Synthesis of Bivalent Ni(II), Cu(II) and Zn(II) Complexes of Azodicarbonamide in Mixture of Methanol and Aqueous Solvents: Spectral Characterizations and Anti-Microbial Studies
Abstract
1. Introduction
2. Materials and Methods
2.1. Equipment’s
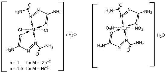
2.2. Synthesis of Azodicarbonamide Systems
2.3. Anti-Microbial Assay
3. Result and Discussion
3.1. Elemental and Conductance Data and Magnetic Moment
3.2. Magnetic Properties
3.3. IR Spectra of Azodicarbonamide and Its Complexes
3.4. Thermal Studies
3.5. Electronic Spectral Measurements
3.6. Optical Band Gap Energy
3.7. Mass Spectra of the Azodicarbonamide and Its Metal Complex
3.8. Biological Activity: Antibacterial Screening
3.9. Computational Studies
- The bond lengths of azodicarbonamide moiety show significant change upon complexation. The remarkable changes were observed for the C(4)-N(1), C(3)-N(2), N(1)-N(2), C(4)-O(5), and O(6)-C(3) bond lengths, which are elongated or shortened depending on the coordination with metal ions [48].
- The bond angles in the Ni-complex are quite near to its octahedral geometry, predicting sp3d2 or d2sp3 hybridization [49]. The Cu-complex shows a distorted Oh geometry. However, the bond angles in the Zn-complex predict the hexagonal environment around the Zn metal ion.
- The C(4)-O(5) and C(3)-O(6) bond distances of the carbonyl group in azodicarbonamide are slightly elongated due to the formation of a strong M-O bond which makes the C-O bond weaker [50].
- The bond distances of Ni-O and Cu-O in Ni- and Cu-complexes are shorter than that of Zn-O in the Zn-complex, reflecting the greater strength of the Ni-N and Cu-N bonds. The bond distances of Ni-N and Cu-N in Ni- and Cu-complexes are shorter than that of Zn-N in the Zn-complex, reflecting the greater strength of Ni-N and Cu-N bonds.
- The data recorded in Table 10 reveals some quantum chemical parameters, including the energies of frontier molecular orbitals (EHOMO, ELUMO), the energy band gap (EH-EL), electronegativity (), chemical potential (), global hardness (), global softness (), and global electrophilicity index (), that have been computed according to the following equations [51,52,53].
- The σ = 1/ calculated energy band gap for azodicarbonamide is 1.775 eV higher than that of the corresponding metal complexes. In addition, the ΔEH-L value for the Ni-complex is the smallest—ΔEH-L = 0.957 eV—which is in a good agreement with the experimental data.
- The energetic parameters (total energy, binding energy, and dipole moment) have been computed and listed in Table 11. The higher negative values of the binding and total energies for azodicarbonamide complexes indicate the higher stability of the prepared metal compounds compared to that of azodicarbonamide molecule.
4. Conclusions
Supplementary Materials
Author Contributions
Funding
Data Availability Statement
Acknowledgments
Conflicts of Interest
References
