The Effect of Titanium Oxyfluoride Morphology on Photocatalytic Activity of Fluorine-Doped Titanium(IV) Oxide
Abstract
1. Introduction
2. Materials and Methods
2.1. Synthesis of Titanium Oxyfluoride and F-Modified Titanium(IV) Oxide
2.1.1. Synthesis of TiOF2–TP Series
2.1.2. Synthesis of TiOF2–TF Series
2.1.3. Synthesis of Fluorine-Modified TiO2
2.2. Materials Characterization
2.3. Photocatalytic Phenol Degradation
3. Results and Discussion
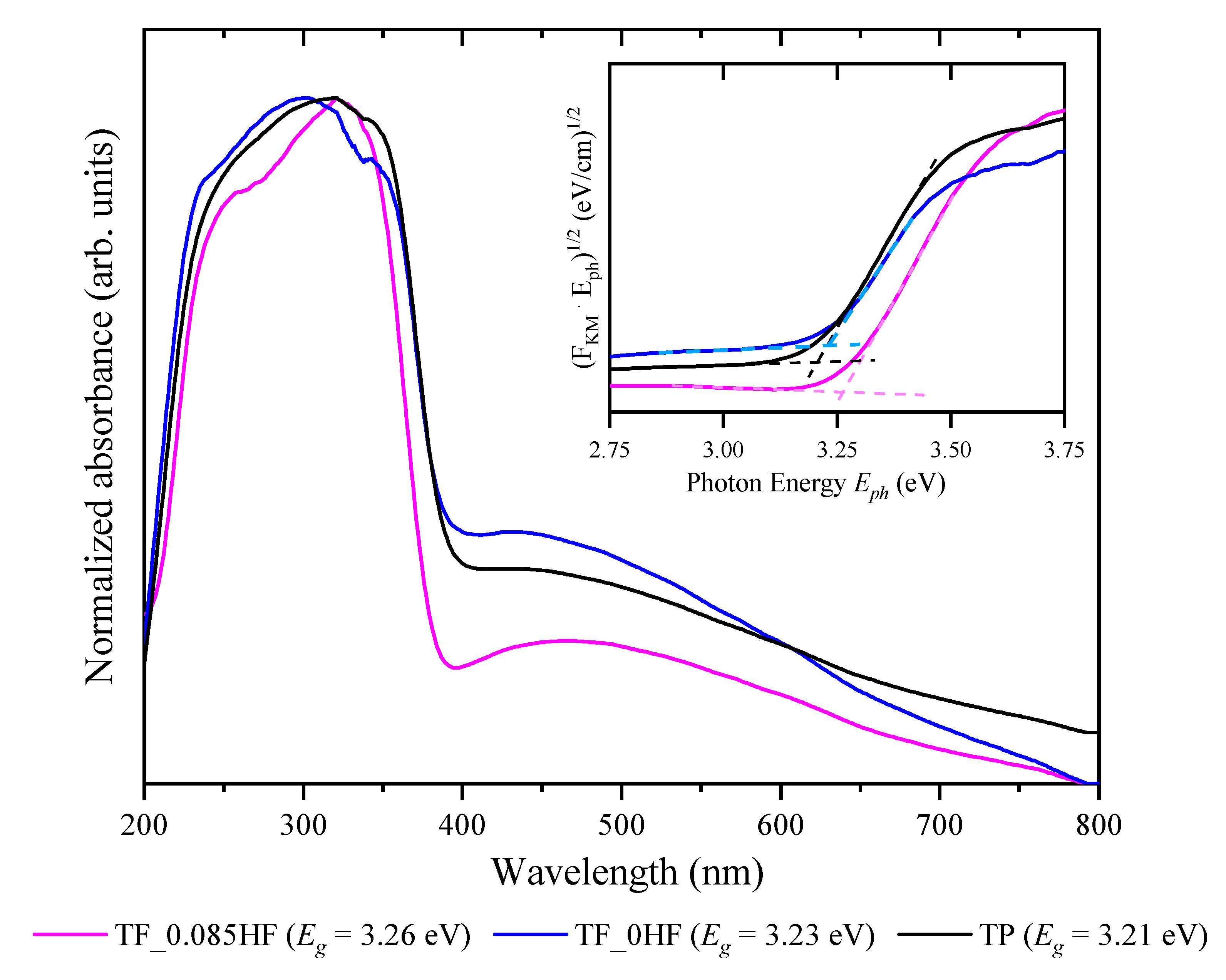
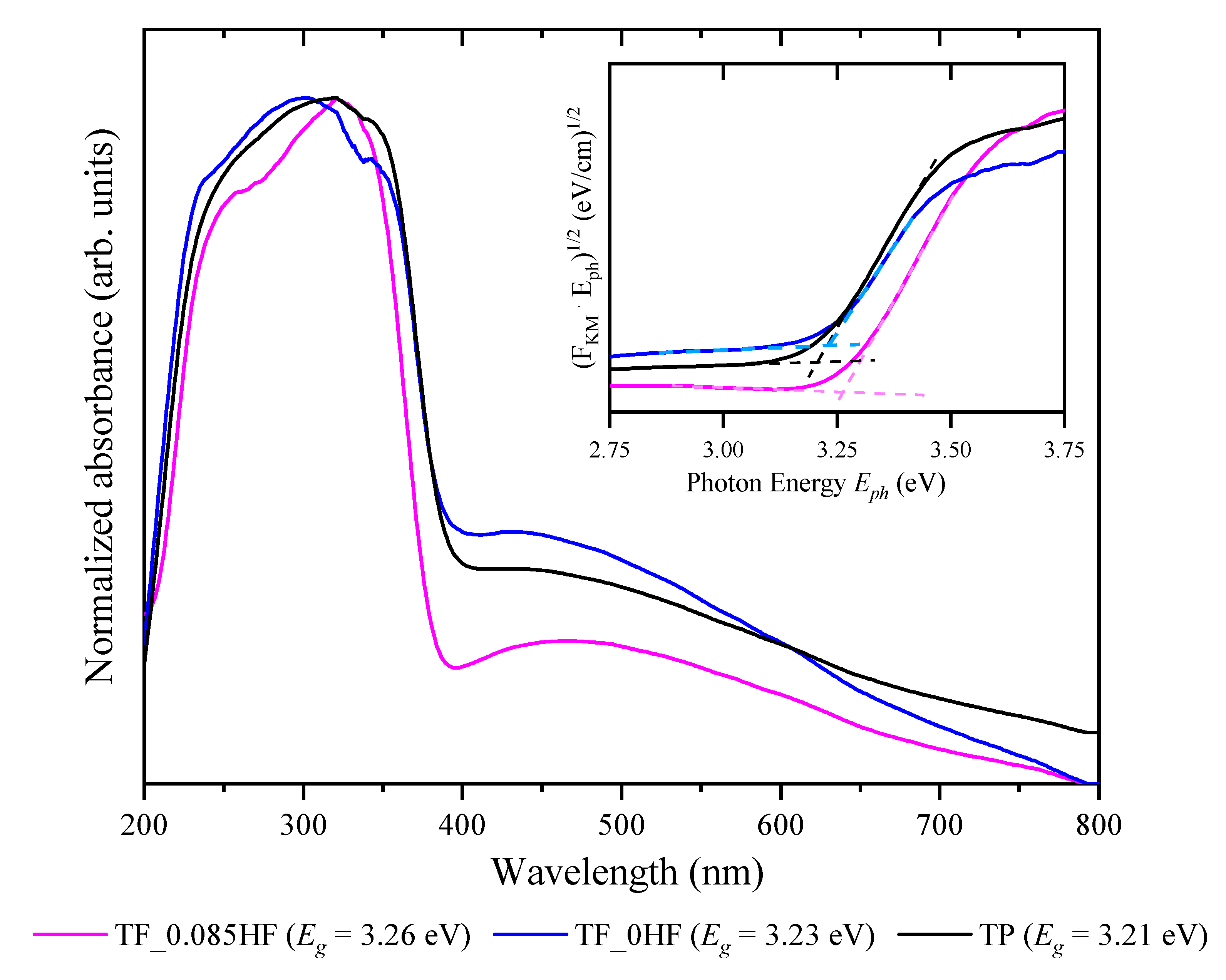
3.1. Structural and Morphological Analyses of TiOF2
3.2. Characterization and Photocatalytic Activity of TiO2 Synthesized from TiOF2
4. Conclusions
Author Contributions
Funding
Institutional Review Board Statement
Informed Consent Statement
Data Availability Statement
Conflicts of Interest
References
- Shian, S.; Sandhage, K.H. Hexagonal and Cubic TiOF2. J. Appl. Crystallogr. 2010, 43, 757–761. [Google Scholar] [CrossRef]
- Lu, Y.; Yan, H.; Huang, E.; Chen, B. Persistent Negative Compressibility Coupled to Optical Modulation in Empty-Perovskite TiOF2. J. Phys. Chem. C 2021, 125, 8869–8875. [Google Scholar] [CrossRef]
- Wang, Z.; Yu, K.; Feng, Y.; Qi, R.; Ren, J.; Zhu, Z. Stabilizing Ti3C2Tx-MXenes with TiOF2 Nanospheres Intercalation to Improve Hydrogen Evolution Reaction and Humidity-Sensing Performance. Appl. Surf. Sci. 2019, 496. [Google Scholar] [CrossRef]
- Kowalkińska, M.; Dudziak, S.; Karczewski, J.; Ryl, J.; Trykowski, G.; Zielińska-Jurek, A. Facet Effect of TiO2 Nanostructures from TiOF2 and Their Photocatalytic Activity. Chemical. Eng. J. 2021, 404, 126493. [Google Scholar] [CrossRef]
- Louvain, N.; Karkar, Z.; El-Ghozzi, M.; Bonnet, P.; Guérin, K.; Willmann, P. Fluorination of Anatase TiO2 towards Titanium Oxyfluoride TiOF2: A Novel Synthesis Approach and Proof of the Li-Insertion Mechanism. J. Mater. Chem. A Mater. 2014, 2, 15308–15315. [Google Scholar] [CrossRef]
