Chiral π-Conjugated Liquid Crystals: Impacts of Ethynyl Linker and Bilateral Symmetry on the Molecular Packing and Functions
Abstract
:1. Introduction
2. Materials and Methods
2.1. General Procedures and Materials
2.2. Synthesis
2.2.1. Characterization of (R)-1
5-Octyl-5”-{3-fluoro-4-[(R)-2-octyloxy]phenyl}-2,2’:5’,2”-terthiophene: (R)-1
2.2.2. Characterization of (R)-2
5-Octyl-5”-({3-fluoro-4-[(R)-2-octyloxy]phenyl}ethynyl)-2,2’:5’,2”-terthiophene: (R)-2
2.2.3. Characterization of (R)-3
5,5’-Bis({3-fluoro-4-[(R)-2-octyloxy]phenyl}ethynyl)-2,2’-bithiophene: (R)-3
2.3. Characterization of LC Properties
2.4. Characterization of Spectroscopic Properties
3. Results and Discussion
3.1. Liquid-Crystalline Properties
3.1.1. Polarizing Optical Microscopy
3.1.2. Differential Scanning Calorimetry
3.1.3. X-ray Diffraction
3.2. Spectroscopic Properties
4. Conclusions
Supplementary Materials
Author Contributions
Funding
Institutional Review Board Statement
Informed Consent Statement
Data Availability Statement
Acknowledgments
Conflicts of Interest
References
- Kasprzyk-Hordern, B. Pharmacologically active compounds in the environment and their chirality. Chem. Soc. Rev. 2010, 39, 4466–4503. [Google Scholar] [CrossRef] [PubMed]
- Bisoyi, H.K.; Li, Q. Light-Directing Chiral Liquid Crystal Nanostructures: From 1D to 3D. Acc. Chem. Res. 2014, 47, 3184–3195. [Google Scholar] [CrossRef] [PubMed]
- Pescitelli, G.; Di Bari, L.; Berova, N. Application of electronic circular dichroism in the study of supramolecular systems. Chem. Soc. Rev. 2014, 43, 5211–5233. [Google Scholar] [CrossRef] [PubMed]
- Zhang, L.; Qin, L.; Wang, X.; Cao, H.; Liu, M. Supramolecular Chirality in Self-Assembled Soft Materials: Regulation of Chiral Nanostructures and Chiral Functions. Adv. Mater. 2014, 26, 6959–6964. [Google Scholar] [CrossRef] [PubMed]
- Zhang, L.; Wang, T.; Shen, Z.; Liu, M. Chiral Nanoarchitectonics: Towards the Design, Self-Assembly, and Function of Nanoscale Chiral Twists and Helices. Adv. Mater. 2016, 28, 1044–1059. [Google Scholar] [CrossRef]
- Yashima, E.; Ousaka, N.; Taura, D.; Shimomura, K.; Ikai, T.; Maeda, K. Supramolecular Helical Systems: Helical Assemblies of Small Molecules, Foldamers, and Polymers with Chiral Amplification and Their Functions. Chem. Rev. 2016, 116, 13752–13990. [Google Scholar] [CrossRef]
- Evers, F.; Aharony, A.; Bar-Gill, N.; Entin-Wohlman, O.; Hedegaard, P.; Hod, O.; Jelinek, P.; Kamieniarz, G.; Lemeshko, M.; Michaeli, K.; et al. Theory of Chirality Induced Spin Selectivity: Progress and Challenges. Adv. Mater. 2022, 34, 2106629. [Google Scholar] [CrossRef]
