Modelling and Optimization of Continual Laser Joining Processes for Silicon Aluminum Alloy in Microwave Devices
Abstract
1. Introduction
2. Experimental Methodologies
3. Finite Element Methods
3.1. Finite Element Modelling
3.1.1. Model Geometry and Material Properties
3.1.2. Finite Element Model and Mesh
3.1.3. Governing Equations and Boundary Conditions
3.2. Calibration of Heat Source Model
3.2.1. Heat Source Model
- (1)
- Heat flux density distribution of Gaussian surface heat source model,
- (2)
- Heat flux density distribution of the cylinder heat source model,
3.2.2. Influence of Heat Source Parameters on Molten Pool Size
4. Results and Discussion
4.1. Joining of Spot-Welding
4.2. Joining Process Optimization
4.2.1. Effect of Spot-Welding Sequence on Joining
4.2.2. Reliability of Spot-Welding in Corners
4.2.3. Verification of Joining Process Optimization
5. Conclusions
- (1)
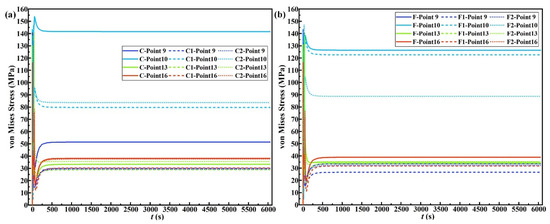
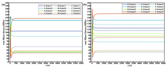
- The residual stress along the welding direction after laser joining presents a stress peak at the spot-welding position. In the three sequential welding results of 16 and 19 points, the largest peaks are located near the corners. Under sequential spot welding, the stress peak value on the L3 was reduced after increasing the number of spot-weldings.
- (2)
- Compared with sequential spot welding, the stress peak value was slightly reduced under the side-by-side spot welding sequence. In the spot-welding sequence of C(F), the residual stress of the weldment decreases except for the value at the inflection point; however, the residual stress value at the inflection points increases.
- (3)
- After the spot-welding at the corner is removed in C1(F1), it is obvious that the residual stress at all spot-welding positions is lower than that of the other spot-welding sequences.
Author Contributions
Funding
Data Availability Statement
Conflicts of Interest
References
- Hou, J.C.; Li, R.F.; Xu, C.; Li, T.T.; Shi, Z.X. A comparative study on microstructure and properties of pulsed laser welding and continuous laser welding of Al-25Si-4Cu-Mg high silicon aluminum alloy. J. Manuf. Process. 2021, 68, 657–667. [Google Scholar] [CrossRef]
- Aversa, A.; Marchese, G.; Manfredi, D.; Lorusso, M.; Calignano, F.; Biamino, S.; Lombardi, M.; Fino, P.; Pavese, M. Laser powder bed fusion of a high strength Al-SiZn-Mg-Cu alloy. Metals 2018, 8, 300. [Google Scholar] [CrossRef]
- Kashaev, N.; Ventzke, V.; Çam, G. Prospects of laser beam welding and friction stir welding processes for aluminum airframe structural applications. J. Manuf. Process. 2018, 36, 571–600. [Google Scholar] [CrossRef]
- Zhang, P.; Jia, Z.; Yu, Z.; Shi, H.; Li, S.; Wu, D.; Yan, H.; Ye, X.; Chen, J.; Wang, F.; et al. A review on the effect of laser pulse shaping on the microstructure and hot cracking behavior in the welding of alloys. Opt. Laser Technol. 2021, 140, 107094. [Google Scholar] [CrossRef]
- Gu, X.; Cui, M.; Chen, J.; Sun, D.; Gu, X.; Liu, L. Laser welding of 6082 aluminum alloy to TC4 titanium alloy via pure niobium as a transition layer. J. Mater. Res. Technol. 2021, 13, 2202–2209. [Google Scholar] [CrossRef]