- Xu, C.; Sun, C.; Wan, H.; Tan, H.; Zhao, J.; Zhang, Y. Microstructure and physical properties of poly(lactic acid)/polycaprolactone/rice straw lightweight bio-composite foams for wall insulation. Constr. Build. Mater. 2022, 354, 129216. [Google Scholar] [CrossRef]
- Lei, W.; Wang, D.; Li, Y.; Li, K.; Liu, Q.; Wang, P.; Feng, W.; Liu, Q.; Yang, X. High temperature resistant polymer foam based on bi-functional benzoxazine-phthalonitrile resin. Polym. Degrad. Stab. 2022, 201, 110003. [Google Scholar] [CrossRef]
- Liu, B.; Essawy, H.; Deng, S.; Zhao, C.; Du, G.; Hou, D.; Zhou, X.; Zhang, J. High performance bio-based gelatinized starch-furanic resin derived foam reinforced by microcrystalline cellulose. Ind. Crop. Prod. 2022, 194, 116282. [Google Scholar] [CrossRef]
- Douibi, L.; Gouissem, M.; Guessoum, D. Benachour. Synergic Effect of a combined use of two Chemical Blowing Agents on the Foaming Efficiency of an Extruded Rigid PVC Compound. Int. J. Eng. Technol. Sci. 2014, 14, 60. [Google Scholar]
- Sims, G.L.A.; Jaafar, H.A.S. A Chemical Blowing Agent System (CBAS) Based on Azodicarbonamide. J. Cell. Plast. 1994, 30, 175–188. [Google Scholar] [CrossRef]
- Krutko, I.; Danylo, I.; Kaulin, V. Kinetics of Azodicarbonamide decomposition in the presence of an initiator for obtaining solid foams. Vopr. Khimii Khimicheskoi Tekhnologii 2019, 1, 26–34. [Google Scholar]
- Bryden, J.H. The crystal structure of azodicarbonamide. Acta Crystallogr. 1961, 14, 61–63. [Google Scholar] [CrossRef]
- Bohloulbandi, E.; Aval, P.A. Study on Catalytic Synthesis of Azodicarbonamide with Hydrogen Peroxide as a Green Oxidant. Int. J. New Chem. 2021, 8, 356–364. [Google Scholar]
- Williams, M.; McEwan, W.; Henry, A.R. the heats of combustion of substituted triazoles, tetrazoles and related high nitrogen compounds. J. Phys. Chem. 1957, 61, 261–267. [Google Scholar] [CrossRef]
- Beghin, A.S.; Ooms, N.; Hooyberghs, K.; Coppens, E.; Pareyt, B.; Brijs, K.; Delcour, J.A. The influence of varying levels of molecular oxygen on the functionality of azodicarbonamide and ascorbic acid during wheat bread making. Food Res. Int. 2022, 161, 111878. [Google Scholar] [CrossRef]
- Gao, J.; Guo, Y.; Yan, R.; Liang, J.; Yang, D. Mechanism differences between reductive and oxidative dough rheology improvers in the formation of 1D and 3D gluten network. Biomaterials 2022, 280, 121275. [Google Scholar] [CrossRef] [PubMed]
- Rahman, M.M.; Ohm, J.-B.; Simsek, S. Clean-label breadmaking: Size exclusion HPLC analysis of proteins in dough supplemented with additives vs hard red spring wheat flour. J. Cereal Sci. 2022, 104, 103426. [Google Scholar] [CrossRef]
- Ali Saki, A.-M.T. Influence of Rigid Polyvinylchloride Composites Composition on the Kinetics of Foaming by Azodicarbonamide. Ph.D. Thesis, Moscow State University of Fine Chemical Technologies, Moscow, Russia, 2016. (In Russian). [Google Scholar]
- Vasin, A.Y.; Makarov, G.V.; Marinina, L.K.; Yakusheva, Z.A. Kinetics of thermal decomposition of azo compounds. Izv. Vuzov SSSR Khimiya Khimicheskaya Tekhnologiya 1980, 23, 1070–1074. [Google Scholar]