- Reddy, M.V.; Madhavi, S.; Subba Rao, G.V.; Chowdari, B.V.R. Metal Oxyfluorides TiOF2 and NbO2F as Anodes for Li-Ion Batteries. J. Power Sour. 2006, 162, 1312–1321. [Google Scholar] [CrossRef]
- Jung, M.J.; Kim, Y.; Lee, Y.S. Enhancement of the Electrochemical Capacitance of TiOF2obtained via Control of the Crystal Structure. J. Ind. Eng. Chem. 2017, 47, 187–193. [Google Scholar] [CrossRef]
- Wen, C.Z.; Hu, Q.H.; Guo, Y.N.; Gong, X.Q.; Qiao, S.Z.; Yang, H.G. From Titanium Oxydifluoride (TiOF2) to Titania (TiO2): Phase Transition and Non-Metal Doping with Enhanced Photocatalytic Hydrogen (H2) Evolution Properties. Chem. Commun. 2011, 47, 6138–6140. [Google Scholar] [CrossRef]
- Wang, Z.; Lv, K.; Wang, G.; Deng, K.; Tang, D. Study on the Shape Control and Photocatalytic Activity of High-Energy Anatase Titania. Appl. Catal. B 2010, 100, 378–385. [Google Scholar] [CrossRef]
- Wang, J.; Cao, F.; Bian, Z.; Leung, M.K.H.; Li, H. Ultrafine Single-Crystal TiOF2 Nanocubes with Mesoporous Structure, High Activity and Durability in Visible Light Driven Photocatalysis. Nanoscale 2014, 6, 897–902. [Google Scholar] [CrossRef]
- Lv, K.; Yu, J.; Cui, L.; Chen, S.; Li, M. Preparation of Thermally Stable Anatase TiO2 Photocatalyst from TiOF2 Precursor and Its Photocatalytic Activity. J. Alloy. Compd. 2011, 509, 4557–4562. [Google Scholar] [CrossRef]
- Lv, K.; Guo, X.; Wu, X.; Li, Q.; Ho, W.; Li, M.; Ye, H.; Du, D. Photocatalytic Selective Oxidation of Phenol to Produce Dihydroxybenzenes in a TiO2/UV System: Hydroxyl Radical versus Hole. Appl. Catal. B 2016, 199, 405–411. [Google Scholar] [CrossRef]
- Dalton, J.S.; Janes, P.; Jones, N.; Hallam, K.R.; Nicholson, J.A.; Allen, G.C. Photocatalytic Oxidation of NOx Gases Using TiO2: A Spectroscopic Approach. Environ. Pollut. 2002, 45120, 415–422. [Google Scholar] [CrossRef] [PubMed]
