Abstract
Nickel aluminides have desirable properties for use in high-temperature applications. Nickel aluminides have certain desirable qualities, but for almost a decade in the 1990s, those benefits were overshadowed by the challenges of processing and machining at room temperature. Manufacturing improvements, increased knowledge of aluminide microstructure and deformation processes, and developments in micro-alloying have all contributed to the development of nickel aluminides. Key developments in nickel aluminides, such as their microstructure, alloy addition and alloy development, are given and discussed at length. Methods of production from the past, such as ingot metallurgy and investment casting and melting are addressed, and developments in powder metallurgy-based production methods are introduced. Finally, the difficulties of producing nickel aluminides and possible solutions are examined. This paper gives an overview of the fundamentals, preparation, processing, applications and current trends in nickel aluminides.
1. Introduction
Intermetallic compounds are a class of metallic materials, which are now the subject of extensive research by scientists and engineers working in the field of materials science. Intermetallic compounds are used in higher temperature engineering applications, as they have properties intermediate of metals and ceramics. These materials are now necessary in a wide variety of applications and have the potential to provide additional advances in performance in a variety of domains such as magnetic materials, hydrogen storage materials, and high-temperature structural materials (>1200 °C), etc. [1,2,3]. Most intermetallic compounds have high melting temperatures and are brittle at normal temperature. Because of the low number of separate slip systems necessary for plastic deformation, intermetallics typically fracture in a cleavage or intergranular manner. However, some intermetallics, such as Nb-15Al-40Ti, exhibit ductile fracture modes. Alloying with additional elements can increase grain boundary cohesion, resulting in increased ductility in other intermetallics [4,5]. Figure 1 shows few compounds of current interest by comparing melting temperature and density. Examples of some intermetallics based on their properties are shown in Figure 2.
Figure 1.
Few intermetallic compounds of current interest by comparing melting temperature and density.
Figure 2.
Classification of intermetallics based on properties.
Sometimes, intermetallics are categorized based on crystal formation, and have highly complicated atomic arrangements with common structures adhering to the simple stoichiometric formulae AB, AB2 and C [5,6]. The immense promise of intermetallics, particularly aluminides, arises from their numerous desirable features, including excellent oxidation resistance, corrosion resistance, comparatively low densities, stiffness at increased temperatures and the ability to preserve strength [7,8,9]. Despite its usefulness, poor ductility—especially at low and intermediate temperatures—is a major drawback of intermetallics. Different compounds have different reasons for lacking ductility, which is presented in Figure 3 [8,9,10,11].
Figure 3.
Factors that cause low ductility of intermetallics.
Small amounts of alloying additives, however, have shown to improve ductility several intermetallics: Boron in Ni3Al, Manganese in TiAl, and Niobium in TiAl [8]. Titanium aluminides and nickel aluminides systems have been the focus of the majority of research in the field of intermetallics [7]. Ni3Al and NiAl are the two important aluminides that are found in the nickel–aluminum system. As a possible structural alloy, Ni3Al has garnered a significant amount of attention recently. The majority of superalloys contain Ni3Al, which functions as a strengthening phase [7,9].
When exposed to oxygen-rich environments, the aluminide of a transition metal will produce a continuous, totally adhering alumina coating on its surface. Aluminides typically include aluminum concentrations between 10 and 30 wt%, which is much greater than the aluminum content of standard superalloy and alloy. Alumina layer that forms upon nickel surface and iron aluminides is what allows these materials to retain their superior oxidizing and carburizing resistivity at temperatures of 1000 °C or higher [10]. Therefore, aluminides do not always need chromium for producing layer of oxide upon material surface to counter higher temperature oxidizing and rust, in contrast to typical steels and superalloys based on Fe, Co and Ni [11]. The characteristics of alumnides are shown in Figure 4.
Figure 4.
Characteristics features of Aluminides [12,13,14,15].
There are often many intermetallic equilibrium aluminide phases present in metal-aluminum binary systems. In thin-film bilayers, it is typically found that only a single phase is growing at any one moment [16,17]. This is in contrast to bulk diffusion couples, in which, after adequate indurating, all of the equilibrium stages normally occur. Located somewhere in the middle of these two patterns of behavior are lateral diffusion couples.
2. Importance of Nickel Aluminides
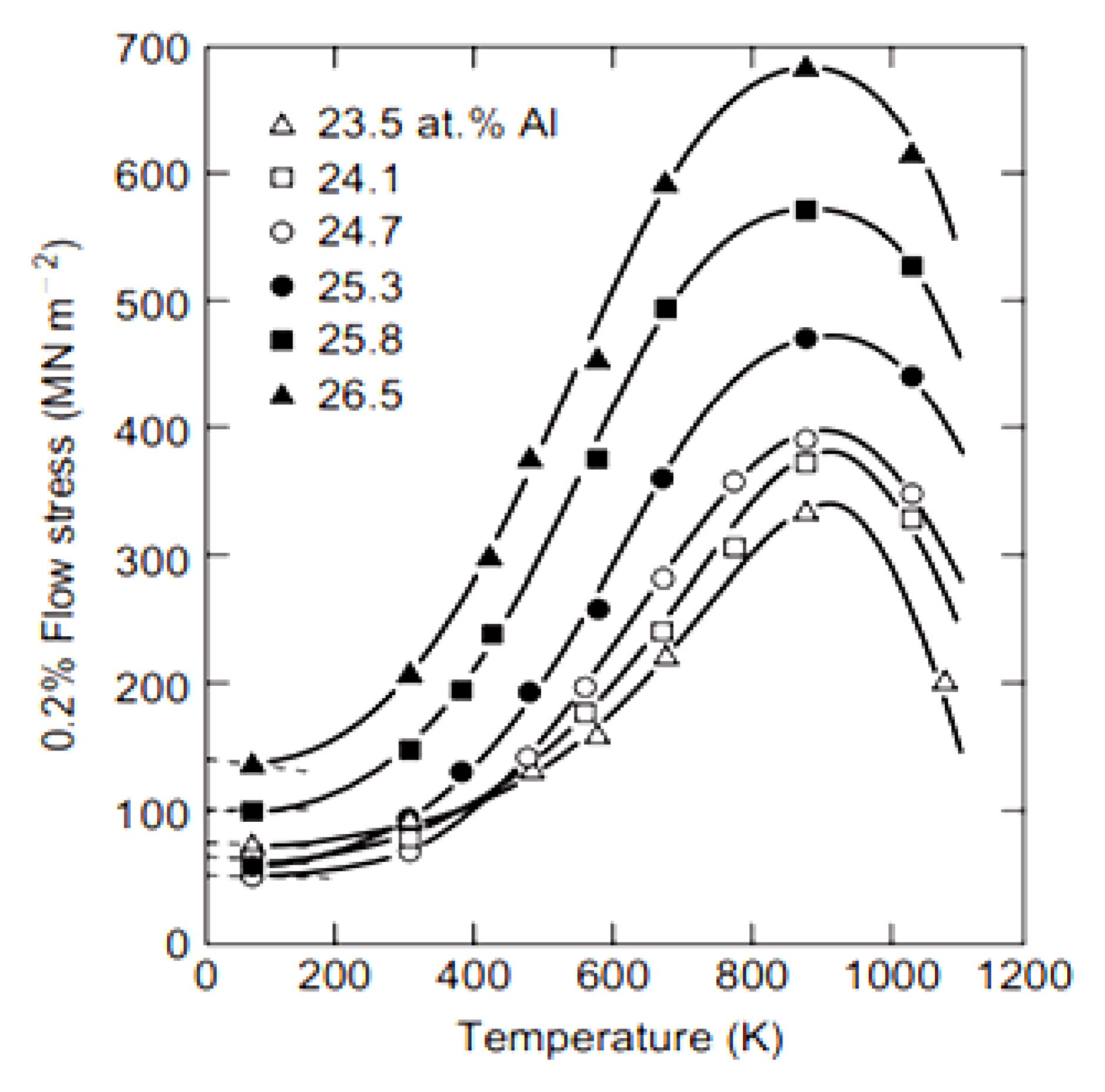
Nickel aluminides have a low density and great resistance to oxidation. They also keep their strength well at higher temperatures. Because of these characteristics, they are a good choice for high-temperature structural applications. One of Ni3Al’s most notable characteristics is the fact that its yield stress rises as its temperature rises to a maximum temperature of 600 °C, as shown in Figure 5 [8,18]. Table 1 indicates the weight percentage and melting point of aluminum based intermetallics. This behavior has been noticed in other L12 intermetallics as well. This effect is caused by the cross slip of screw dislocations, which are thermally triggered, moving from the planes labelled (1 1 1) to the planes labeled (1 0 0), which is where the antiphase boundary (apb) energy lies. Observations of apb energies using electron microscopy that are given in Table 2 illustrate that the apb energy on {1 0 0} declines with increasing amounts of aluminum content. This affects the composition dependency of the strength, which is shown in Figure 5. A significant work hardening rate is also caused by the cross-slipping of screw displacements by {1} planes with cube planes.