- Gmyzina, R.N.; Mishina, I.M.; Pugacheva, L.A. Blowing Agents for PVC Foams; Niiehkhim Publishers: Moscow, Russia, 1984; p. 42. (In Russian) [Google Scholar]
- Barry, A.L. The Antimicrobial Susceptibility Test, Principles and Practices; Lea & Febiger: Philadeliphia, PA, USA, 1976; p. 180. [Google Scholar]
- Bauer, A.W.; Kirby, W.M.M.; Sherris, J.C.; Turck, M. Antibiotic susceptibility testing by a standardized single disk method. Am. J. Clin. Pathol. 1966, 45, 493–496. [Google Scholar] [CrossRef]
- Xie, Y.; Li, P.; Zhang, J.; Wang, H.; Qian, H.; Yao, W. Comparative studies by IR, Raman, and surface-enhanced Raman spectroscopy of azodicarbonamide, biurea and semicarbazide hydrochloride. Spectrochim. Acta Part A Mol. Biomol. Spectrosc. 2013, 114, 80–84. [Google Scholar] [CrossRef]
- Nesterenko, A.M.; Savitskas, V.I.; Polumbrik, O.M.; Markovskii, L.N. Quantum-chemical study of electronic structure and enthalpy of decomposition of azodicarbonamide. Theor. Exp. Chem. 1983, 18, 480–484. [Google Scholar] [CrossRef]
- Lee, C.; Park, S.-K.; Min, K.-C.; Kim, Y.-S.; Lee, N.-S. Vibrational Analysis and Intermolecular Hydrogen Bonding of Azodicarbonamide in the Pentamer Cluster. Bull. Korean Chem. Soc. 2008, 29, 1951–1959. [Google Scholar]
- Chen, Z.; Wu, Y.; Gu, D.; Gan, F. Spectroscopic, and thermal studies of some new binuclear transition metal(II) complexes with hydrazone ligands containing acetoacetanilide and isoxazole. J. Spectrochim. Acta Part A 2007, 68, 918–926. [Google Scholar] [CrossRef]
- Padole-Gaikwad, G.S.; Bagade, R.D.; Chaudhary, R.G.; Gharpure, M.P.; Juneja, H. Construction offive new coordination polymers based on maloyl-5-bis-2-aminobenzothiazole: Synthesis, structural, thermal and non-isothermal kinetics. J. Chin. Adv. Mater. Soc. 2017, 5, 118–132. [Google Scholar] [CrossRef]
- Bhatti, A.S.; Dollimore, D. The effects of additives on the thermal decomposition of azodicarbonamide. Thermochim. Acta 1984, 76, 273–286. [Google Scholar] [CrossRef]
- Quinn, S. Chemical blowing agents: Providing production, economic and physical improvements to a wide range of polymers. Plast. Addit. Compd. 2001, 3, 16–21. [Google Scholar] [CrossRef]
- Reyes-Labarta, J.A.; Marcilla, A. Kinetic study of the decompositions involved in the thermal degradation of commercial azodicarbonamide. J. Appl. Polym. Sci. 2007, 107, 339–346. [Google Scholar] [CrossRef]
- Levai, G.; Nyitrai, Z.S.; Meszlenyi, G. The kinetics and mechanism of the thermal decomposition of azodicarbonamide in polyethylene. II. The effect of zinc oxide. ACH Model. Chem. 1999, 136, 245–264. [Google Scholar]
- Bhatti, A.S.; Dollimore, D.; Goddard, R.J.; O’Donnell, G. The thermal decomposition of azodicarbonamide. Thermochim. Acta 1984, 76, 63–77. [Google Scholar] [CrossRef]
- Reyes-Labarta, A.; Marcilla, A. Thermal Treatment and Degradation of Cross-Linked Ethylene Vinyl Acetate-Polyethylene-Azodicarbonamide-ZnO Foams. Complete Kinetic Modeling and Analysis. Ind. Eng. Chem. Res. 2012, 51, 9515–9530. [Google Scholar] [CrossRef]