- Sobczyński, A.; Duczmal, L.; Zmudziński, W. Phenol Destruction by Photocatalysis on TiO2: An Attempt to Solve the Reaction Mechanism. J. Mol. Catal. A Chem. 2004, 213, 225–230. [Google Scholar] [CrossRef]
- Rej, S.; Hejazi, S.M.H.; Badura, Z.; Zoppellaro, G.; Kalytchuk, S.; Kment, Š.; Fornasiero, P.; Naldoni, A. Light-Induced Defect Formation and Pt Single Atoms Synergistically Boost Photocatalytic H2 Production in 2D TiO2-Bronze Nanosheets. ACS Sustain. Chem. Eng. 2022, 10, 17286–17296. [Google Scholar] [CrossRef]
- Kowalkińska, M.; Sikora, K.; Łapiński, M.; Karczewski, J.; Zielińska-Jurek, A. Non-Toxic Fluorine-Doped TiO2 Nanocrystals from TiOF2 for Facet-Dependent Naproxen Degradation. Catal. Today 2022. [Google Scholar] [CrossRef]
- Nakata, K.; Fujishima, A. TiO2 Photocatalysis: Design and Applications. J. Photochem. Photobiol. C Photochem. Rev. 2012, 13, 169–189. [Google Scholar] [CrossRef]
- Zhang, Y.; Deng, B.; Zhang, T.; Gao, D.; Xu, A.W. Shape Effects of Cu2O Polyhedral Microcrystals on Photocatalytic Activity. J. Phys. Chem. C 2010, 114, 5073–5079. [Google Scholar] [CrossRef]
- Mazierski, P.; Sowik, J.; Miodyńska, M.; Trykowski, G.; Mikołajczyk, A.; Klimczuk, T.; Lisowski, W.; Nadolna, J.; Zaleska-Medynska, A. Shape-Controllable Synthesis of GdVO4 Photocatalysts and Their Tunable Properties in Photocatalytic Hydrogen Generation. Dalton Trans. 2019, 48, 1662–1671. [Google Scholar] [CrossRef]
- Chen, L.; Shen, L.; Nie, P.; Zhang, X.; Li, H. Facile Hydrothermal Synthesis of Single Crystalline TiOF2 Nanocubes and Their Phase Transitions to TiO2 Hollow Nanocages as Anode Materials for Lithium-Ion Battery. Electrochim Acta 2012, 62, 408–415. [Google Scholar] [CrossRef]
- Wen, C.Z.; Zhou, J.Z.; Jiang, H.B.; Hu, Q.H.; Qiao, S.Z.; Yang, H.G. Synthesis of Micro-Sized Titanium Dioxide Nanosheets Wholly Exposed with High-Energy {001} and {100} Facets. Chem. Commun. 2011, 47, 4400–4402. [Google Scholar] [CrossRef] [PubMed]