Figure 5.
The influence of aluminum content on the temperature dependence of flow stress in Ni3Al [8]. Reproduced with permission from Elsevier.
Table 1.
Intermetallics weight percentages of aluminum, the temperatures at which they form, and their melting points [19].
Table 2.
Anti-Phase Boundary Energies in Ni3Al [8].
3. Challenges Involved in Nickel Aluminides
Nickel aluminide is a long range ordered intermetallic. Consequently, due to longer-ranged orders, there is a significant problem of lower ductility and inelastic intergranular fissure at room temperatures [19,20]. A limited number of simple slip systems, restricted cross-slip, large slip vectors and adversity of transferring slip through grain boundary are some of factors that may be the reason for the brittle failure of intermetallic alloys [8]. In spite of this, several metallurgical processes such as processing control, grain refining, micro and macro alloying, and quick solidification [6,8,20], have culminated noticeable improvements into ductility and toughness of material. For instance, it has been found that adding a minuscule amount of boron to Ni3Al increases the grain boundary adhesion level, which in turn reduces the tendency for the polycrystalline material to crack along its brittle intergranular boundaries.
There are at least three different ways that may be improved upon for increasing ductility of NiAl as shown in Figure 6 [21,22,23,24,25,26,27]. The structural properties of NiAl and Ni3Al are shown in Table 3.
Figure 6.
Different methods for improving ductility of NiAl.
Table 3.
Structural properties of NiAl and Ni3Al [28,29,30,31,32,33,34,35,36,37,38].
4. Phase Diagram of Nickel Aluminides
The phase diagram of NiAl is shown in Figure 7. Ni has a poor solubility in Al, making it very hard to obtain compounds with a higher availability of Al; nevertheless, Al becomes significantly soluble in Ni, being accountable for the formation of Ni-rich complexes upon its adding. When it comes to the primary phase regions, Al-Ni phase diagram is a very precise structure. It is possible to come across Ni3Al with a percentage of Al between 73% and 76%. As per the binary phase diagram of Al-Ni, the compounds of Al3Ni, Al3Ni2, AlNi, AlNi5, and AlNi3 are produced progressively with increasing Ni content. There are two eutectic processes and three peritectic zones in the Al-Ni phase diagram, with Al3Ni, AlNi, and Ni3Al as intermetallic compounds and NiAl3 as an intermetallic compound with constant composition.
Figure 7.
The Phase Relationships in the Al-Ni System: A Plot of the Al-Ni Binary Phase Diagram [7]. Reproduced with permission from Elsevier.
There has been a long period of development for the Al-Ni phase diagram, during which it has been tweaked and improved upon on numerous occasions by a number of experts. Evolution and development of the Ni-Al phase diagram is shown in Figure 8 [5,39].
Figure 8.
Evolution and development of Ni–Al phase diagram [5].
5. Properties of Nickel Aluminides
Comparisons of the mechanical and physicochemical characteristics of Ni3Al intermetallic alloys comparing with traditional metallic materials have been subject of a significant amount of research in the scientific literature. The Ni3Al alloys are, for the most part, exceptional when compared with commercialized alloys, particularly in the category of higher-temperature application, in conditions that are both oxidizing and carburizing.
5.1. Hardness
Unalloyed nickel aluminides show composition-dependent hardness, with stoichiometric NiAl having lower hardness than off-stoichiometric compositions [39,40]. The existence of triple defects was responsible for the shift in hardness at the stoichiometric ratio of 2.4 to 3.2 GPa. Triple defects, consisting of two vacancies with one sublattice and antisite upon other, are specific to intermetallic complexes. To no one’s surprise, high hardness attributes observed for mildly Al- or Ni-rich stoichiometric complexes of Ni52Al and Ni48Al could be explained by the existence of thermally flustered vacancies upon the Al-rich side of stoichiometric NiAl and antisite kinds of deformities for the Ni-rich side of stoichiometric NiAl alloy [41,42].
Hardness deliberations of both stoichiometric and non-stoichiometric composites were also reported by Guard and Westbrook.
- Hardness was found to be lower for stoichiometric compositions than for Al-rich compounds with non-stoichiometric compositions, which had greater hardness values.
- Guard and Westbrook also looked at how hardness changed with temperature for materials of the same composition, finding that measures of hardness were lowest at low temperatures, and highest with a Ni:Al ratio of 3 [43,44].
5.2. Magnetic Properties
Ni3Al is either highly paramagnetic or weakly itinerant ferromagnetic, with Tc (curie temperature) varying as a function of Al content [45,46]. Due to the presence of a larger number of nonmagnetic Al atoms, NiAl, like Ni3Al, is a weekly ferromagnetic material whose magnetic moment diminishes by an upsurge in Al concentration. Whether alloying atoms are located into the Ni site or the Al site has no effect on whether adding Mn and Fe improves the total magnetic moment [47,48].
5.3. Electrical Properties
NiAl’s electrical conductivity at normal temperature is composition dependent. 13 × 106 S/m at stoichiometric composition, but 6 × 106 S/m for Ni and Al-rich near stoichiometric configurations [49,50].