- Asgari, A.; Ghani, K.; Keshavarz, M.H. Investigating the effect of copper(II) coordination compound with azodicarbonamide ligand on the phase-stabilization of ammonium nitrate. J. Inorg. Gen. Chem. 2018, 17, 410. [Google Scholar] [CrossRef]
- Fierro, C.M.; Smith, P.D.; Horton, P.N.; Hursthouse, M.B.; Light, M.E. Synthesis and structures of mono and binuclear nickel(II) thiolate complexes of a dicompartmental pseudo-macrocycle with N(imine)2S2 and N(oxime)2S2 metal-binding sites. Inorg. Chim. Acta 2011, 368, 257–262. [Google Scholar] [CrossRef]
- Lever, A.B.P. Inorganic Electronic Spectroscopy; Elsevier: Amsterdam, The Netherlands, 1984. [Google Scholar]
- Rashad, M.M.; Hassan, A.M.; Nassar, A.M.; Ibrahim, N.M.; Mourtada, A. A new nano-structured Ni(II) Schiff base complex: Synthesis, characterization, optical band gaps, and biological activity. Appl. Phys. A 2013, 117, 877. [Google Scholar] [CrossRef]
- Tauc, J. Optical properties and electronic structure of amorphous Ge and Si. J. Mater. Res. Bull. 1968, 3, 37–46. [Google Scholar] [CrossRef]
- Karipcin, F.; Dede, B.; Caglar, Y.; Hur, D.; Ilican, S.; Caglar, M.; Sahin, Y. A New Dioxime Ligand and Its Trinuclear Copper (II) Complex: Synthesis, Characterisation and Optical Properties. Opt. Commun. 2007, 272, 131–137. [Google Scholar] [CrossRef]
- Turan, N.; Gündüz, B.; Körkoca, H.; Adigüzel, R.; Çolak, N.; Buldurun, K. Study of Structure and Spectral Characteristics of the Zinc(II) and Copper(II) Complexes with 5,5-Dimethyl-2-(2-(3-nitrophenyl) hydrazono) cyclohexane-1,3-dione and Their Effects on Optical Properties and the Developing of the Energy Band Gap and Investigation of Antibacterial Activity. J. Mex. Chem. Soc. 2014, 58, 65–75. [Google Scholar]
- Sengupta, S.K.; Pandey, O.P.; Srivastava, B.K.; Sharma, V. Trends in Structural Mechanics: Theory, Practice. Transit. Met. Chem. 1998, 23, 349. [Google Scholar] [CrossRef]
- Fu, M.-L.; Guo, G.-C.; Liu, X.; Liu, B.; Cai, L.-Z.; Huang, J.-S. Syntheses, structures and properties of three selenoarsenates templated by transition metal complexes. Inorg. Chem. Commun. 2005, 8, 18–21. [Google Scholar] [CrossRef]
- Sisman, I.; Basoglu, A. Effect of Se content on the structural, morphological and optical properties of Bi2Te3−ySey thin films electrodeposited by under potential deposition technique. Mater. Sci. Semicond. Process. 2016, 54, 57. [Google Scholar] [CrossRef]
- Urbach, F. The Long-Wavelength Edge of Photographic Sensitivity and of the Electronic Absorption of Solids. Phys. Rev. 1953, 92, 1324. [Google Scholar] [CrossRef]
- Stadler, R.H.; Mottier, P.; Guy, P.; Gremaud, E.; Varga, N.; Lallji, S.; Whitaker, R.; Kintscher, J.; Dudler, V.; Read, W.A.; et al. Semicarbazide is a minor thermal decomposition product of bazodicarbonamide used in the gaskets of certain food jars. Analyst 2004, 129, 276–281. [Google Scholar] [CrossRef]
- Pettit, L. (University of Leeds, Leeds, UK). Personal Communication, 1993.
- Delley, B. A Scattering Theoretic Approachto Scalar Relativistic Correctionson Bonding. Int. J. Quantum Chem. 1998, 69, 423–433. [Google Scholar] [CrossRef]