- Meyer, R.B.; Libert, L.; Strzelecki, L.; Keller, P. Ferroelectric liquid crystals. J. Phys. 1975, 36, L69–L71. [Google Scholar] [CrossRef]
- Young, C.Y.; Pindak, R.; Clark, N.A.; Meyer, R.B. Light-Scattering Study of Two-Dimensional Molecular-Orientation Fluctuations in a Freely Suspended Ferroelectric Liquid-Crystal Film. Phys. Rev. Lett. 1978, 40, 773–776. [Google Scholar] [CrossRef]
- Gao, W.; Zhang, Z.; Li, P.F.; Tang, Y.Y.; Xiong, R.G.; Yuan, G.; Ren, S. Chiral Molecular Ferroelectrics with Polarized Optical Effect and Electroresistive Switching. ACS Nano 2017, 11, 11739–11745. [Google Scholar] [CrossRef]
- Scanga, R.A.; Reuther, J.F. Helical polymer self-assembly and chiral nanostructure formation. Polym. Chem. 2021, 12, 1857–1897. [Google Scholar] [CrossRef]
- Dorca, Y.; Greciano, E.E.; Valera, J.S.; Gomez, R.; Sanchez, L. Hierarchy of Asymmetry in Chiral Supramolecular Polymers: Toward Functional, Helical Supramolecular Structures. Chem. Eur. J. 2019, 25, 5848–5864. [Google Scholar] [CrossRef] [PubMed]
- Dierking, I. Chiral Liquid Crystals: Structures, Phases, Effects. Symmetry 2014, 6, 444–472. [Google Scholar] [CrossRef]
- Kitzerow, H.-S.; Bahr, C. (Eds.) Chirality in Liquid Crystals, 1st ed.; Springer: New York, NY, USA, 2001. [Google Scholar]
- Goodby, J.W. Symmetry and Chirality in Liquid Crystals. In Handbook of Liquid Crystals, 1st ed.; Demus, D., Goodby, J.W., Gray, G.W., Spiess, H.-W., Vill, V., Eds.; Wiley-VCH: Weinheim, Germany, 1998; Volume 1, pp. 115–132. [Google Scholar]
- Seki, A.; Funahashi, M. Photovoltaic Effects in Ferroelectric Liquid Crystals based on Phenylterthiophene Derivatives. Chem. Lett. 2016, 45, 616–618. [Google Scholar] [CrossRef]
- Seki, A.; Funatsu, Y.; Funahashi, M. Anomalous photovoltaic effect based on molecular chirality: Influence of enantiomeric purity on the photocurrent response in π-conjugated ferroelectric liquid crystals. Phys. Chem. Chem. Phys. 2017, 19, 16446–16455. [Google Scholar] [CrossRef] [PubMed]
- Seki, A.; Funahashi, M. Chiral photovoltaic effect in an ordered smectic phase of a phenylterthiophene derivative. Org. Electron. 2018, 62, 311–319. [Google Scholar] [CrossRef]
- Seki, A.; Yoshio, M.; Mori, Y.; Funahashi, M. Ferroelectric Liquid-Crystalline Binary Mixtures Based on Achiral and Chiral Trifluoromethylphenylterthiophenes. ACS Appl. Mater. Interfaces 2020, 12, 53029–53038. [Google Scholar] [CrossRef]
- Mulder, D.J.; Schenning, A.P.H.J.; Bastiaansen, C.W.M. Chiral-nematic liquid crystals as one dimensional photonic materials in optical sensors. J. Mater. Chem. C 2014, 2, 6695–6705. [Google Scholar] [CrossRef]
