, Y.P.; Seong, P.J.; Joon, B.P. High-performance ITO/a-IGZO heterostructure TFTs enabled by thickness-dependent carrier concentration and band alignment manipulation. Ceram. Int. 2023, 49, 5905–5914. [Google Scholar]
- Sarath, R.; Narasimha, M.Y.; Hari, P.K.; Alshahrani, T.; Sarah, J.M.; Mohd, S.; AlFaify, S. Enhancement in optoelectronic nature of facile spray fabricated Ce co-doped CdO:Zn films for TCO applications. Optik 2020, 223, 165408. [Google Scholar]
- Husam, R.A.; Ameer, I.K.; Ali, A.Y. AImpact of high vacuum annealing temperature on the structural, photoluminescence, and room temperature liquefied petroleum gas sensing of direct current magnetron sputtered CdO films. Mater. Chem. Phys. 2022, 289, 126446. [Google Scholar]
- Liu, Y.T.; Wang, W.X.; Ma, J.P. Structure, optical and electrical properties of Nb-doped ZnO transparent conductive thin films prepared by co-sputtering method. J. Adv. Dielect. 2019, 9, 1950048. [Google Scholar] [CrossRef]
- Daseul, H.; Seongchan, O.; Hyon, C.K. Competing phases in epitaxial SnO2 thin films deposited on sapphire (0001) substrates using radio-frequency powder sputtering. Ceram. Int. 2022, 48, 28396–28403. [Google Scholar]
- Afroz, K.; Rahman, F.; Razia, N.; Asokan, K. Role of deposition temperature and Sn content on structural, optical & electrical properties of In2O3 thin films. Curr. Appl. Phys. 2022, 38, 49–58. [Google Scholar]
- Vilca-Huayhua, C.A.; Paz-Corrales, K.J.; Aragón, F.F.H.; Mathpalb, M.C.; Villegas, L.L.; Coaquira, J.A.H.; Pacheco-Salazara, D.G. Growth and vacuum post-annealing effect on the structural, electrical and optical properties of Sn-doped In2O3 thin films. Thin Solid Film. 2020, 709, 138207. [Google Scholar] [CrossRef]
- Ehsan, E.; Fariborz, T. Development of highly sensitive ZnO/In2O3 composite gas sensor activated by UV-LED. Sens. Actuators B 2017, 241, 828–839. [Google Scholar]
- Nasrin, J.; Mohsen, G.; Vishtasb, S. Investigation of the role of deposition rate on optical, microstructure and ethanol sensing characteristics of nanostructured Sn doped In2O3 films. MRS Bull. 2018, 106, 49–56. [Google Scholar]
- Rombach, J.; Bierwagen, O.; Papadogianni, A.; Mischob, M.; Cimalla, V.; Berthold, T.; Krischok, S.; Himmerlich, M. Electrical conductivity and gas-sensing properties of Mg-doped and undoped single-crystalline In2O3 thin films: Bulk vs. Surface. Procedia Eng. 2015, 120, 79–82. [Google Scholar] [CrossRef]
- Pramodn, N.; Pandey, S. Effect of Li doping on the structural, optical and formaldehyde sensing properties of In2O3 thin films. Ceram. Int. 2015, 41, 527–532. [Google Scholar] [CrossRef]
- Shinozaki, B.; Takada, S.; Kokubo, N. Superconducting characteristics and microstructure of polycrystalline Zn-doped In2O3 films. Physica C 2011, 471, 717–720. [Google Scholar] [CrossRef]
- Pramodn, N.; Pandey, S. Influence of Sb doping on the structural, optical, electrical and acetonesensing properties of In2O3 thin films. Ceram. Int. 2014, 40, 3461–3468. [Google Scholar] [CrossRef]
- Moustafa, A.; Ahmed, B.; Essam, R.S. Optical characteristics with high accuracy of diluted Cr doped In2O3 thin films using spectroscopic ellipsometry for optoelectronic devices. Opt. Mater. 2022, 133, 113039. [Google Scholar]
- Jianhua, S.; Fanying, M.; Jian, B.; Yongwu, L.; Zhengxin, L. Surface scattering effect on the electrical mobility of ultrathin Ce doped In2O3 film prepared at low temperature. Mater. Lett. 2018, 225, 54–56. [Google Scholar]
- Wang, G.H.; Shi, C.Y.; Zhao, L. Efficiency improvement of the heterojunction solar cell using an antireflection Hf-doped In2O3 thin film prepared via glancing angle magnetron sputtering technology. Opt. Mater. 2020, 109, 110323. [Google Scholar] [CrossRef]