Despite having the same conduction, as-cast specimens were 50% less conductive than homogenized NiAl-Ag alloys. Due to higher Ag solubility into NiAl lattice, alloying with Ag reduces electric conduction at ambient temperatures or above 5 at%. Precipitation and coarsening increase conductivity in homogenized alloys [49,50,51,52,53,54].
5.4. Grain-Boundary Embrittlement
It is noteworthy that single crystals of Ni3Al have a ductile structure, but pure polycrystalline Ni3Al has a brittle structure at an ambient temperature due to intergranular fracture. In traditional materials, brittle intergranular fracture is typically followed by isolation of impurity elements like sulphur, phosphorus, and oxygen, which results in embrittlement at the grain boundaries. However, in sufficiently pure polycrystalline Ni3Al, no evidence of such segregation has been detected. This leads one to believe that grain boundary is intrinsically friable. It is noticed that grain border fragility is linked to both a lack of grain-boundary cohesiveness and environmental fragility. Grain-boundary cohesion absence is connected to differences in the energy ordering, electronegativity, vacancies and size of atoms that exist amongst atomic components that make up the intermetallics. The formation of atomic hydrogen as a result of the interaction of Ni3Al with moisture is what causes grain-boundary embrittlement [55,56,57].
5.5. Creep Behaviour
According to the findings of a few investigations, both single- and polycrystalline Ni3Al exhibits the characteristic “inverse creep” behavior into average temperatures. In this case, creep curves have a transitory primary phase lasting until the 1% strain, and is distinguished with a drop-in strain rate having a rising strain. This stage is trailed with an “inverse” tertiary phase that exhibits increased creep that ultimately leads to failure. These creep curves do not display the steady phase creep stage anywhere in their progression. In the case of samples consisting of a singular crystal, creeping failure is not by the formation of voids but by necking.
In addition, creep studies conducted on single crystals of Ni3Al with 1% Ta content revealed the existence of a steady-state creep stage for all orientations tested. It has been discovered, which is quite fascinating, that the steady-state creep rate of single crystal specimens orientated in a variety of directions scales, having resolved the shear stress of cube cross-slip planes. TEM experiments did show evidence of slip upon octahedral planes while in the primary phase of creep, and upon cube cross-slip planes while in the secondary creep phase. This finding is consistent with what was anticipated [58].
In Mo, Fe, and Co additions increase the proportion of metallic bonds into intermetallic framework of NiAl, hence shifting the electron concentration at the Fermi level. Peierls energy Up and interrelated Peierls hindrance of plastic deforming Rp drop as covalent component of interatomic bonds decreases:
here a: lattice constraint; b: Burgers vector.
Reduction of Rp enhances alloy plasticity and diminishes its strength. Such impact is supported with strong link amongst the microhardness and electronic structural properties of NiAl-based alloys as depicted in Figure 9 [4].
Figure 9.
Correlation between micro-hardness and electronic structure characteristics of alloys on base of NiAl [4]. Reproduced with permission from Elsevier.
Examining the mechanical characteristics of nickel aluminide alloy in strain, compression, and impact toughness yielded the findings depicted in Figure 10. A cold fragility threshold for nickel aluminide compound is, as expected, in the range of a 0.43–0.45 of melting point—Tm. Every sample failed brittle as in tensile tests with temperatures under 500 °C, and high elongation values, following failures, were observed around 450–650 °C. The effect of alloying on NiAl’s brittle/ductile transition temperature is most pronounced in tensile trials [4].
Figure 10.
Elongation of NiAl alloys tested with 400–1200 °C. (1) casting of NiAl; (2) extruded NiAl; (3) NiAl(Mo); (4) NiAl(W); (5) NiAl(Fe); (6) NiAl(Cr); (7) NiAl (Co, B, La) [4]. Reproduced with permission from Elsevier.
6. Impact of Alloying upon Strength and Ductility
When Ni3Al is alloyed with ternary, quaternary, and quinary elements, the oxidation resistance, scale adhesion, capacity to create an Al2O3 scale, and oxidation processes are dramatically altered. The effect of alloying elements is presented in detail in Table 4.
Table 4.
Importance of Alloying elements on Nickel Aluminides [50,51,52,53,54,55,56,57,58,59,60,61,62,63,64,65,66,67,68,69,70].
Table 5 displays the effect of alloying on properties like ductility and strength for nickel aluminide. Compression testing at room temperature represents metal’s soft stress condition. As a result, all of the samples into compression testing demonstrated adequately higher/lower temperature ductility [75,76,77,78].
Table 5.
Effect of alloying on the strength and ductility characteristics of nickel aluminide (compression testing at room temperature) [4,11,19].
When tested in air at room temperature, it was found that adding B to polycrystalline Ni3Al with 25% Al increased its tensile ductility by a lot, so much so that the way it broke changed from intergranular to transgranular [79,80,81,82]. Ni3Al microalloyed with 0.1 wt% B broke with a tensile strain of more than 50% in air [79]. Table 6 shows some of the results of tensile tests that were done on Ni3Al, with and without B in different environments. [79,81,82,83].
Table 6.
Tensile properties of Ni3Al and Ni3Al-B Alloys under different environments [8,10,79,80,81].
Two ideas have been put forward to explain how adding B makes a material more ductile: (i) rise into cohesive strength at the grain boundary due to the addition of B [84,85,86,87] and (ii) slip transferring transversely with grain boundary [88,89,90].
7. Processing of Nickel Aluminides
When deciding on a method of processing, it is important to consider the characteristics of the final product. A coating, for instance, would use a thin-film processing technology, while near-net-shaped bulk materials could benefit more from ingot metallurgy processing, which includes melting and casting, or appropriate powder metallurgy processing. For intermetallics, in order to prevent the oxidation of constituent elements and contamination of the products during processing, which could result in inadequate densification and the production of unwanted or deleterious phases as impurities, vacuum or inert gas conditions are typically recommended. Composites and alloys based on Ni aluminides can be treated with the ingot and powder metallurgical methods. Many commercially viable uses of these alloys have been developed because of their undeniable benefits over “conventional” materials [11,91]. Any material’s microstructure and characteristics rely on how it is processed. As certain intermetallic alloys have complicated crystal structures, their characteristics are affected by stoichiometry, impurities, and defects. The intermetallic compounds have an ordered structure and distinctive chemistry. These alloys must have a certain atomic ratio of elements for a specified crystal structure and mechanical properties. In alloys with a variety of stoichiometry, microstructures and characteristics rely on atomic ratios.
7.1. Melting and Casting
Ni3Al and NiAl have differing melting points, hence special consideration must be given to melting and casting each material. For instance, NiAl has a greater melting point than either Al or Ni individually. Because of the reaction of alloying elements with H and the absence of grain-boundary cohesion, fabrication of Nickel Aluminides by casting was not easily obtained. It was also attempted to employ fluxes for casting. However, this could lead to the creation of brittle compounds that weaken the grain boundary [92] due to reactivity amongst flux components and alloys. Maxwell and Grala [93] were effective in melting and casting in the 31.5–33 wt% Al range, but not the 31.5–34 wt% Al range. For Al contents above 35 wt%, castings failed and alloys shattered completely. Ordnance Research and Development Laboratory (ORNL) developed Exo-Melt casting for such alloys, which makes the advantage of heat reactivity in the efficacious cast of Ni3Al alloy [93,94].