- Delley, B. From molecules to solids with the DMol3 approach. J. Chem. Phys. 2000, 113, 7756–7764. [Google Scholar] [CrossRef]
- Kessi, A.; Delley, B. Density functional crystal vs. cluster models as applied to zeolites. Int. J. Quantum Chem. 1998, 68, 135–144. [Google Scholar] [CrossRef]
- Materials Studio; Version 2020; Accelrys Software Inc.: San Diego, CA, USA, 2019.
- Hehre, W.J.; Radom, L.; Schlyer, P.V.R.; Pople, J.A. AB Initio Molecular Orbital Theory; Wiley: New York, NY, USA, 1986; ISBN 978-0-471-81241-8. [Google Scholar]
- Hammer, B.; Hansen, L.B.; Nrskov, J.K. Improved adsorption energetics within density-functional theory using revised Perdew-Burke-Ernzerhof functionals. Phys. Rev. B 1999, 59, 7413–7421. [Google Scholar] [CrossRef]
- West, D.X.; Swearingen, J.K.; Valdes-Martınez, J.; Hernandez-Ortega, S.; El-Sawaf, A.K.; van Meurs, F.; Castineiras, A.; Garcia, I.; Bermejo, E. Spectral and structural studies of iron(III), cobalt(II,III) and nickel(II) complexes of 2-pyridineformamide N(4)-methylthiosemicarbazone. Polyhedron 1999, 18, 2919–2929. [Google Scholar] [CrossRef]
- Despaigne, A.A.R.; Da Silva, J.G.; Do Carmo, A.C.M.; Piro, O.E.; Castellano, E.E.; Beraldo, H. Copper (II) and zinc (II) complexes with 2-benzoylpyridine-methyl hydrazone. J. Mol. Struct. 2009, 920, 97–102. [Google Scholar] [CrossRef]
- Hocking, R.K.; Hambley, T.W. Structural Measure of Metal-Ligand Covalency from the Bonding in Carboxylate Ligands. Inorg. Chem. 2003, 42, 2833–2835. [Google Scholar] [CrossRef] [PubMed]
- El-Sherif, A.A.; Fetoh, A.; Abdulhamed, Y.K.; Abu El-Reash, G.M. Synthesis, structural characterization, DFT studies and biological activity of Cu(II) and Ni(II) complexes of novel hydrazine. Inorg. Chim. Acta 2018, 480, 1–15. [Google Scholar] [CrossRef]
- Abu El-Reash, G.A.; El-Gammal, O.A.; Radwan, A.H. Molecular structure and biological studies on Cr (III), Mn (II) and Fe (III) complexes of heterocyclic carbohydrazone ligand. Spectrochim. Acta Mol. Biomol. Spectrosc. 2014, 121, 259–267. [Google Scholar] [CrossRef] [PubMed]
- Yousef, T.A.; Abu El-Reash, G.M.; El Morshedy, R.M. Quantum chemical calculations, experimental investigations and DNA studies on (E)-2-((3-hydroxynaphthalen-2-yl)methylene)-N-(pyridin-2-yl)hydrazinecarbothioamide and its Mn(II), Ni(II), Cu(II), Zn(II) and Cd(II) complexes. Polyhedron 2012, 45, 71–85. [Google Scholar] [CrossRef]



















| Compounds | Yield% | Mp/°C | Color | Conductance (ohm−1·cm2·mol−1) | µeff (B.M) | Element | Found | Calc. |
|---|---|---|---|---|---|---|---|---|
| NH2CON=NCONH2 | - | 245 | White | 11 | - | %C | 20.69 | 20.69 |
| %H | 3.47 | 3.45 | ||||||
| %N | 48.57 | 48.27 | ||||||
| [Ni(ADCA)2(Cl)2]·1.5H2O | 79 | ˃350 | Light green | 10 | 3.46 | %C | 12.52 | 12.34 |
| %H | 2.86 | 2.83 | ||||||
| %N | 28.38 | 28.79 | ||||||
| [Cu(ADCA)2(NO3)2]·H2O | 75 | ˃350 | Dark green | 7 | 1.93 | %C | 10.97 | 10.96 |
| %H | 2.21 | 2.28 | ||||||
| %N | 31.71 | 31.96 | ||||||
| [Zn(ADCA)2(Cl)2]·H2O | 73 | ˃350 | Yellow | 13 | Dia | %C | 13.05 | 12.43 |
| %H | 2.60 | 2.59 | ||||||