- Penzes, M.; Dudit, S.; Monsieur, F.; Silvestri, L.; Nallet, F.; Lewis, D.; Perdu, P. Simulation of the thermal stress induced by CW 1340 nm laser on 28 nm advanced technologies. Microelectron. Reliab. 2017, 76–77, 227–232. [Google Scholar] [CrossRef]
- Indhu, R.; Soundarapandian, S.; Vijayaraghavan, L. Yb: YAG laser welding of dual phase steel to aluminium alloy. J. Mater. Process. Technol. 2018, 262, 411–421. [Google Scholar]
- Deshayes, Y.; Bechou, L.; Delétage, J.Y.; Verdier, F.; Danto, Y.; Laffitte, D.; Goudard, J.L. Three-dimensional FEM simulations of thermomechanical stresses in 1.55 μm Laser modules. Microelectron. Reliab. 2003, 43, 1125–1136. [Google Scholar] [CrossRef]
- Wang, X.; Wang, H.P.; Lu, F.; Carlson, B.E.; Wu, Y. Analysis of solidification cracking susceptibility in side-by-side dual-beam laser welding of aluminum alloys. Int. J. Adv. Manuf. Technol. 2014, 73, 73–85. [Google Scholar] [CrossRef]
- Chen, J.; Wei, Y.; Zhan, X.; Li, Y.; Ou, W.; Zhang, T. Melt flow and thermal transfer during magnetically supported laser beam welding of thick aluminum alloy plates. J. Mater. Process. Technol. 2017, 254, 325–337. [Google Scholar] [CrossRef]
- Chen, J.; Wei, Y.; Zhan, X.; Gu, C.; Zhao, X. Thermoelectric currents and thermoelectric-magnetic effects in full-penetration laser beam welding of aluminum alloy with magnetic field support. Int. J. Heat Mass Transf. 2018, 127, 332–344. [Google Scholar] [CrossRef]
- Sonawane, A.; Roux, G.; Blandin, J.J.; Despres, A.; Martin, G. Cracking mechanism and its sensitivity to processing conditions during laser powder bed fusion of a structural aluminum alloy. Materialia 2021, 15, 100976. [Google Scholar] [CrossRef]
- Torkamany, M.J.; Sabbaghzadeh, J.; Hamedi, M.J. Effect of laser welding mode on the microstructure and mechanical performance of dissimilar laser spot welds between low carbon and austenitic stainless steels. Mater. Des. 2012, 34, 666–672. [Google Scholar] [CrossRef]
- Lei, Z.; Wu, S.; Cao, B.; Li, B.; Liang, J.; Hu, X.; Chen, Y. Role of thermal fluid dynamics in alloying element distribution and weld porosity in powder feeding-based laser welding of Al alloy. Appl. Therm. Eng. 2020, 171, 115081. [Google Scholar] [CrossRef]
- Prokhorov, N.N.; Gavrilyuk, M.N. Strain behavior of metals during solidification after welding. Svar. Proizv. 1971, 18, 5–9. [Google Scholar]
- Lin, P.-C.; Lin, S.-H.; Pan, J. Modeling of failure near spot welds in lap-shear specimens based on a plane stress rigid inclusion analysis. Eng. Fract. Mech. 2006, 73, 2229–2249. [Google Scholar] [CrossRef]
- Gatzen, M.; Tang, Z.; Vollertsen, F. Effect of electromagnetic Stirring on the Element Distribution in Laser Beam Welding of Aluminium with Filler Wire. Phys. Procedia 2011, 12, 56–65. [Google Scholar] [CrossRef]
- Yan, H.D.; Mei, Y.H.; Li, X.; Zhang, P.; Lu, G.Q. Degradation of high-power single emitter laser modules using nanosilver paste in continuous pulse conditions. Microelectron. Reliab. 2015, 55, 2532–2541. [Google Scholar] [CrossRef]
- Coniglio, N.; Patry, M. Measuring laser weldability of aluminum alloys using controlled restraint weldability test. Sci. Technol. Weld. Join. 2013, 18, 573–580. [Google Scholar] [CrossRef]
- Von Witzendorff, P.; Hermsdorf, J.; Kaierle, S.; Suttmann, O.; Overmeyer, L. Double pulse laser welding of 6082 aluminum alloys. Sci. Technol. Weld. Join. 2015, 20, 42–47. [Google Scholar] [CrossRef]