In 1996, ORNL came up with the “Exo-melt” process to lessen these effects [11]. In the process known as ExoMeltTM, the melt stock is divided into numerous sections and then loaded into the furnace in such a way that an extremely exothermal reactivity having higher adiabatic combusting temperature is preferred at the beginning. This results in the production of a molten product (Figure 11). For Ni3Al, forming NiAl is an extremely exothermal process and the melting point of NiAl corresponds to the temperature at which it may be burned in an adiabatic reaction [12,13,14,15,94].
Figure 11.
Exo-melt process [77]. Reused from MDPI under Creative Commons Attribution license.
Furthermore, the Exo-Melt procedure is even helpful into cutting production expenses. It saves about 50% both for energy and timing.
Casting processes like sand, investment, centrifugal casting, respectively, and directional solidifying can all be utilized in the production of aluminides. Other casting methods include directional solidification. Cast aluminides are then subjected to a subsequent processing step.
Utilizing a variety of metal formation procedures like hot extrusion, swaging, forging, flat and bar rolling, cold flat and bar rolling, and cold drawing in tube, rod and wire, all of which contribute to the microstructural refining and augmentation of mechanical characteristics of the metal. For instance, temperature ranging from 1050–1150 °C is used for the hot forging process when alloys of Ni3Al comprising less than 0.3 at.% Zr. It is possible to duce the reactive cast of NiAl-based intermetallic alloys with a mix of Ni and Al or NiCo and Al in liquid in air form, and then allowing the mixture to solidify to form a compound that is either NiAl or NiAl-Co, depending on which compound is desired. This approach was also used to cast the Fe-containing NiAl, and neither the failure of the casting due to cracking nor cracks presence had been recorded.
The hot fabricating of Ni3Al intermetallics is negatively impacted with excess inclusion of Hf and Zr at levels greater than 103, which results in the development of surface fissures and early failure. Both ductileness and strength of nickel aluminides were demonstrated to be improved with adding alloy elements B, Cr, Co, C, and Ce, as well as by the strengthening element TiB2. The majority of nickel aluminide alloys used in the production of products comes from the commercial sector [91,95]. These alloys are used to make bars, wires, sheets, and strips.
A further noteworthy accomplishment was the invention of the casting process utilizing the software known as ProCast (Figure 12a). Because of its lower fluidic nature and shrinking of the material after it has been cast, casting alloys based on Ni3Al can be quite challenging. This fact should be brought to your attention. On the other hand, it was stated that a particular version of the ProCast software makes it possible to cast components that are free of flaws while having a complex shape (Figure 12b) [19,91,92].
Figure 12.
(a) Modeling in ProCast software and (b) actual casting [77]. Reused from MDPI under Creative Commons Attribution license.
7.2. Powder Metallurgy
Processing powder metallurgy can be done through spark plasma sintering, pressure-less sinter, uni/multi-axial hot press, liquid phase-assist or reactive sintering by application or non-application of pressure, or uniaxial or multiaxial hot pressing. Atomization carried out in an environment devoid of oxygen results in the production of aluminide powders such as Ni3Al.
After that, the powders are packed into cans and hot extruded at temperatures ranging from 1100 °C to 1200 °C using a reduction ratio of between 8 and 1. The products that are consequently created from these powder metallurgical procedures often has a tiny grain size as a result of dynamic recrystallization, and as a result, they are able to be molded using superplastic techniques in order to obtain near-net shapes.
7.3. Solid State Sintering
This is a common powder metallurgy process for producing Nickel Aluminide. Longer sintering makes compacts denser and grains increase. If hardness increases during sintering, the Kirkendall effect may make it tougher to obtain full density and good mechanical characteristics as it increases intermetallic phase volume percentage [5,21,24]. Powder metallurgy (P/M) was used to make B-alloyed Ni3Al, and the effect of alloying was studied by adding Fe, Cr, Zr, and Mo while keeping the Al content at 23 at% [24]. The main problems with P/M-processed Ni3Al alloys are their sensitivity to strain rates below 104 s−1 and their microstructures (FCC solid solutions) [5,21,22,23,95].
7.4. Mechanical Alloying
Mechanical alloying also was employed to effectively create nickel aluminides, but it is time-consuming and costly, and unalloyed aluminides are vulnerable to impurity contamination and oxide development. An Ni-containing Al-supersaturated solid solution containing unreacted Ni and Al is the first kind of intermetallic to emerge during mechanical alloying of Ni–Al mixtures. Milling parameters, such as milling duration and power, largely determine the final product’s chemical makeup. To reach intermetallic NiAl, this phase must first be milled into Al3Ni, where it may coexist with Ni3Al and AlNi2 [25,26,27,28,29,30].
7.5. Reaction Synthesis
In this method, the heat from an exothermal reaction amongst Ni and Al is used to make intermetallic. High temperatures, between 500 °C and 750 °C, are applied to contents of a container, while the container is kept under a vacuum [31,95]. During the reaction synthesis process, the reaction is often not complete. The unreacted parts may also make the final product stronger, since intermetallic powders are usually fragile and need more pressure to pack them together. Metallic powder size is an important factor in this process [96].
8. Applications of Nickel Aluminides
Many commercially viable uses of these alloys have been developed because of their undeniable benefits over “conventional” materials. Applications for Ni3Al-based alloys are diverse. This is shown in Table 7. Commercialization of Ni3Al alloys for specified applications is expected to happen very soon, since the degree of research into this material has been significantly higher than that of other aluminides.
Table 7.
Overall Applications of nickel aluminides [80,81,82,83,84,85,86,87,88,89,90,91,92,93,94,95,96,97].
8.1. Nickel Aluminide Coating
Coatings made of nickel-aluminide have received a lot of interest recently because of the fact that they offer a variety of potential applications in technology and science. NiAl has a long history of use as a protective coating for machinery and buildings. Its main purpose is to improve coating adherence, and its secondary purpose is to reduce thermo-mechanical stress at the substrate-coating interface. NiAl’s lengthy history of usage may be attributed to the material’s low density, high melting point, outstanding thermal conductivity, and great oxidizing resilience. [79,80,91].
NiAl coatings’ high-temperature oxidation behavior in moving air is seen around 750 °C and 850 °C, according to previous studies [81,82]. The aerospace industry, along with other high-performance applications, has increased demand for nickel-aluminum alloys and its derivatives. This is because, for certain alloys, an increase in temperature also results in an increase in yield strength. The second major nickel aluminide, Ni3Al, has also been receiving considerable notice of late. Ni3Al is an essential component of NiAl that serves as a stiffening agent, and the two elements together are extensively used for higher temperature structural material for aircraft engines and aerospace applications. [79,80,93]. Table 8 shows the applications and properties of nickel aluminide coatings.
Table 8.
Application and properties of nickel aluminide coating [80,81,82,83,84,85].