- Hartmann, W.J.A.M. Ferroelectric Liquid Crystal Displays for Television Application. Ferroelectrics 1991, 122, 1–26. [Google Scholar] [CrossRef]
- Funahashi, M. Chiral Liquid Crystalline Electronic Systems. Symmetry 2021, 13, 672. [Google Scholar] [CrossRef]
- Shimizu, Y.; Oikawa, K.; Nakayama, K.; Guillon, D. Mesophase semiconductors in field effect transistors. J. Mater. Chem. 2007, 17, 4223–4229. [Google Scholar] [CrossRef]
- Pisula, W.; Zorn, M.; Chang, J.Y.; Müllen, K.; Zentel, R. Liquid Crystalline Ordering and Charge Transport in Semiconducting Materials. Macromol. Rapid Commun. 2009, 30, 1179–1202. [Google Scholar] [CrossRef] [PubMed]
- Funahashi, M. Development of Liquid-Crystalline Semiconductors with High Carrier Mobilities and Their Application to Thin-film Transistors. Polym. J. 2009, 41, 459–469. [Google Scholar] [CrossRef]
- O’Neill, M.; Kelly, S.M. Ordered Materials for Organic Electronics and Photonics. Adv. Mater. 2011, 23, 566–584. [Google Scholar] [CrossRef] [PubMed]
- Seki, A.; Funahashi, M. Nanostrucure Formation Based on the Functionalized Side Chains in Liquid-Crystalline Heteroaromatic Compounds. Heterocycles 2016, 92, 3–30. [Google Scholar]
- Kato, T.; Yoshio, M.; Ichikawa, T.; Soberats, B.; Ohno, H.; Funahashi, M. Transport of ions and electrons in nanostructured liquid crystals. Nat. Rev. Mater. 2017, 2, 17001. [Google Scholar] [CrossRef]
- Hori, T.; Miyake, Y.; Yamasaki, N.; Yoshida, H.; Fujii, A.; Shimizu, Y.; Ozaki, M. Solution Processable Organic Solar Cell Based on Bulk Heterojunction Utilizing Phthalocyanine Derivative. Appl. Phys. Express 2010, 3, 101602. [Google Scholar] [CrossRef]
- Shin, W.; Yasuda, T.; Watanabe, G.; Yang, Y.S.; Adachi, C. Self-Organizing Mesomorphic Diketopyrrolopyrrole Derivatives for Efficient Solution-Processed Organic Solar Cells. Chem. Mater. 2013, 25, 2549–2556. [Google Scholar] [CrossRef]
- Hassheider, T.; Benning, S.A.; Kitzerow, H.-S.; Achard, M.-F.; Bock, H. Color-Tuned Electroluminescence from Columnar Liquid Crystalline Alkyl Arenecarboxylates. Angew. Chem. Int. Ed. 2001, 40, 2060–2063. [Google Scholar] [CrossRef]
- Aldred, M.P.; Contoret, A.E.A.; Farrar, S.R.; Kelly, S.M.; Mathieson, D.; O’Neill, M.; Tsoi, W.C.; Vlachos, P. A Full-Color Electroluminescent Device and Patterned Photoalignment Using Light-Emitting Liquid Crystals. Adv. Mater. 2005, 17, 1368–1372. [Google Scholar] [CrossRef]
- Benning, S.A.; Oesterhaus, R.; Kitzerow, H.-S. Polarized electroluminescence of a discotic mesogenic compound. Liq. Cryst. 2004, 31, 201–205. [Google Scholar] [CrossRef]