- Chaeyoung, K.; Hae, J.S.; Seong, W.K. Ga and Ti co-doped In2O3 films for flexible amorphous transparent conducting oxides. Ceram. Int. 2022, 48, 13938–13947. [Google Scholar]
- Kaleemulla, S.; Rao, N.M. Electrical and optical properties of In2O3:Mo thin films prepared at various Mo-doping levels. J. Alloys Compd. 2010, 504, 351–356. [Google Scholar] [CrossRef]
- Fan, Y.; Xing, M.C.; Xue, Z.; Tian, X.Q. The electrical and optical properties of Cu-doped In2O3 thin films. Thin Solid Film. 2014, 556, 44–47. [Google Scholar]
- Gregory, O.J.; Tougas, I.M.; Amani, M.; Crisman, E.E. Thermoelectric Properties and Microstructure of Cu-In-O Thin Films. ACS Comb. Sci. 2013, 15, 580–584. [Google Scholar] [CrossRef] [PubMed]
- Gupta, R.K.; Ghosh, K.; Mishra, S.R.; Kahol, P.K. High mobility, transparent, conducting Gd-doped In2O3 thin films by pulsed laser deposition. Thin Solid Film. 2008, 516, 3204–3209. [Google Scholar] [CrossRef]
- Salvador, A.; Palomares, S.; Bernard, E. Sol-gel growth and characterization of In2O3 thin films. Thin Solid Film. 2018, 645, 383–390. [Google Scholar]
- Baqiah, H.; Ibrahim, N.B. Electrical transport, microstructure and optical properties of Cr-doped In2O3 thin film prepared by sol-gel method. J. Alloys Compd. 2013, 575, 198–206. [Google Scholar] [CrossRef]
- Xuejian, D.; Jing, Y.; Xianwu, X.; Qianqian, S.; Wei, T.; Baoyuan, M. Epitaxial growth and characterization of high quality In2O3 films on a-plane sapphire substrates by MOCVD. Vacuum 2019, 167, 1–5. [Google Scholar]
- Shinho, C. Effects of rapid thermal annealing on the properties of In2O3 thin films grown on glass substrate by rf reactive magnetron sputtering. Microelectron. Eng. 2012, 89, 84–88. [Google Scholar]
- Zijian, Y.; Xiaming, Z.; Xiong, W.; Xikun, C.; Bingpo, Z.; Dongjiang, Q.; Huizhen, W. Annealing effects of In2O3 thin films on electrical properties and application in thin film transistors. Thin Solid Film. 2011, 519, 3254–3258. [Google Scholar]
- Otto, J.G.; Qing, L.; Everett, E.C. High temperature stability of indium tin oxide thin films. Thin Solid Film. 2002, 406, 286–293. [Google Scholar]
- Dyer, S.E.; Gregory, O.J.; Amons, P.S.; Slot, B.A. Preparation and piezoresistive properties of reactively sputtered indium tin oxide thin films. Thin Solid Film. 1996, 288, 279–286. [Google Scholar] [CrossRef]
- Zhao, X.H.; Li, H.T.; Jiang, S.W.; Zhang, W.L.; Jiang, H.C. Effect of nitrogen doping on the thermoelectric properties of ITO-In2O3 thin film thermocouples. Thin Solid Film. 2017, 629, 1–5. [Google Scholar] [CrossRef]
- Liu, D.; Shi, P.; Ren, W. Fabrication and characterization of La0.8Sr0.2CrO3/In2O3 thin film thermocouple for high temperature sensing. Sens. Actuators A 2018, 280, 459–465. [Google Scholar] [CrossRef]
- Zhao, X.H.; Li, H.T.; Chen, Y.Z.; Jiang, H.C. Preparation and thermoelectric characteristics of ITO/Pt thin film thermocouples on Ni-based superalloy substrate. Vacuum 2017, 140, 116–120. [Google Scholar] [CrossRef]
- Zhang, Z.K.; Tian, B.; Li, L.; Lei, J.M.; Liu, Z.J.; Liu, J.J.; Cheng, G.; Zhao, N.; Fang, X.B.; Zhao, L.B. The electrical and optical properties of Cu-doped In2O3 thin films. Ceram. Int. 2022, 48, 25747–25755. [Google Scholar] [CrossRef]
- Zhao, X.H.; Li, H.T.; Yang, K.; Jiang, S.W.; Jiang, H.C.; Zhang, W.L. Annealing effects in ITO based ceramic thin film thermocouples. J. Alloys Compd. 2017, 698, 147–151. [Google Scholar] [CrossRef]
- Liu, Y.T.; Ren, W.; Shi, P.; Liu, D. Preparation and thermal volatility characteristics of In2O3/ITO thin film thermocouple by RF magnetron sputtering. AIP Adv. 2017, 7, 1150251–1150258. [Google Scholar] [CrossRef]
- Jingli, S.; Feng, L.; Bo, Y.; Liang, S.; Chuan, C.; Shanpeng, W.; Yu, C.; Shengping, R. Enhanced ethyl acetate sensing performance of Al-doped In2O3 microcubes. Sens. Actuators B 2017, 253, 461–469. [Google Scholar]