8.2. Ni3Al Thin Foils
Ni3Al intermetallics like thin foils and tapes are anticipated in contributing the production of highly advanced tools of MEMS and MECS. This is because Ni3Al possess unique physical and chemical properties in addition to a relatively low weight. A comparison is shown in Figure 13.
Figure 13.
Temperature vs. specific strength for comparing Ni thin foils with other metal alloys [77]. Reused from MDPI under Creative Commons Attribution license.
Ni3Al alloys do, however, have a few drawbacks, the majority of which are related to the fact that they have a lower vulnerability in plastic deforming and higher propensity in getting brittle crack. Because of these disadvantages, the manufacturing sector is unlikely to ever be able to mass-produce components, having a thickness of lesser than 400 µm [53,91]. However, two processing methods have matured to the point that they might be employed in a laboratory setting:
- directional solidifying and cold rolling
- directional crystallization: deliberated upon meticulous deforming of traditional cast of alloys.
Mechanical and electrical components (such as an actuator, a sensor, and a microprocessor) that can withstand their environments are integrated in MEMS and MECS systems, allowing for the fabrication of a device with both controlling and specialized capabilities [91,92,93].
It has been noticed that there is an increase in people’s curiosity into Ni3Al intermetallics with thin foils because these intermetallics have excellent explicit strength, higher environment resistivity, and higher catalyst activities. Additionally, the creation of composite materials has been reported by Ni3Al-based alloys serving as the matrix and being toughened by elements such as TiC, ZrO2, WC, SiC, and graphene [94,95,96,97,98].
Uses of foils and strips made of Ni3Al-based alloys that are extremely promising include those known as MEMS or MECS devices. A comparison in mass gain and hydrogen production is shown in Figure 14 for Ni and Ni3Al foils. It would appear that the creation of microsensors/systems of chemical separators, heat exchanger and micropumps would benefit enormously from the particular qualities that they possess [99,100,101].
Figure 14.
Comparison of production rates of H2 in methanol decomposition of Ni3Al foils and Ni foils [77]. Reused from MDPI under Creative Commons Attribution license.
9. Conclusions
This review paper seeks to improve understanding of the nickel aluminide structure, properties, and applications, as well as their scope, characteristics, advantages, and disadvantages. In addition, current alloy applications were summarized. The effect of alloying elements on phase transformation, mechanical properties, and corrosion was investigated. Furthermore, the most significant barriers to the widespread use of nickel aluminide were considered. To overcome the difficulties faced by alloys, different metal processing method were discussed. Properties and application of thin foil of nickel aluminides were discussed. Finally, characteristics of nickel coating were studied.
Author Contributions
Conceptualization, S.S. (Santosh Sampath) and V.P.R.; methodology, S.S. (Santosh Sampath), S.S. (Srivatsan Sundararajan) and V.P.R.; formal analysis, S.S. (Santosh Sampath); investigation, S.S. (Santosh Sampath), S.S. (Srivatsan Sundararajan) and V.P.R.; resources, S.S. (Santosh Sampath); data curation, V.P.R.; writing—S.S. (Santosh Sampath) and V.P.R.; writing—review and editing, S.S. (Santosh Sampath) and S.S. (Srivatsan Sundararajan); visualization, V.P.R.; supervision, S.S. (Santosh Sampath); project administration, S.S. (Santosh Sampath). All authors have read and agreed to the published version of the manuscript.
Funding
This research received no external funding.
Data Availability Statement
No data was used in this article.
Conflicts of Interest
The authors declare no conflict of interest.
References
- Ward-Close, C.M.; Minor, R.; Doorbar, P.J. Intermetallic-matrix composites—A review. Intermetallics 1996, 4, 229. [Google Scholar] [CrossRef]
- Stoloff, N.S.; Liu, C.T.; Deevi, C.S. Emerging applications of intermetallics. Intermetallics 2000, 8, 1313–1320. [Google Scholar] [CrossRef]
- Sikka, V.K.; Deevi, S.C.; Viswanathan, S.; Swindeman, R.W.; Santella, M.L. Advances in processing of Ni3Al-based intermetallics and applications. Intermetallics 2000, 8, 1329–1337. [Google Scholar] [CrossRef]
- Kovalev, A.I.; Barskaya, R.A.; Wainstein, D.L. Effect of alloying on electronic structure, strength and ductility characteristics of nickel aluminide. Surf. Sci. 2003, 532–535, 35–40. [Google Scholar] [CrossRef]
- Talaş, Ş. Nickel aluminides. In Intermetallic Matrix Composites; Woodhead Publishing: Cambridge, UK, 2018; pp. 37–69. [Google Scholar] [CrossRef]
- Deevi, S.C.; Sikka, V.K.; Liu, C.T. Processing, properties, and applications of nickel and iron aluminides. Prog. Mater. Sci. 1997, 42, 177–192. [Google Scholar] [CrossRef]
- Biswas, A.; Roy, S.K.; Gurumurthy, K.R.; Prabhu, N.; Banerjee, S. A study of self-propagating high-temperature synthesis of NiAl in thermal explosion mode. Acta Mater. 2002, 50, 757–773. [Google Scholar] [CrossRef]
- Smallman, R.E.; Ngan, A.H. Selected Alloys. Modern Physical Metallurgy; Elsevier: Amsterdam, The Netherlands, 2014; pp. 529–569. [Google Scholar] [CrossRef]
- Barrett, C.; Massalski, T.B. Chapter 10—The Structure of Metals and Alloys. In Structure of Metals, 3rd ed.; Pergamon: New York, NY, USA, 1980; pp. 223–269. [Google Scholar]
- Mitra, R. Structural Intermetallics and Intermetallic Matrix Composites, 1st ed.; CRC Press: Boca Raton, FL, USA, 2015. [Google Scholar] [CrossRef]