- Yin, J.; Cao, Y.; Cui, Y.; Lu, L.; Yan, Y.; Chen, J. Nd: YAG laser ablation of aluminum alloy 6061 before and after silicon dioxide coating. J. Alloy Compd. 2021, 877, 160329. [Google Scholar] [CrossRef]
- Wang, X.J.; Lu, F.G.; Wang, H.P.; Cui, H.C.; Tang, X.H.; Wu, Y.X. Experimental and numerical analysis of solidification cracking behaviour in fibre laser welding of 6013 aluminium alloy. Sci. Technol. Weld. Join. 2015, 20, 58–67. [Google Scholar] [CrossRef]
- Amirreza, K.; Armin, R.D. Effects of welding parameters and welding sequence on residual stress and distortion in Al6061-T6 aluminum alloy for T-shaped welded joint. Trans. Nonferrous Met. Soc. China 2020, 30, 76–89. [Google Scholar]
- Kadoi, K.; Fujinaga, A.; Yamamoto, M.; Shinozaki, K. The effect of welding conditions on solidification cracking susceptibility of type 310S stainless steel during laser welding using an in-situ observation technique. Weld. World 2013, 57, 383–390. [Google Scholar] [CrossRef]
- Bakir, N.; Gumenyuk, A.; Rethmeier, M. Numerical simulation of solidification crack formation during laser beam welding of austenitic stainless steels under external load. Weld. World 2016, 60, 1001–1008. [Google Scholar] [CrossRef]
- Zhang, Z.; Huang, Y.; Kasinathan, A.R.; Shahabad, S.I.; Ali, U.; Mahmoodkhani, Y.; Toyserkani, E. 3-dimensional heat transfer modeling for laser powder-bed fusion additive manufacturing with volumetric heat sources based on varied thermal conductivity and absorptivity. Opt. Laser Technol. 2019, 109, 297–312. [Google Scholar] [CrossRef]
- Shahabad, S.I.; Zhang, Z.; Keshavarzkermani, A.; Ali, U.; Mahmoodkhani, Y.; Esmaeilizadeh, R.; Bonakdar, A.; Toyserkani, E. Heat source model calibration for thermal analysis of laser powder-bed fusion. Int. J. Adv. Manuf. Technol. 2020, 106, 1–13. [Google Scholar] [CrossRef]
- Liu, Y.; Yu, Y.F.; Wang, P.; Fang, H.Y.; Ma, N. Analysis and mitigation of the bending deformation in girth-welded slender pipes with numerical modelling and experimental measurement. J. Manuf. Process. 2022, 78, 278–287. [Google Scholar] [CrossRef]
- Dai, P.Y.; Wang, Y.F.; Li, S.; Lu, S.J.; Feng, G.J.; Deng, D. FEM analysis of residual stress induced by repair welding in sus304 stainless steel pipe butt-welded joint. J. Manuf. Process. 2020, 58, 975–983. [Google Scholar] [CrossRef]
- Sattari-Far, I.; Farahani, M.R. Effect of the weld groove shape and pass number on residual stresses in butt-welded pipes. Int. J. Press. Vessel. Pip. 2009, 86, 723–731. [Google Scholar] [CrossRef]
- Ji, W.; Zhang, P.; Luo, K. Investigation of welding temperature field and residual stresses of corrugated steel web girders. Structures 2022, 44, 1416–1428. [Google Scholar] [CrossRef]
- Deng, D.; Murakawa, H. Prediction of welding distortion and residual stress in a thin plate butt-welded joint. Comput. Mater. Sci. 2008, 43, 353–365. [Google Scholar] [CrossRef]
- Deng, D.; Murakawa, H.; Shibahara, M. Investigations on welding distortion in an asymmetrical curved block by means of numerical simulation technology and experimental method. Comput. Mater. Sci. 2010, 48, 187–194. [Google Scholar] [CrossRef]
- Tian, S.; Chen, W.; Wu, Y.; Zhao, Y.; Zhan, X. The effect of temperature alternating load on residual stresses for Al-Li alloy T-joints welded by dual laser beam bilateral synchronous welding. Int. J. Adv. Manuf. Technol. 2020, 107, 1–13. [Google Scholar] [CrossRef]