| %N | 28.36 | 29.02 |
| Assignments | Compounds | |||
|---|---|---|---|---|
| NH2CON=NCONH2 | [Cu(ADCA)2(NO3)2]·H2O | [Zn(ADCA)2(Cl)2]·H2O | [Ni(ADCA)2(Cl)2]·1.5H2O | |
| δN-C=O + δNCN + δC-N=N | 636 | 608 | 563 | 620 |
| δC=O + δH-N-H + δN = N | 752 | 777.2 | 713 | 764 |
| δN-H | 856 | 840 | 831 | 997 |
| δH-N-H + vC-N + δN-C=O | 1116 | 1043 | 1042 | 1110 |
| δH-N-H + vC-N + δN-C=O | 1330 | 1344 | 1387 | 1419 |
| vC=O + vC-N | 1727 | 1621 | 1556 | 1679 |
| ν(M-O) | - | 438 | 465 | 407 |
| ν(M-N) | - | 585 | 572 | 551 |
| Compounds | TGA Range (°C) | Number of Peaks | Weight Loss (%) | Lost Species | |
|---|---|---|---|---|---|
| Calc. | Found | ||||
| [Ni(ADCA)2(Cl)2]·1.5H2O Mw = 379.95 | 0–265 265–353 353–800 | 1 1 Residue | 38.12 25.75 36.13 | 38.66 25.66 35.761 | 0.5HCNO + 1.5H2O + N2+ 2Cl C2N2O2+ 0.5HCN 1.5NH3 + 0.5HCN + 0.5HCNO+ NiO↓ |
| [Cu(ADCA)2(NO3)2]·H2O Mw = 439.74 | 10–139 135–250 250–600 | 1 1 Residue | 9.514 41.675 48.811 | 8.981 41.065 48.095 | H2O + HNCO HNCO + C2H3N5O2 + N2 + 0.5NH3 0.5NH3 + 2NO3 + CuO↓ + 0.5C↓ |
| [Zn(ADCA)2(Cl)2]·H2O Mw = 383.94 | 0–265 265–353 353 | 1 1 1 Residue | 8.37 14.03 28.742 48.858 | 8.02 15.55 25.13 51.3 | H2O + N2 NH3 + HNCO 2Cl + HCN C2H3N3O2 + ZnO↓ + 7.5C↓ |
| Compound | Electronic Transition, λmax (nm, DMF) | Band Assignments | Eg (eV) | Eu (eV) |
|---|---|---|---|---|
| C2H4N4O2 | 341, 331, 433 | π → π*, π → π*, n → π* | 3.72 | 22.94 |
| [Ni(ADCA)2(Cl)2]·1.5H2O | 717 564 520 | 3A2g (F) → 3T2g (F) 3A2g (F) → 3T1g (F) 3A2g (F) → 3T2g (P) | 1.91 | 9.38 |
| [Cu(ADCA)2(NO3)2]·H2O | 521 400 | 2Eg → 2T2g intra-ligand transitions | 2.50 | 4.29 |
| [Zn(ADCA)2(Cl)2]·H2O | 236, 327, 386 | π → π*, n → π*, L→ M (LMCT) | 1.96 | 19.83 |
| No. | Aspergillus oryzae | Penicillium sp. | Bacillus subtilis |
|---|---|---|---|
| Dimethyl sulfoxide | −ve | −ve | −ve |
| Azodicarbonamide | −ve | −ve | −ve |
| Ni (II) complex | 1.3 cm | 0.8 cm | −ve |
| Cu (II) complex | 0.6 cm | −ve | −ve |
| Zn (II) complex | −ve | −ve | −ve |
| Bond | Length (Å) | Angle | Degree (°) | Angle | Degree (°) |
|---|---|---|---|---|---|
| N(8)-H(12) | 1.014 | H(12)-N(8)-H(11) | 120.799 | O(6)-C(3)-N(2) | 125.105 |
| N(8)-H(11) | 1.015 | H(9)-N(7)-C(4) | 120.259 | C(3)-N(2)-N(1) | 111.035 |
| N(7)-H(10) | 1.013 | N(8)-C(3)-N(2) | 107.587 | C(4)-N(1)-N(2) | 111.047 |
| N(1)-C(4) | 1.499 | H(12)-N(8)-C(3) | 118.942 | ||
| N(7)-H(9) | 1.014 | H(11)-N(8)-C(3) | 120.221 | ||
| C(4)-N(7) | 1.346 | H(10)-N(7)-H(9) | 120.443 | ||
| O(5)-C(4) | 1.231 | H(10)-N(7)-C(4) | 119.245 | ||
| N(1)-N(2) | 1.248 | N(7)-C(4)-O(5) | 127.374 | ||
| C(3)-N(8) | 1.345 | N(7)-C(4)-N(1) | 107.502 | ||
| C(3)-O(6) | 1.232 | O(5)-C(4)-N(1) | 125.113 | ||
| N(2)-C(3) | 1.499 | N(8)-C(3)-O(6) | 127.287 |
| Bond | Length (Å) | Bond | Length (Å) | Angle | Degree (°) | Angle | Degree (°) |
|---|---|---|---|---|---|---|---|
| N(23)-O(25) | 1.253 | C(6)-O(7) | 1.224 | O(22)-Cu(17)-O(18) | 86.068 | N(11)-Cu(17)-O(4) | 92.419 |
| N(23)-O(24) | 1.257 | C(6)-N(8) | 1.336 | O(22)-Cu(17)-O(12) | 92.414 | N(11)-Cu(17)-N(3) | 160.538 |