- Ye, J.; Liu, W.; Cai, J.; Chen, S.; Zhao, X.; Zhou, H.; Qi, L. Nanoporous Anatase TiO2 Mesocrystals: Additive-Free Synthesis, Remarkable Crystalline-Phase Stability, and Improved Lithium Insertion Behavior. J. Am. Chem. Soc. 2011, 133, 933–940. [Google Scholar] [CrossRef] [PubMed]
- Wang, L.; Liu, J.; Min, Y.; Zhang, K. Nontopological Transformation of Hierarchical TiO2 by Self-Regulated Etching and Capping Roles of F—For Photocatalytic H 2 Evolution. Appl. Surf. Sci. 2019, 473, 738–745. [Google Scholar] [CrossRef]
- Gordon, T.R.; Cargnello, M.; Paik, T.; Mangolini, F.; Weber, R.T.; Fornasiero, P.; Murray, C.B. Nonaqueous Synthesis of TiO2 Nanocrystals Using TiF4 to Engineer Morphology, Oxygen Vacancy Concentration, and Photocatalytic Activity. J. Am. Chem. Soc. 2012, 134, 6751–6761. [Google Scholar] [CrossRef] [PubMed]
- Dudziak, S.; Kowalkińska, M.; Karczewski, J.; Pisarek, M.; Siuzdak, K.; Kubiak, A.; Siwińska-Ciesielczyk, K.; Zielińska-Jurek, A. Solvothermal Growth of {0 0 1} Exposed Anatase Nanosheets and Their Ability to Mineralize Organic Pollutants. The Effect of Alcohol Type and Content on the Nucleation and Growth of TiO2 Nanostructures. Appl. Surf. Sci. 2021, 563, 150360. [Google Scholar] [CrossRef]
- Kumar, M.M.; Badrinarayanan, S.; Sastry, M. Nanocrystalline TiO2 Studied by Optical, FTIR and X-Ray Photoelectron Spectroscopy: Correlation to Presence of Surface States. Thin Solid Film. 2000, 358, 122–130. [Google Scholar] [CrossRef]
- Xie, S.; Han, X.; Kuang, Q.; Fu, J.; Zhang, L.; Xie, Z.; Zheng, L. Solid State Precursor Strategy for Synthesizing Hollow TiO2 Boxes with a High Percentage of Reactive {001} Facets Exposed. Chem. Commun. 2011, 47, 6722–6724. [Google Scholar] [CrossRef]
- Okamoto, H. O-Ti (Oxygen-Titanium). J. Phase Equilibria Diffus 2011, 32, 473–474. [Google Scholar] [CrossRef]
- Song, G.; Gao, R.; Zhao, Z.; Zhang, Y.; Tan, H.; Li, H.; Wang, D.; Sun, Z.; Feng, M. High-Spin State Fe(III) Doped TiO2 for Electrocatalytic Nitrogen Fixation Induced by Surface F Modification. Appl. Catal. B 2022, 301. [Google Scholar] [CrossRef]