- Sikka, V.K.; Mavity, J.T.; Anderson, K. Processing of nickel aluminides and their industrial applications. In High Temperature Aluminides and Intermetallics; Elsevier: Amsterdam, The Netherlands, 1992; pp. 712–721. [Google Scholar] [CrossRef]
- Nieh, T.G.; Stephens, J.J.; Wadsworth, J.; Liu, C.T. Chemical compatibility between silicon carbide and a nickel aluminide. In Proceedings of the International Conference on Composite Interfaces, Cleveland, OH, USA, 13–17 June 2018. No. CONF-880671-1. [Google Scholar]
- Liu, C.T.; Sikka, V.K.; Horton, J.A.; Lee, H. Alloy Development and Mechanical Properties of Nickel Aluminide Ni 3Al Alloys, ORNL-6483; Martin Marietta Energy Systems, Inc.; Oak Ridge National Laboratory: Oak Ridge, TN, USA, 1988. [Google Scholar]
- Sikka, V.K. Nickel Aluminides-New Advanced Alloys. Mater. Manufact. Process. 1989, 4, 1–24. [Google Scholar] [CrossRef]
- Sikka, V.K.; Loria, E.A. Nickel Metallurgy, Vol. II, Industrial Applications of Nickel; Canadian Institute of Mining and Metallurgy: Montreal, QC, Canada, 1986; p. 293. [Google Scholar]
- Gosele, U.; Tu, K. Growth kinetics of planar binary diffusion couples: Thin-film case versus bulk cases. J. Appl. Phys. 1982, 53, 3252. [Google Scholar] [CrossRef]
- Tu, K.-N. Interdiffusion in thin films. Annu. Rev. Mater. Sci. 1985, 15, 147–176. [Google Scholar] [CrossRef]
- Yang, J.-M.; Kao, W.H.; Liu, C.T. Development of nickel aluminide matrix composites. Mater. Sci. Eng. A 1989, 107, 81–91. [Google Scholar] [CrossRef]
- Deevi, S.C.; Sikka, V.K. Nickel and iron aluminides: An overview on properties, processing, and applications. Intermetallics 1996, 4, 357–375. [Google Scholar] [CrossRef]
- Sikka, V.K.; Santella, M.L.; Orth, J.E. Processing and operating experience of Ni3Al-based intermetallic alloy IC-221M. Mater. Sci. Eng. A 1997, 239–240, 564–569. [Google Scholar] [CrossRef]
- Miracle, D.B. Overview No. 104 The physical and mechanical properties of NiAl. Acta Metall. Mater. 1993, 41, 649–684. [Google Scholar] [CrossRef]
- Godlewska, E.; Mitoraj, M.; Leszczynska, K. Hot corrosion of Ti–46Al–8Ta (at.%) intermetallic alloy. Corros. Sci. 2014, 78, 63–70. [Google Scholar] [CrossRef]
- Wu, Y.T.; Li, C.; Li, Y.F.; Wu, J.; Xia, X.C.; Liu, Y.C. Effects of heat treatment on the microstructure and mechanical properties of Ni3Al-based superalloys: A review. Int. J. Miner. Metall. Mater. 2021, 28, 553–566. [Google Scholar] [CrossRef]
- Tiwari, R.; Tewari, S.N.; Asthana, R.; Garg, A. Mechanical properties of extruded dual-phase NiAl alloys. J. Mater. Sci. 1995, 30, 4861–4870. [Google Scholar] [CrossRef]
- Choudry, M.S.; Dollar, M.; Eastman, J.A. Nanocrystalline NiAl-processing, characterization and mechanical properties. Mater. Sci. Eng. A 1998, 256, 25–33. [Google Scholar] [CrossRef]
- Cammarota, G.P.; Casagrande, A. Effect of ternary additions of iron on microstructure and microhardness of the intermetallic NiAl in reactive sintering. J. Alloys Compd. 2004, 381, 208–214. [Google Scholar] [CrossRef]
- Guo, J.T.; Du, X.H.; Zhou, L.Z. Preparation of nanocrystalline NiAl compounds and composites by mechanical alloying. In Materials Science Forum; Trans Tech Publications Ltd.: Wollerau, Switzerland, 2005; Volume 475, pp. 749–754. [Google Scholar]
- Pabi, S.K.; Murty, B.S. Mechanism of mechanical alloying in NiAl and CuZn systems. Mater. Sci. Eng. A 1996, 214, 146–152. [Google Scholar] [CrossRef]
- Kubaski, E.T.; Cintho, O.M.; Antoniassi, J.L.; Kahn, H.; Capocchi, J.D.T. Obtaining NiAl intermetallic compound using different milling devices. Adv. Powder. Technol. 2012, 23, 667–672. [Google Scholar] [CrossRef]
- Ying, D.Y.; Zhang, D.L. Effect of high energy ball milling on solid state reactions in Al–25 at.-%Ni powders. Mater. Sci. Technol. 2001, 17, 815–822. [Google Scholar] [CrossRef]
- German, R.M.; Bose, A.; Sims, D. Production of reaction sintered nickel aluminide material. U.S. Patent 4,762,558, 9 August 1988. [Google Scholar]
- McCoy, K.P.; Shaw, K.G.; Trogolo, J.A. Analysis of residual phases in nickel aluminide powders produced by reaction synthesis. In MRS Fall Meeting-Symposium L—High- Temperature Ordered Intermetallic Alloys V; Materials Research Society: Warrendale, PA, USA, 1992; Volume 288, pp. 909–914. [Google Scholar]
- Liu, H.C.; Mitchell, T.E. Irradiation induced order-disorder in Ni3Al and NiAl. Acta Metall. 1983, 31, 863–872. [Google Scholar] [CrossRef]
- Chen, G.; Ni, X.; Nsongo, T. Lattice parameter dependence on long-range ordered degree during order–disorder transformation. Intermetallics 2004, 12, 733–739. [Google Scholar] [CrossRef]
- Bradley, A.J.; Taylor, A. Electric and magnetic properties of B2 structure compounds: NiAl, CoAl. Proc. R. Soc. 1937, 159A, 56–72. [Google Scholar]
- Foiles, S.M.; Daw, M.S. Application of the embedded atom method to Ni3Al. J. Mater. Res. 1987, 2, 5–15. [Google Scholar] [CrossRef]
- Pike, L.M.; Chang, Y.A.; Liu, C.T. Point defect concentrations and hardening in binary B2 intermetallics. Acta Mater. 1997, 45, 3709–3719. [Google Scholar] [CrossRef]
- Fleischer, R.L. High-strength, high-temperature intermetallic compounds. J. Mater. Sci. 1987, 22, 2281–2288. [Google Scholar] [CrossRef]
- Nagpal, P.; Baker, I. Effect of cooling rate on hardness of FeAl and NiAl. Metal Trans. A 1990, 21, 2281–2282. [Google Scholar] [CrossRef]
- Westbrook, J. Temperature dependence of hardness of the equi-atomic iron group alu- minides. J. Electrochem. Soc. 1956, 103, 54–63. [Google Scholar] [CrossRef]
- Kogachi, M.; Minamigawa, S.; Nakahigashi, K. Determination of long range order and vacancy content in the NiAl β′-phase alloys by x-ray diffractometry. Acta Metall. Mater. 1992, 40, 1113–1120. [Google Scholar] [CrossRef]
- Cahn, R.W. Lattice parameter changes on disordering intermetallics. Intermetallics 1999, 7, 1089–1094. [Google Scholar] [CrossRef]