| O(22)-N(23) | 1.321 | O(4)-Cu(17) | 2.206 | O(22)-Cu(17)-N(11) | 94.457 | O(4)-Cu(17)-N(3) | 75.274 |
| N(19)-O(21) | 1.255 | N(3)-Cu(17) | 2.161 | O(22)-Cu(17)-O(4) | 172.959 | Cu(17)-O(4)-C(1) | 110.239 |
| N(19)-O(20) | 1.259 | N(2)-N(3) | 1.241 | O(22)-Cu(17)-N(3) | 98.473 | Cu(17)-N(3)-C(6) | 130.498 |
| O(18)-N(19) | 1.317 | N(10)-N(11) | 1.243 | O(18)-Cu(17)-O(12) | 176.060 | Cu(17)-N(3)-N(2) | 117.983 |
| O(22)-Cu(17) | 2.189 | C(9)-O(12) | 1.247 | O(18)-Cu(17)-N(11) | 101.856 | O(12)-Cu(17)-N(11) | 74.618 |
| O(18)-Cu(17) | 2.186 | O(12)-Cu(17) | 2.214 | O(18)-Cu(17)-O(4) | 91.040 | O(12)-Cu(17)-O(4) | 90.870 |
| C(14)-N(16) | 1.338 | N(11)-Cu(17) | 2.175 | O(18)-Cu(17)-N(3) | 93.520 | O(12)-Cu(17)-N(3) | 90.299 |
| C(14)-O(15) | 1.223 |
| Bond | Length (Å) | Bond | Length (Å) | Angle | Degree (°) | Angle | Degree (°) |
|---|---|---|---|---|---|---|---|
| Cl(19)-Ni(17) | 2.386 | N(3)-Ni(17) | 2.090 | Cl(19)-Ni(17)-Cl(18) | 94.535 | O(12)-Ni(17)-O(4) | 86.609 |
| Cl(18)-Ni(17) | 2.386 | N(2)-N(3) | 1.259 | Cl(19)-Ni(17)-O(12) | 89.276 | O(12)-Ni(17)-N(3) | 88.580 |
| C(14)-N(16) | 1.340 | C(9)-O(12) | 1.255 | Cl(19)-Ni(17)-N(11) | 87.412 | N(11)-Ni(17)-O(4) | 87.896 |
| C(14)-O(15) | 1.229 | C(6)-N(8) | 1.338 | Cl(19)-Ni(17)-O(4) | 174.385 | N(11)-Ni(17)-N(3) | 159.054 |
| O(12)-Ni(17) | 2.128 | C(6)-O(7) | 1.229 | Cl(19)-Ni(17)-N(3) | 106.982 | O(4)-Ni(17)-N(3) | 76.757 |
| N(11)-Ni(17) | 2.108 | O(4)-Ni(17) | 2.131 | Cl(18)-Ni(17)-O(12) | 174.911 | O(12)-Ni(17)-O(4) | 86.609 |
| N(10)-N(11) | 1.259 | C(1)-O(4) | 1.255 | Cl(18)-Ni(17)-N(11) | 107.298 | O(12)-Ni(17)-N(3) | 88.580 |
| Cl(18)-Ni(17)-O(4) | 89.804 | Ni(17)-O(12)-C(9) | 111.061 | ||||
| Cl(18)-Ni(17)-N(3) | 87.083 | Ni(17)-N(11)-C(14) | 130.322 | ||||
| O(12)-Ni(17)-N(11) | 76.200 | Ni(17)-N(11)-N(10) | 118.004 | ||||
| Ni(17)-O(4)-C(1) | 110.225 | Ni(17)-N(3)-C(6) | 130.593 | ||||
| Ni(17)-N(3)-N(2) | 117.939 |
| Bond | Length (Å) | Bond | Length (Å) | Angle | Degree (°) | Angle | Degree (°) |
|---|---|---|---|---|---|---|---|
| Cl(19)-Zn(17) | 2.330 | C(9)-O(12) | 1.244 | Cl(19)-Zn(17)-Cl(18) | 179.876 | Cl(18)-Zn(17)-O(4) | 92.703 |
| Cl(18)-Zn(17) | 2.328 | C(6)-N(8) | 1.348 | Cl(19)-Zn(17)-O(12) | 92.787 | Cl(18)-Zn(17)-N(3) | 89.164 |
| C(14)-N(16) | 1.348 | C(6)-O(7) | 1.227 | Cl(19)-Zn(17)-N(11) | 88.952 | O(12)-Zn(17)-N(11) | 69.365 |
| C(14)-O(15) | 1.227 | O(4)-Zn(17) | 2.309 | Cl(19)-Zn(17)-O(4) | 87.195 | O(12)-Zn(17)-O(4) | 179.937 |
| O(12)-Zn(17) | 2.310 | N(3)-Zn(17) | 2.368 | Cl(19)-Zn(17)-N(3) | 90.867 | O(12)-Zn(17)-N(3) | 110.695 |
| N(11)-Zn(17) | 2.367 | N(2)-N(3) | 1.246 | Cl(18)-Zn(17)-O(12) | 87.315 | N(11)-Zn(17)-O(4) | 110.574 |
| N(10)-N(11) | 1.246 | C(1)-O(4) | 1.244 | Cl(18)-Zn(17)-N(11) | 91.017 | N(11)-Zn(17)-N(3) | 179.812 |
| Zn(17)-O(12)-C(9) | 114.409 | O(4)-Zn(17)-N(3) | 69.366 | ||||
| Zn(17)-N(11)-C(14) | 127.748 | Zn(17)-N(11)-N(10) | 119.568 | ||||
| Zn(17)-O(4)-C(1) | 114.448 | Zn(17)-N(3)-C(6) | 127.774 | ||||
| Zn(17)-N(3)-N(2) | 119.543 |
| Compound | -EH | -EL | -EH-L | χ | µ | η | S | ω | ϭ |