- Sulowska, A.; Fiszka Borzyszkowska, A.; Cysewska, K.; Siwińska-Ciesielczyk, K.; Nikiforow, K.; Trykowski, G.; Zielińska-Jurek, A. The Effect of PEDOT Morphology on Hexavalent Chromium Reduction over 2D TiO2/PEDOT Photocatalyst under UV–Vis Light. Mater. Chem. Phys. 2023, 127430. [Google Scholar] [CrossRef]
- Zheng, Y.; Wang, J.; Yang, P. Anatase TiO2 Nanosheets Exposed {001} Facet: Solvent Effects on the Photocatalytic Performance. J. Nanosci. Nanotechnol. 2017, 17, 1204–1209. [Google Scholar] [CrossRef] [PubMed]
- Li, J.; Yu, Y.; Chen, Q.; Li, J.; Xu, D. Controllable Synthesis of TiO2 Single Crystals with Tunable Shapes Using Ammonium-Exchanged Titanate Nanowires as Precursors. Cryst. Growth Des. 2010, 10, 2111–2115. [Google Scholar] [CrossRef]
- Xia, P.; Li, G.; Li, X.; Yuan, S.; Wang, K.; Huang, D.; Ji, Y.; Dong, Y.; Wu, X.; Zhu, L.; et al. Synthesis of G-C3N4 from Various Precursors for Photocatalytic H2 Evolution under the Visible Light. Crystals 2022, 12, 1719. [Google Scholar] [CrossRef]






| Sample Name | Titanium Source | Titanium Source Amount | Solvent | Solvent Volume (cm3) | HF Volume (cm3) | Reaction Temperature and Time |
|---|---|---|---|---|---|---|
| TP | TTIP | 10.2 cm3 | CH3COOH | 24.4 | 3.9 | 200 °C, 12 h |
| TF_0HF | TiF4 | 10 g | 1-butanol | 120 | - | 210 °C, 24 h |
| TF_0.085HF | 3.06 g | 0.085 | ||||
| TF_0.17HF | 0.17 |
| Sample Name | Crystallite Size (nm) | F/Ti Ratio Calculated from EDS Spectroscopy | Surface Area SBET (m2·g−1) | Lattice Parameters a = b = c (Å) | Goodness of Fit χ2 |
|---|---|---|---|---|---|
| TP | 49 | 2.19 | 3.9 | 3.799 | 1.89 |
| TF_0HF | 43 | 2.13 | 5.2 | 3.794 | 1.48 |
| TF_0.085HF | 44 | 2.08 | 8.5 | 3.796 | 1.37 |
| TF_0.17HF | 40 | - | - | 3.788 | 2.62 |