- van Breemen, A.J.J.M.; Herwig, P.T.; Chlon, C.H.T.; Sweelssen, J.; Schoo, H.F.M.; Setayesh, S.; Hardeman, W.M.; Martin, C.A.; de Leeuw, D.M.; Valeton, J.J.P.; et al. Large Area Liquid Crystal Monodomain Field-Effect Transistors. J. Am. Chem. Soc. 2006, 128, 2336–2345. [Google Scholar] [CrossRef] [PubMed]
- Funahashi, M.; Zhang, F.; Tamaoki, N. High Ambipolar Mobility in a Highly Ordered Smectic Phase of a Dialkylphenylterthiophene Derivative That Can Be Applied to Solution-Processed Organic Field-Effect Transistors. Adv. Mater. 2007, 19, 353–358. [Google Scholar] [CrossRef]
- Pisula, W.; Menon, A.; Stepputat, M.; Lieberwirth, I.; Kolb, U.; Tracz, A.; Sirringhaus, H.; Pakula, T.; Müllen, K. A Zone-Casting Technique for Device Fabrication of Field-Effect Transistors Based on Discotic Hexa-peri-hexabenzocoronene. Adv. Mater. 2005, 17, 684–689. [Google Scholar] [CrossRef]
- Funatsu, Y.; Sonoda, A.; Funahashi, M. Ferroelectric liquid-crystalline semiconductors based on a phenylterthiophene skeleton: Effect of introduction of oligosiloxane moieties and photovoltaic effect. J. Mater. Chem. C 2015, 3, 1982–1993. [Google Scholar] [CrossRef]
- Glass, A.M.; von der Linde, D.; Negran, T.J. High-voltage bulk photovoltaic effect and the photorefractive process in LiNbO3. Appl. Phys. Lett. 1974, 25, 233–235. [Google Scholar] [CrossRef]
- Fridkin, V.M.; Popov, B.N. The Anomalous Photovoltaic Effect and Photoconductivity in Ferroelectrics. Phys. Status Solidi A 1978, 46, 729–733. [Google Scholar] [CrossRef]
- Yuan, Y.; Xiao, Z.; Yang, B.; Huang, J. Arising applications of ferroelectric materials in photovoltaic devices. J. Mater. Chem. A 2014, 2, 6027–6041. [Google Scholar] [CrossRef]
- Butler, K.T.; Frost, J.M.; Walsh, A. Ferroelectric materials for solar energy conversion: Photoferroics revisited. Energy Environ. Sci. 2015, 8, 838–848. [Google Scholar] [CrossRef]
- Sotome, M.; Nakamura, M.; Fujioka, J.; Ogino, M.; Kaneko, Y.; Morimoto, T.; Zhang, Y.; Kawasaki, M.; Nagaosa, N.; Tokura, Y.; et al. Spectral dynamics of shift current in ferroelectric semiconductor SbSI. Proc. Natl. Acad. Sci. USA 2019, 116, 1929–1933. [Google Scholar] [CrossRef]
- Morimoto, T.; Nakamura, M.; Kawasaki, M.; Nagaosa, N. Current-Voltage Characteristic and Shot Noise of Shift Current Photovoltaics. Phys. Rev. Lett. 2018, 121, 267401. [Google Scholar] [CrossRef] [PubMed] [Green Version]
- Nakamura, M.; Hatada, H.; Kaneko, Y.; Ogawa, N.; Tokura, Y.; Kawasaki, M. Impact of electrodes on the extraction of shift current from a ferroelectric semiconductor SbSI. Appl. Phys. Lett. 2018, 113, 232901. [Google Scholar] [CrossRef]