- Talaş, Ş.; Göksel, O. Characterization of TiC and TiB2 reinforced Nickel Aluminide (NiAl) based metal matrix composites cast by in situ vacuum suction arc melting. Vacuum 2020, 172, 109066. [Google Scholar] [CrossRef]
- Guard, R.W.; Westbrook, J.H. The alloying behavior of Ni3Al. Trans. Metall. Soc. AIME 1959, 215, 807–814. [Google Scholar]
- De Boer, F.R.; Schinkel, C.J.; Biesterbos, J.; Proost, S.; Ning, B.; Weaver, M.L. Exchange-enhanced paramagnetism and weak ferromagnetism in the Ni3Al and Ni3Ga phases: Giant moment inducement in Fe-doped Ni3Ga. J. Appl. Phys. 1969, 40, 1049–1055. [Google Scholar] [CrossRef]
- Sasakura, H.; Suzuki, K.; Masuda, Y. Curie temperature in itinerant electron ferromagnetic Ni3Al system. J. Phys. Soc. Jpn. 1984, 53, 754–759. [Google Scholar] [CrossRef]
- Manga, V.R.; Saal, J.E.; Wang, Y.; Crespi, V.H.; Liu, Z.-K. Magnetic perturbation and associated energies of the antiphase boundaries in ordered Ni3Al. J. Appl. Phys. 2010, 108, 103509. [Google Scholar] [CrossRef]
- Lazar, P.; Podloucky, R. Ductility and magnetism: An ab-initio study of NiAl–Fe and NiAl–Mn alloys. Intermetallics 2009, 17, 675–679. [Google Scholar] [CrossRef]
- Zhou, J.; Guo, J.T. Effect of Ag alloying on microstructure, mechanical and electrical properties of NiAl intermetallic compound. Mater. Sci. Eng. A 2003, 339, 166–174. [Google Scholar] [CrossRef]
- Terada, Y.; Ohkubo, K.; Mohri, T.; Suzuki, T. Thermal conductivity of intermetallic com- pounds with metallic bonding. Mater. Trans. 2002, 43, 3167–3176. [Google Scholar] [CrossRef]
- Liu, C.; White, C.; Horton, J. Effect of boron on grain-boundaries in Ni3Al†. Acta Metall. 1985, 33, 213–229. [Google Scholar] [CrossRef]
- Doychak, J.; Nesbitt, J.A.; Noebe, R.D.; Bowman, R.R. Oxidation of A12O3 continuous fiber-reinforced/NiAl composites. Oxid. Met. 1992, 38, 45–72. [Google Scholar] [CrossRef]
- Shigeji, T.; Shibata, T. Oxidation behavior of Ni2Al-0.1 B containing 2Cr. Oxid. Met. 1987, 28, 155–163. [Google Scholar]
- Pan, Y.C.; Chuang, T.H.; Yao, Y.D. Long-term oxidation behaviour of Ni3Al alloys with and without chromium additions. J. Mater. Sci. 1991, 26, 6097–6103. [Google Scholar] [CrossRef]
- Liu, C.T.; Stiegler, J.O. Ductile ordered intermetallic alloys. Science 1984, 226, 636–642. [Google Scholar] [CrossRef]
- Shigeji, T.; Shibata, T. Cyclic oxidation behavior of Ni3Al-0.1 B base alloys containing a Ti, Zr, or Hf addition. Oxid. Met. 1986, 25, 201–216. [Google Scholar]
- Guo, J.; Sun, C.; Li, H.; Guan, H. Correlation between oxidation behaviour and boron content in Ni3Al. Chin Shu Hsueh Pao 1989, 25. [Google Scholar]
- Yuan, Z.; Song, S.; Faulkner, R.G.; Yu, Z. Combined effects of cerium and boron on the mechanical properties and oxidation behaviour of Ni3Al alloy. J. Mater. Sci. 1988, 33, 463–469. [Google Scholar] [CrossRef]
- Wood, G.C.; Stott, F.H. Oxidation of alloys. Mater. Sci. Technol. 1987, 3, 519–530. [Google Scholar] [CrossRef]
- Dongyun, L. Effects of solution heat treatment on the microstructure, oxidation, and mechanical properties of a cast Ni3Al-based intermetallic alloy. Met. Mater. Int. 2006, 12, 153–159. [Google Scholar]
- Hippsley, C.A.; Strangwood, M.; DeVan, J.H. Effects of chromium on crack growth and oxidation in nickel aluminide. Acta Metall. Et Mater. 1990, 38, 2393–2410. [Google Scholar] [CrossRef]
- Wagner, C. Passivity and inhibition during the oxidation of metals at elevated temperatures. Corros. Sci. 1965, 5, 751–764. [Google Scholar] [CrossRef]
- Zhai, W.; Shi, X.; Yao, J.; Ibrahim, A.M.M.; Xu, Z.; Zhu, Q.; Xiao, Y.; Chen, L.; Zhang, Q. Investigation of mechanical and tribological behaviors of multilayer graphene reinforced Ni3Al matrix composites. Compos. Part B Eng. 2015, 70, 149–155. [Google Scholar] [CrossRef]
- Kear, B.H.; Pettit, F.S.; Fornwalt, D.E.; Lemaire, L.P. On the transient oxidation of a Ni-15Cr-6Al alloy. Oxid. Met. 1971, 3, 557–569. [Google Scholar] [CrossRef]
- Choi, S.C.; Cho, H.J.; Lee, D.B. Effect of Cr, Co, and Ti additions on the high-temperature oxidation behavior of Ni3Al. Oxid. Met. 1996, 46, 109–127. [Google Scholar] [CrossRef]
- Kainuma, R.; Ohtani, H.; Ishida, K. Effect of alloying elements on martensitic transformation in the binary NiAl (β) phase alloys. Metall. Mater. Trans. A 1996, 27, 2445–2453. [Google Scholar] [CrossRef]
- Matsuura, K.; Kitamura, T.; Kudoh, M.; Itoh, Y. Changes in Microstructure and Mechanical Properties during Solid Sintering of Ni–Al Mixed Powder Compact. Mater. Trans. JIM 1996, 37, 1067–1072. [Google Scholar] [CrossRef]
- Black, R.; Carolan, R.; Li, C.-Y.; Sikka, V.K.; Liu, C.T. Load relaxation studies of grain boundary effects in two Ni3Al alloys at elevated temperatures. Scr. Metall. 1987, 21, 1675–1680. [Google Scholar] [CrossRef]
- Wright, R.N.; Sikka, V.K. Elevated temperature tensile properties of powder metallurgy Ni3Al alloyed with chromium and zirconium. J. Mater. Sci. 1988, 23, 4315–4318. [Google Scholar] [CrossRef]
- Ko, H.; Hong, K.T.; Kaufmann, M.J.; Lee, K.S. The effect of long range order on the ac- tivation energy for atomic migration in NiAl alloys: Resistivity study. J. Mater. Sci. 2002, 37, 1915–1920. [Google Scholar] [CrossRef]
- Cardellini, F.; Mazzone, G.; Montone, A.; Antisari, M.V. Solid state reactions between Ni and Al powders induced by plastic deformation. Acta Met. Mater. 1994, 42, 2445–2451. [Google Scholar] [CrossRef]
- Ivanov, E.; Grigorieva, T.; Golubkova, G.; Boldyrev, V.; Fasman, A.B.; Mikhailenko, S.D.; Kalinina, O.T. Synthesis of nickel aluminides by mechanical alloying. Mater. Lett. 1988, 7, 51–54. [Google Scholar] [CrossRef]