- Asma, A.; Azra, P. Tuning the structural, optical, and magnetic properties of In2O3 nanoparticles with an evaluation of its antibacterial efficiency via controlling the doping concentrations of Ni, Co, and Fe. Mater. Today Commun. 2022, 30, 103063. [Google Scholar]
- Shanmuga, P.B.; Shanthi, M.; Manoharan, C.; Bououdina, M. Hydrothermal synthesis of Ga-doped In2O3 nanostructure and its structural, optical and photocatalytic properties. Mater. Sci. Semicond. Process. 2017, 71, 357–365. [Google Scholar] [CrossRef]
- Mengting, L.; Qiuqiang, Z.; Wei, L.; Rui, L.; Qinyu, H.; Yinzhen, W. Effect of Zn doping concentration on optical band gap of PbS thin films. J. Alloys Compd. 2019, 792, 1000–1007. [Google Scholar]
- Miao, W.; Li, X.; Zhang, Q. Transparent conductive In2O3:Mo thin films prepared by reactive direct current magnetron sputtering at room temperature. Thin Solid Film. 2006, 500, 70–73. [Google Scholar] [CrossRef]
- Fernando, P.S.; Su, H.W.; Anderson, J. Enabling visible-light absorption and p-type doping in In2O3 by adding Bi. Phys. Rev. Mater. 2019, 3, 034605. [Google Scholar]
- Nasser, Y.M.; Ali, B.; Sameh, I.A. Influence of Cu and Ag doping on structure and optical properties of In2O3 thin film prepared by spray pyrolysis. Results Phys. 2018, 10, 126–131. [Google Scholar]
- Ian, M.T.; Matin, A.; Otto, J.G. Metallic and Ceramic Thin Film Thermocouples for Gas Turbine Engines. Sensors 2013, 13, 15324–15347. [Google Scholar]
- Liu, Y.T.; Ren, W.; Shi, P.; Liu, D. Highly Thermostable In2O3/ITO Thin Film Thermocouple Prepared via Screen Printing for High Temperature Measurements. Sensors 2018, 18, 958. [Google Scholar] [CrossRef]

















| Target | Sputtering Method | Sputtering Power (W) | Sputtering Time (h) | Argon Gas Flow Rate (sccm) | Oxygen Flow Rate (sccm) |
|---|---|---|---|---|---|
| In2O3 | RF | 100 | 3 | 60 | 10 |
| Cu | DC | 0–25 | 3 |
Disclaimer/Publisher’s Note: The statements, opinions and data contained in all publications are solely those of the individual author(s) and contributor(s) and not of MDPI and/or the editor(s). MDPI and/or the editor(s) disclaim responsibility for any injury to people or property resulting from any ideas, methods, instructions or products referred to in the content. |
© 2024 by the authors. Licensee MDPI, Basel, Switzerland. This article is an open access article distributed under the terms and conditions of the Creative Commons Attribution (CC BY) license (https://creativecommons.org/licenses/by/4.0/).
Share and Cite
Liu, Y.; Lin, T.; Huang, R.; Shi, J.; Chen, S. Analysis of the Effect of Copper Doping on the Optoelectronic Properties of Indium Oxide Thin Films and the Thermoelectric Properties of an In2O3/Pt Thermocouple. Crystals 2024, 14, 78. https://doi.org/10.3390/cryst14010078
Liu Y, Lin T, Huang R, Shi J, Chen S. Analysis of the Effect of Copper Doping on the Optoelectronic Properties of Indium Oxide Thin Films and the Thermoelectric Properties of an In2O3/Pt Thermocouple. Crystals. 2024; 14(1):78. https://doi.org/10.3390/cryst14010078
Chicago/Turabian StyleLiu, Yantao, Tao Lin, Rong Huang, Jiahao Shi, and Sui Chen. 2024. "Analysis of the Effect of Copper Doping on the Optoelectronic Properties of Indium Oxide Thin Films and the Thermoelectric Properties of an In2O3/Pt Thermocouple" Crystals 14, no. 1: 78. https://doi.org/10.3390/cryst14010078
APA StyleLiu, Y., Lin, T., Huang, R., Shi, J., & Chen, S. (2024). Analysis of the Effect of Copper Doping on the Optoelectronic Properties of Indium Oxide Thin Films and the Thermoelectric Properties of an In2O3/Pt Thermocouple. Crystals, 14(1), 78. https://doi.org/10.3390/cryst14010078