- Sugita, A.; Suzuki, K.; Tasaka, S. Ferroelectric properties of a triphenylene derivative with polar functional groups in the crystalline state. Phys. Rev. B 2004, 69, 212201. [Google Scholar] [CrossRef]
- Sasabe, H.; Nakayama, T.; Kumazawa, K.; Miyata, S.; Fukuda, E. Photovoltaic Effect in Poly(vinylidene fluoride). Polym. J. 1981, 13, 967–973. [Google Scholar] [CrossRef]
- Zhang, C.; Nakano, K.; Nakamura, M.; Araoka, F.; Tajima, K.; Miyajima, D. Noncentrosymmetric Columnar Liquid Crystals with the Bulk Photovoltaic Effect for Organic Photodetectors. J. Am. Chem. Soc. 2020, 142, 3326–3330. [Google Scholar] [CrossRef]
- Funahashi, M. High open-circuit voltage under the bulk photovoltaic effect for the chiral smectic crystal phase of a double chiral ferroelectric liquid crystal doped with a fullerene derivative. Mater. Chem. Front. 2021, 5, 8265–8274. [Google Scholar] [CrossRef]
- Wurzbach, I.; Rothe, C.; Bruchlos, K.; Ludwigs, S.; Giesselmann, F. Shear alignment and 2D charge transport of tilted smectic liquid crystalline phases—XRD and FET studies. J. Mater. Chem. C 2019, 7, 2615–2624. [Google Scholar] [CrossRef]
- Yelamaggad, C.V.; Shashikala, I.S.; Hiremath, U.S.; Shankar Rao, D.S.; Prasad, S.K. Liquid crystal dimers possessing chiral rod-like anisometric segments: Synthesis, characterization and electro-optic behaviour. Liq. Cryst. 2007, 34, 153–167. [Google Scholar] [CrossRef]
- Sund, P.; Pettersson, F.; Österbacka, R.; Wilén, C.-E. Conductivity, interaction and solubility of hetero-bifunctional end-capped β,β’-dihexylsubstituted sexithiophenes. J. Appl. Polym. Sci. 2018, 135, 46830. [Google Scholar] [CrossRef]
- Swamy, K.C.K.; Kumar, N.N.B.; Balaraman, E.; Kumar, K.V.P.P. Mitsunobu and Related Reactions: Advances and Applications. Chem. Rev. 2009, 109, 2551–2651. [Google Scholar] [PubMed]
- Shi, Y.-J.; Hughes, D.L.; McNamara, J.M. Stereospecific synthesis of chiral tertiary alkyl-aryl ethers via Mitsunobu reaction with complete inversion of configuration. Tetrahedron Lett. 2003, 44, 3609–3611. [Google Scholar] [CrossRef]
- Bouchta, A.; Nguyen, H.T.; Achard, M.F.; Hardouin, F.; Destrade, C.; Twieg, R.J.; Maaroufi, A.; Isaert, N. New TGBA series exhibiting a SC*SASA*N* phase sequence. Liq. Cryst. 1992, 12, 575–591. [Google Scholar] [CrossRef]
- Hall, A.W.; Lacey, D.; Hill, J.S.; Blackwood, K.M.; Jones, M.; McDonnell, D.G.; Sage, I.C. Synthesis and evaluation of a series of novel 2-substituted poly(allylalcohol) side chain liquid crystalline oligomers exhibiting ferroelectricity. Liq. Cryst. 1996, 20, 437–447. [Google Scholar] [CrossRef]