| Sample Name | Crystallite Size (nm) | F/Ti Ratio Calculated from EDS Spectroscopy | Surface Area SBET (m2·g−1) | Lattice Parameter a = b (Å) | Lattice Parameter c (Å) | Goodness of Fit χ2 |
|---|---|---|---|---|---|---|
| TiO2 from TP | 17 | 0.086 | 38.9 | 3.793 | 9.488 | 1.94 |
| TiO2 from TF_0HF | 28 | 0.072 | 20.7 | 3.786 | 9.499 | 2.05 |
| TiO2 from TF_0.085HF | 24 | 0.054 | 28.1 | 3.788 | 9.497 | 1.95 |
Disclaimer/Publisher’s Note: The statements, opinions and data contained in all publications are solely those of the individual author(s) and contributor(s) and not of MDPI and/or the editor(s). MDPI and/or the editor(s) disclaim responsibility for any injury to people or property resulting from any ideas, methods, instructions or products referred to in the content. |
© 2023 by the authors. Licensee MDPI, Basel, Switzerland. This article is an open access article distributed under the terms and conditions of the Creative Commons Attribution (CC BY) license (https://creativecommons.org/licenses/by/4.0/).
Share and Cite
Kowalkińska, M.; Karczewski, J.; Zielińska-Jurek, A. The Effect of Titanium Oxyfluoride Morphology on Photocatalytic Activity of Fluorine-Doped Titanium(IV) Oxide. Crystals 2023, 13, 356. https://doi.org/10.3390/cryst13020356
Kowalkińska M, Karczewski J, Zielińska-Jurek A. The Effect of Titanium Oxyfluoride Morphology on Photocatalytic Activity of Fluorine-Doped Titanium(IV) Oxide. Crystals. 2023; 13(2):356. https://doi.org/10.3390/cryst13020356
Chicago/Turabian StyleKowalkińska, Marta, Jakub Karczewski, and Anna Zielińska-Jurek. 2023. "The Effect of Titanium Oxyfluoride Morphology on Photocatalytic Activity of Fluorine-Doped Titanium(IV) Oxide" Crystals 13, no. 2: 356. https://doi.org/10.3390/cryst13020356
APA StyleKowalkińska, M., Karczewski, J., & Zielińska-Jurek, A. (2023). The Effect of Titanium Oxyfluoride Morphology on Photocatalytic Activity of Fluorine-Doped Titanium(IV) Oxide. Crystals, 13(2), 356. https://doi.org/10.3390/cryst13020356