|---|---|---|---|---|---|---|---|---|---|
| Ligand | 5.381 | 3.606 | 1.775 | 4.493 | −4.493 | 0.443 | 0.2219 | 22.7510 | 2.2535 |
| Cu | 5.918 | 4.748 | 1.170 | 5.333 | −5.333 | 0.292 | 0.1462 | 48.6169 | 3.4188 |
| Zn | 5.787 | 4.351 | 1.436 | 5.069 | −5.069 | 0.359 | 0.1795 | 35.7866 | 2.7855 |
| Ni | 5.474 | 4.523 | 0.951 | 4.998 | −4.998 | 0.2377 | 0.1189 | 52.5447 | 4.2061 |
| Dipole Magnitude (D) | Binding Energy (ev) | Total Energy (ev) | |
|---|---|---|---|
| Azodicarbonamide | 0.1140 | −53.5028 | −12197.595 |
| Cu-complex | 15.1645 | −141.43307 | −45715.839 |
| Ni- complex | 13.1330 | −117.59501 | −54711.175 |
| Zn-complex | 0.0270 | −113.57451 | −56368.463 |
Disclaimer/Publisher’s Note: The statements, opinions and data contained in all publications are solely those of the individual author(s) and contributor(s) and not of MDPI and/or the editor(s). MDPI and/or the editor(s) disclaim responsibility for any injury to people or property resulting from any ideas, methods, instructions or products referred to in the content. |
© 2023 by the authors. Licensee MDPI, Basel, Switzerland. This article is an open access article distributed under the terms and conditions of the Creative Commons Attribution (CC BY) license (https://creativecommons.org/licenses/by/4.0/).
Share and Cite
Younes, A.A.O.; Adam, A.M.A.; Refat, M.S.; Al-Wasidi, A.S.; Almehizia, A.A.; Al-Omar, M.A.; Naglah, A.M.; Al-Obaid, A.M.; Alkahtani, H.M.; Obaidullah, A.J.; et al. Synthesis of Bivalent Ni(II), Cu(II) and Zn(II) Complexes of Azodicarbonamide in Mixture of Methanol and Aqueous Solvents: Spectral Characterizations and Anti-Microbial Studies. Crystals 2023, 13, 367. https://doi.org/10.3390/cryst13030367
Younes AAO, Adam AMA, Refat MS, Al-Wasidi AS, Almehizia AA, Al-Omar MA, Naglah AM, Al-Obaid AM, Alkahtani HM, Obaidullah AJ, et al. Synthesis of Bivalent Ni(II), Cu(II) and Zn(II) Complexes of Azodicarbonamide in Mixture of Methanol and Aqueous Solvents: Spectral Characterizations and Anti-Microbial Studies. Crystals. 2023; 13(3):367. https://doi.org/10.3390/cryst13030367
Chicago/Turabian StyleYounes, Ayman A. O., Abdel Majid A. Adam, Moamen S. Refat, Asma S. Al-Wasidi, Abdulrahman A. Almehizia, Mohamed A. Al-Omar, Ahmed M. Naglah, Abdulrahman M. Al-Obaid, Hamad M. Alkahtani, Ahmad J. Obaidullah, and et al. 2023. "Synthesis of Bivalent Ni(II), Cu(II) and Zn(II) Complexes of Azodicarbonamide in Mixture of Methanol and Aqueous Solvents: Spectral Characterizations and Anti-Microbial Studies" Crystals 13, no. 3: 367. https://doi.org/10.3390/cryst13030367
APA StyleYounes, A. A. O., Adam, A. M. A., Refat, M. S., Al-Wasidi, A. S., Almehizia, A. A., Al-Omar, M. A., Naglah, A. M., Al-Obaid, A. M., Alkahtani, H. M., Obaidullah, A. J., El-Sayed, M. Y., & Asla, K. A. (2023). Synthesis of Bivalent Ni(II), Cu(II) and Zn(II) Complexes of Azodicarbonamide in Mixture of Methanol and Aqueous Solvents: Spectral Characterizations and Anti-Microbial Studies. Crystals, 13(3), 367. https://doi.org/10.3390/cryst13030367