- McCubbin, A.J.; Snieckus, V.; Lemieux, R.P. Ferroelectric liquid crystals with fluoro- and aza-fluorenone cores: The effect of stereo-polar coupling. Liq. Cryst. 2005, 32, 1195–1203. [Google Scholar] [CrossRef]
- Sackmann, H.; Demus, D. The Problems of Polymorphism in Liquid Crystals. Mol. Cryst. Liq. Cryst. 1973, 21, 239–273. [Google Scholar] [CrossRef]
- Funahashi, M.; Hanna, J. High ambipolar carrier mobility in self-organizing terthiophene derivative. Appl. Phys. Lett. 2000, 76, 2574–2576. [Google Scholar] [CrossRef]
- Rao, P.B.; Rao, N.V.S.; Pisipati, V.G.K.M. The Smectic F Phase in nO.m Compounds. Mol. Cryst. Liq. Cryst. 1991, 206, 9–15. [Google Scholar] [CrossRef]
- Ouchi, Y.; Uemura, T.; Takezoe, H.; Fukuda, A. Molecular Reorientaion Process in Chiral Smectic I Liquid Crystal. Jpn. J. Appl. Phys. 1985, 24, 893–895. [Google Scholar] [CrossRef]
- Uemoto, T.; Yoshino, K.; Inuishi, Y. Electrical and Optical Properties of Ferroelectric Liquid Crystals and Influence of Applied Pressure. Mol. Cryst. Liq. Cryst. 1981, 67, 137–152. [Google Scholar] [CrossRef]
- Doi, T.; Sakurai, Y.; Tamatani, A.; Takenaka, S.; Kusabayashi, S.; Nishihata, Y.; Terauchi, H. Thermal and X-Ray Diffraction Studies of Liquid Crystals incorporating a Perfluoroalkyl Group. J. Mater. Chem. 1991, 1, 169–173. [Google Scholar] [CrossRef]
- Lee, M.; Cho, B.-K.; Kim, H.; Yoon, J.-Y.; Zin, W.-C. Self-Organization of Rod–Coil Molecules with Layered Crystalline States into Thermotropic Liquid Crystalline Assemblies. J. Am. Chem. Soc. 1998, 120, 9168–9179. [Google Scholar] [CrossRef]
- Ting, C.-H.; Hsu, C.-S. Synthesis and photoluminescence property of polyacetylenes containing liquid crystalline side groups. J. Polym. Res. 2001, 8, 159–167. [Google Scholar] [CrossRef]
- Ting, C.-H.; Chen, J.-T.; Hsu, C.-S. Synthesis and Thermal and Photoluminescence Properties of Liquid Crystalline Polyacetylenes Containing 4-Alkanyloxyphenyl trans-4-Alkylcyclohexanoate Side Groups. Macromolecules 2002, 35, 1180–1189. [Google Scholar] [CrossRef]
- Vergara-Toloza, R.O.; Soto-Bustamante, E.A.; Gonzalez-Henriquez, C.M.; Haase, W. Side chain liquid crystalline composites, occurrence of interdigitated bilayer smectic C phases. Liq. Cryst. 2011, 38, 911–916. [Google Scholar] [CrossRef]
- Zhu, P.; Wu, L.; Liu, W.; Li, B.; Li, Y.; Yang, Y. Methylation driven molecular packing difference at the smectic phases of a series of pyridinium-based chiral ionic liquid crystals. Mol. Cryst. Liq. Cryst. 2021, 731, 55–65. [Google Scholar] [CrossRef]