- Kunwar, A.; Shang, S.; Råback, P.; Wang, Y.; Givernaud, J.; Chen, J.; Ma, H.; Song, X.; Zhao, N. Heat and mass transfer effects of laser soldering on growth behavior of interfacial intermetallic compounds in Sn/Cu and Sn-3.5Ag0.5/Cu joints. Microelectron. Reliab. 2018, 80, 55–67. [Google Scholar] [CrossRef]
- Gao, H.; Agarwal, G.; Amirthalingam, M.; Hermans, M.J.M.; Richardson, I.M. Investigation on hot cracking during laser welding by means of experimental and numerical methods. Weld. World: J. Int. Inst. Weld. 2018, 62, 71–78. [Google Scholar] [CrossRef]
- Gao, Z.G. Numerical modeling to understand liquation cracking propensity during laser and laser hybrid welding (I). Int. J. Adv. Manuf. Technol. 2012, 63, 291–303. [Google Scholar] [CrossRef]





















| Parameters | Materials | |||||||
|---|---|---|---|---|---|---|---|---|
| 27%SiAl | 50%SiAl | |||||||
| Temperature (°C) | 20 | 200 | 400 | 500 | 20 | 200 | 400 | 500 |
| Thermal Conductivity (W/(m·°C)) | 171 | 151 | 121 | 106 | 147 | 122 | 109 | 98 |
| Density (kg/m3) | 2640 | 2640 | 2640 | 2640 | 2500 | 2500 | 2500 | 2500 |
| Specific heat capacity (J/(kg·°C)) | 760 | 780 | 825 | 890 | 740 | 765 | 810 | 870 |
| Poisson Ratio | 0.28 | 0.28 | 0.28 | 0.28 | 0.25 | 0.25 | 0.25 | 0.25 |
| Thermal expansion coefficient (10−6/°C) | 16.7 | 17.1 | 17.5 | 16.7 | 11.0 | 11.8 | 13.7 | 14.4 |
| Elastic Modulus (GPa) | 87 | 80.9 | 68.1 | 65.3 | 109 | 103.4 | 83.9 | 75.5 |
| Yield stress (MPa) | 160 | 135.6 | 130 | 121 | 210 | 180.8 | 150.7 | 144.1 |
Disclaimer/Publisher’s Note: The statements, opinions and data contained in all publications are solely those of the individual author(s) and contributor(s) and not of MDPI and/or the editor(s). MDPI and/or the editor(s) disclaim responsibility for any injury to people or property resulting from any ideas, methods, instructions or products referred to in the content. |
© 2023 by the authors. Licensee MDPI, Basel, Switzerland. This article is an open access article distributed under the terms and conditions of the Creative Commons Attribution (CC BY) license (https://creativecommons.org/licenses/by/4.0/).
Share and Cite
Wang, S.; Shi, G.; Zhao, L.; Dai, Y.; Hou, T.; He, Y.; Chen, P.; Qin, F. Modelling and Optimization of Continual Laser Joining Processes for Silicon Aluminum Alloy in Microwave Devices. Crystals 2023, 13, 631. https://doi.org/10.3390/cryst13040631
Wang S, Shi G, Zhao L, Dai Y, Hou T, He Y, Chen P, Qin F. Modelling and Optimization of Continual Laser Joining Processes for Silicon Aluminum Alloy in Microwave Devices. Crystals. 2023; 13(4):631. https://doi.org/10.3390/cryst13040631
Chicago/Turabian StyleWang, Song, Ge Shi, Libo Zhao, Yanwei Dai, Tianyu Hou, Ying He, Ping Chen, and Fei Qin. 2023. "Modelling and Optimization of Continual Laser Joining Processes for Silicon Aluminum Alloy in Microwave Devices" Crystals 13, no. 4: 631. https://doi.org/10.3390/cryst13040631
APA StyleWang, S., Shi, G., Zhao, L., Dai, Y., Hou, T., He, Y., Chen, P., & Qin, F. (2023). Modelling and Optimization of Continual Laser Joining Processes for Silicon Aluminum Alloy in Microwave Devices. Crystals, 13(4), 631. https://doi.org/10.3390/cryst13040631