- Coreño Alonso, O.; Cabañas-Moreno, J.G.; Cruz-Rivera, J.J.; Florez-Diaz, G.; De Ita, A.; Quintana-Molina, S.; Falcony, C. Al-Ni intermetallics produced by spontaneous reaction during milling. J. Metastab. Nanocryst. Mater. 2000, 343–346, 290–295. [Google Scholar]
- Kuenzly, J.D.; Douglass, D.L. The oxidation mechanism of Ni3Al containing yttrium. Oxid. Met. 1974, 8, 139–178. [Google Scholar] [CrossRef]
- Orth, J.E.; Sikka, V.K. Commercial casting of nickel aluminide alloys. Adv. Mater. Processes 1995, 148. [Google Scholar]
- Sikka, V.K.; Wilkening, D.; Liebetrau, J.; Mackey, B. Melting and casting of FeAl-based cast alloy. Mater. Sci. Eng. A 1998, 258, 229–235. [Google Scholar] [CrossRef]
- Jozwik, P.; Polkowski, W.; Bojar, Z. Applications of Ni3Al Based Intermetallic Alloys—Current Stage and Potential Perceptivities. Materials 2015, 8, 2537–2568. [Google Scholar] [CrossRef]
- Hirano, T.; Demura, M.; Kishida, K.; Hong, H.U.; Suga, Y. Mechanical properties of cold-rolled thin foils of Ni3Al. In Proceedings of the 3rd International Symposium on Structural Intermetallics, Jackson Hole, WY, USA, 23–27 September 2001; pp. 765–774. [Google Scholar]
- Schafrik, R.E. A perspective on intermetallic commercialization for aero-turbine applications. In Proceedings of the 3rd International Symposium on Structural Intermetallics, Jackson Hole, WY, USA, 23–27 September 2001; pp. 13–17. [Google Scholar]
- Han, Y.F.; Chen, R.Z. R&D of cast superalloys and processing for gas turbine blades in BIAM. Acta Metall. Sin. 1996, 9, 457–463. [Google Scholar]
- Malik, A.U.; Ahmad, R.; Ahmad, S.; Ahmad, S. High temperature oxidation behaviour of nickel aluminide coated mild steel. Anti-Corros. Methods Mater. 1991, 38, 4–10. [Google Scholar] [CrossRef]
- Dey, G.K. Physical metallurgy of nickel aluminides. Sadhana 2003, 28, 247–262. [Google Scholar] [CrossRef]
- Brandl, W.; Marginean, G.; Maghet, D.; Utu, D. Effects of specimen treatment and surface preparation on the isothermal oxidation behaviour of the HVOF-sprayed MCrAlY coatings. Surf. Coat. Technol. 2004, 188–189, 20–26. [Google Scholar] [CrossRef]
- Hsiung, L.; Stoloff, N. Point defect model for fatigue crack initiation in Ni3Al+B single crystals. Acta Metall. Et Mater. 1990, 38, 1191–1200. [Google Scholar] [CrossRef]
- Sglavo, V.M.; Marino, F.; Zhang, B.-R. The preparation and mechanical properties of Al2O3/ Ni3Al composites. Compos. Sci. Technol. 1999, 59, 1207–1212. [Google Scholar] [CrossRef]
- Gao, M.X.; Oliveira, F.J.; Pan, Y.; He, Y.; Jiang, E.B.; Baptista, J.L.; Vieira, J.M. The oxidation behaviour of TiC matrix Ni3Al and Fe40Al toughened composites at high temperatures. Mater Sci. Forum 2006, 514–516, 657–661. [Google Scholar] [CrossRef]
- Xu, Y.; Kameoka, S.; Kishida, K.; Demura, M.; Tsai, A.-P.; Hirano, T. Catalytic properties of Ni3Al intermetallics for methanol decomposition. Mater. Trans. 2004, 45, 3177–3179. [Google Scholar] [CrossRef]
- Darolia, R.; Walston, E.S.; Noebe, R.; Garg, A.; Oliver, B.F. Mechanical properties of high purity single crystal NiAl. Intermetallics 1999, 7, 1195–1202. [Google Scholar] [CrossRef]
- Ebrahimi, F.; Hoyle, T.G. Brittle-to-ductile transition in polycrystalline NiAl. Acta Mater. 1997, 45, 4193–4204. [Google Scholar] [CrossRef]
- Gehling, M.G.; Vehoff, H. Computation of the fracture stress in notched NiAl-polycrystals. Mater. Sci. Eng. A 2002, 329–331, 255–261. [Google Scholar] [CrossRef]
- Kinsey, H.V.; Stewart, M.T. Nickel Aluminium-Molybdenum alloys for service at elevated temperatures. Trans. Am. Soc. Metals 1951, 43, 193–219. [Google Scholar]
- Maxwell, W.A.; Grala, P.F. Investigation of Nickel Aluminium Alloys Containing from 14 to 34 Percent Aluminium; NASA technical note, 3259; NASA: Washington, DC, USA, 1954. [Google Scholar]
- Sikka, V.K.; Deevi, S.C.; Vought, J.D. Exo-Melt: A commercially viable process. Adv. Mater. Process 1995, 147, 29–31. [Google Scholar]
- Deevi, S.; Sikka, V.K. Exo-Melt process for melting and casting of intermetallics. Intermetallics 1997, 5, 17–27. [Google Scholar] [CrossRef]
- Chaithanya, M. Processing and Characterization of Ni-Al Coating on Metal Substrates. Master’s Thesis, National Institute of Technology, Rourkela, India, 2007. [Google Scholar]
- Xanthopoulou, G.; Marinou, A.; Vekinis, G.; Lekatou, A.; Vardavoulias, M. Ni-Al and NiO-Al Composite Coatings by Combustion-Assisted Flame Spraying. Coatings 2014, 4, 231–252. [Google Scholar] [CrossRef]
- Hirano, T.; Demura, M.; Kishida, K. Method for Manufacturing Ni3Al Alloy Foil. JP2. Patent No. 003,034,832, 7 February 2003. [Google Scholar]
- Demura, M.; Suga, Y.; Umezawa, O.; Kishida, K.; George, E.P.; Hirano, T. Fabrication of Ni3Al thin foil by cold-rolling. Intermetallics 2001, 9, 157–167. [Google Scholar] [CrossRef]
- Demura, M.; Kishida, K.; Suga, Y.; Takanashi, M.; Hirano, T. Fabrication of thin Ni3Al foils by cold rolling. Sci. Mater. 2002, 47, 267–272. [Google Scholar] [CrossRef]
- Intermetallic Compound. Encyclopedia Britannica. Available online: http://www.britannica.com/EBchecked/topic/290430/intermetallic-compound (accessed on 2 January 2015).
- Varin, R.A. Intermetallics: Crystal structures. Encycl. Mater. Sci. Technol. 2011, 4177–4180. [Google Scholar]
Disclaimer/Publisher’s Note: The statements, opinions and data contained in all publications are solely those of the individual author(s) and contributor(s) and not of MDPI and/or the editor(s). MDPI and/or the editor(s) disclaim responsibility for any injury to people or property resulting from any ideas, methods, instructions or products referred to in the content. |
© 2023 by the authors. Licensee MDPI, Basel, Switzerland. This article is an open access article distributed under the terms and conditions of the Creative Commons Attribution (CC BY) license (https://creativecommons.org/licenses/by/4.0/).