- Hsu, H.-F.; Chien, S.-J.; Chen, H.-H.; Chen, C.-H.; Huang, L.-Y.; Kuo, C.-H.; Chen, K.-J.; Ong, C.W.; Wong, K.-T. Mesogenic and optical properties of α,α’-bis(4-alkoxyphenylethynyl)oligothiophenes. Liq. Cryst. 2005, 32, 683–689. [Google Scholar] [CrossRef]









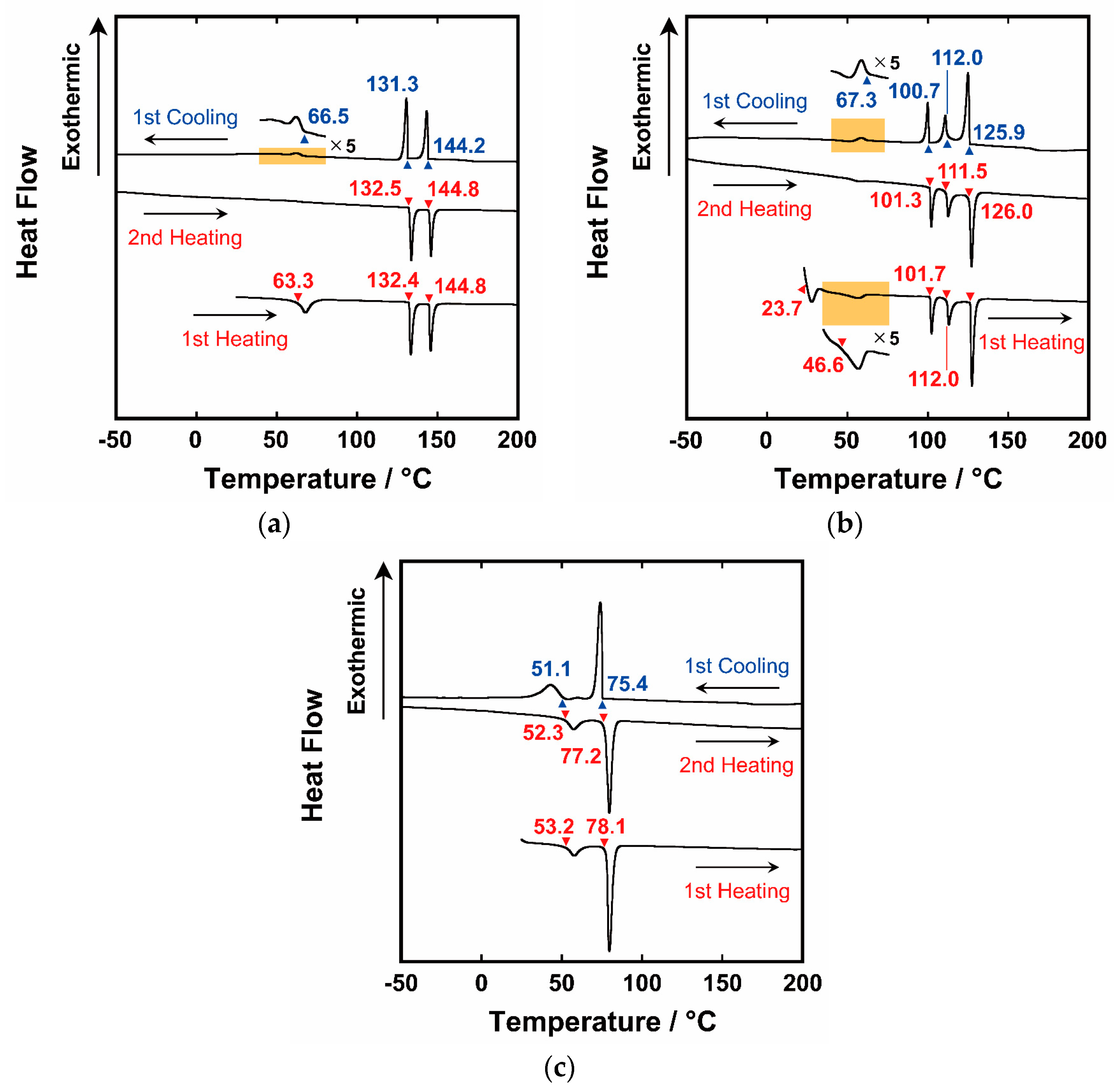
| Compound | Phase Transition Temperature/°C (Enthalpy/kJ mol−1) | |
|---|---|---|
| (R)-1 | first heating | Cr 63 (−13) SmX2* 132 (−13) SmC* 145 (−11) IL |
| first cooling | IL 144 (11) SmC* 131 (12) SmX1* 67 (1) SmX2* | |
| second heating | SmX2* 133 (−13) SmC* 145 (−11) IL | |
| (R)-2 | first heating | Cr 24 (−5) M 47 (−2) SmXd2* 102 (−3) SmXd1* 112 (−4) SmCd* 126 (−9) IL |
| first cooling | IL 126 (9) SmCd* 112 (3) SmXd1* 101 (4) SmXm* 67 (1) SmXd2* | |
| second heating | SmXd2* 101 (−3) SmXd1* 112 (−3) SmCd* 126 (−8) IL | |
| (R)-3 | first heating | Cr2 53 (−9) Cr1 78 (−37) IL |
| first cooling | IL 75 (33) Cr1 51 (18) Cr2 | |
| second heating | Cr2 52 (−9) Cr1 77 (−36) IL | |
| Compound | λabs/nm (Molar Absorption Coefficient/L mol −1 cm−1) | λem/nm | Stokes Shift/eV |
|---|---|---|---|
| (R)-1 | 393 (4.0 × 104) | 451, 478 (a) | 0.406 |
| (R)-2 | 397 (4.7 × 104) | 458, 483 (b) | 0.416 |
| (R)-3 | 390 (5.5 × 104) | 445, 471 (c) | 0.393 |
Publisher’s Note: MDPI stays neutral with regard to jurisdictional claims in published maps and institutional affiliations. |
© 2022 by the authors. Licensee MDPI, Basel, Switzerland. This article is an open access article distributed under the terms and conditions of the Creative Commons Attribution (CC BY) license (https://creativecommons.org/licenses/by/4.0/).
Share and Cite
Seki, A.; Shimizu, K.; Aoki, K. Chiral π-Conjugated Liquid Crystals: Impacts of Ethynyl Linker and Bilateral Symmetry on the Molecular Packing and Functions. Crystals 2022, 12, 1278. https://doi.org/10.3390/cryst12091278
Seki A, Shimizu K, Aoki K. Chiral π-Conjugated Liquid Crystals: Impacts of Ethynyl Linker and Bilateral Symmetry on the Molecular Packing and Functions. Crystals. 2022; 12(9):1278. https://doi.org/10.3390/cryst12091278
Chicago/Turabian StyleSeki, Atsushi, Kazuki Shimizu, and Ken’ichi Aoki. 2022. "Chiral π-Conjugated Liquid Crystals: Impacts of Ethynyl Linker and Bilateral Symmetry on the Molecular Packing and Functions" Crystals 12, no. 9: 1278. https://doi.org/10.3390/cryst12091278
APA StyleSeki, A., Shimizu, K., & Aoki, K. (2022). Chiral π-Conjugated Liquid Crystals: Impacts of Ethynyl Linker and Bilateral Symmetry on the Molecular Packing and Functions. Crystals, 12(9), 1278. https://doi.org/10.3390/cryst12091278

