Angular Quasi-Phase-Matching in Periodically Poled Uniaxial and Biaxial Crystals
Abstract
:1. Introduction
2. Generalized AQPM
3. Polarization Configurations and Effective Coefficient
4. Symmetry and Topology Analyses
4.1. Symmetry Group Approach
- The first case is that of type V, where the three interacting waves solicit the ordinary index layer so that the AQPM symmetry group restricts to .
- The second case deals with the seven other types that involve at least one polarization mode related to the extraordinary index layer, i.e., types I, II, II, IV, VI, VII and VIII. Here, the symmetry group is provided by , where is the finite group of orientation symmetry of the orthorhombic system: it corresponds to the three mirrors m with respect to the three principal planes of the dielectric frame.
4.2. Topologies of Generalized AQPM
5. Experimental Validation of the AQPM
5.1. Setups and Methods
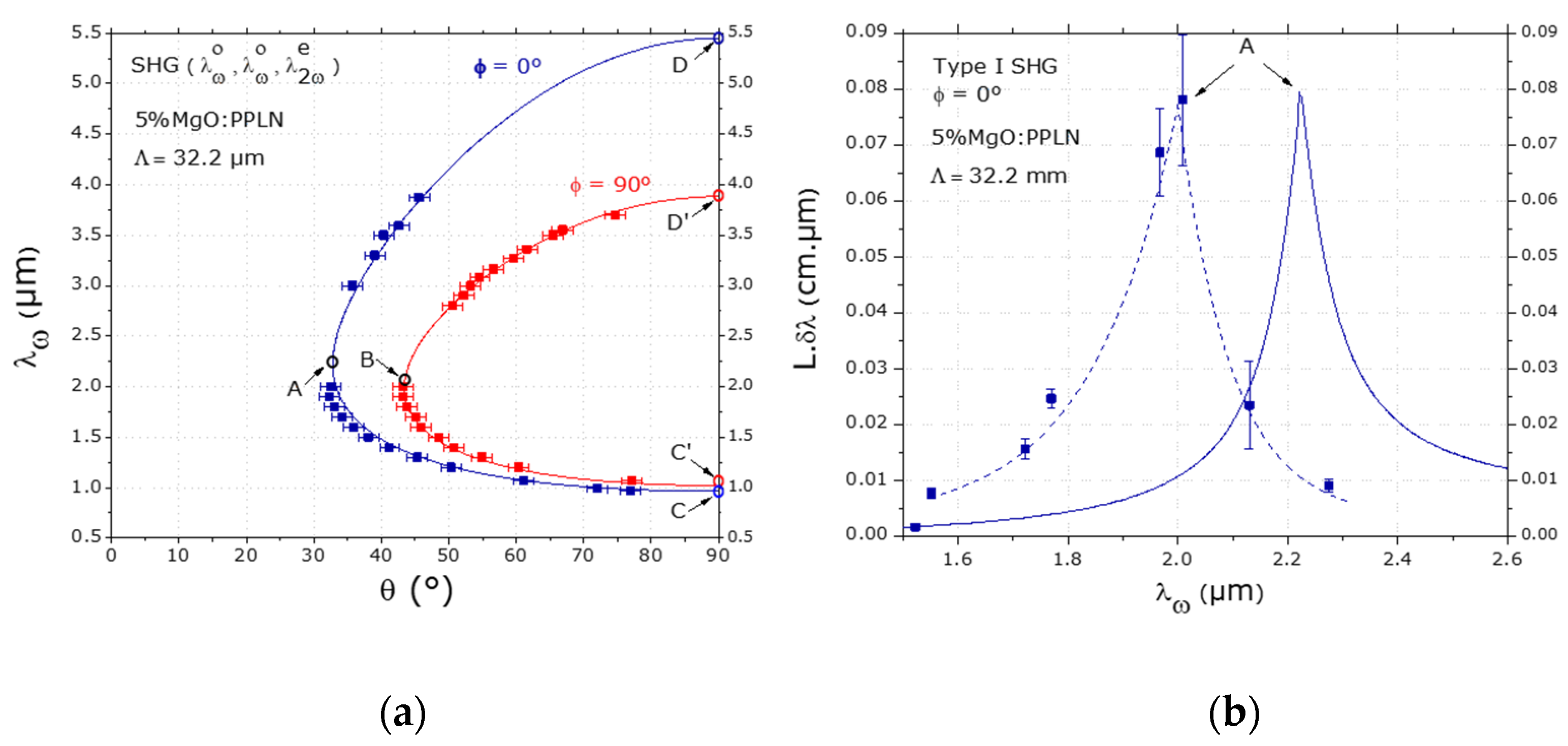
5.2. Experimental Demonstrations of AQPM SHG
5.3. Experimental Demonstrations of AQPM OPO
6. Conclusions
Author Contributions
Funding
Institutional Review Board Statement
Informed Consent Statement
Data Availability Statement
Acknowledgments
Conflicts of Interest
References
- Franken, P.A.; Hill, A.E.; Peters, C.W.; Weinreich, G. Generation of optical harmonics. Phys. Rev. Lett. 1961, 7, 118. [Google Scholar] [CrossRef] [Green Version]
- Armstrong, J.A.; Bloembergen, N.; Ducuing, J.; Pershan, P.S. Interactions between Light Waves in a Nonlinear Dielectric. Phys. Rev. 1962, 127, 1918. [Google Scholar] [CrossRef]
- Hobden, M.V. Phase-matched second-harmonic generation in biaxial crystals. J. Appl. Phys. 1967, 38, 4365. [Google Scholar] [CrossRef]
- Fève, J.; Boulanger, B.; Marnier, G. Calculation and classification of the direction loci for collinear types I, II and III phase-matching of three-wave nonlinear optical parametric interactions in uniaxial and biaxial acentric crystals. Opt. Commun. 1993, 99, 284. [Google Scholar] [CrossRef]
- Stepanov, D.Y.; Shigorin, V.D.; Shipulo, G.P. Phase matching directions in optical mixing in biaxial crystals having quadratic susceptibility. Sov. J. Quantum Electron. 1984, 14, 1315. [Google Scholar] [CrossRef]
- Fejer, M.; Magel, G.; Jundt, D.; Byer, R. Quasi-phase-matched second harmonic generation: Tuning and tolerances. IEEE J. Quantum Electron. 1992, 28, 2631. [Google Scholar] [CrossRef] [Green Version]
- Eyres, L.A.; Tourreau, P.J.; Pinguet, T.J.; Ebert, C.B.; Harris, J.S.; Fejer, M.M.; Becouarn, L.; Gerard, B.; Lallier, E. All-epitaxial fabrication of thick, orientation-patterned GaAs films for nonlinear optical frequency conversion. Appl. Phys. Lett. 2001, 79, 904. [Google Scholar] [CrossRef]
- Haïdar, R.; Forget, N.; Kupecek, P.; Rosencher, E. Fresnel phase matching for three-wave mixing in isotropic semiconductors. J. Opt. Soc. Am. B 2004, 21, 1522. [Google Scholar] [CrossRef]
- Fiore, A.; Berger, V.; Rosencher, E.; Bravetti, P.; Nagle, J. Phase matching using an isotropic nonlinear optical material. Nature 1998, 391, 463. [Google Scholar] [CrossRef]
- Rosencher, E.; Winter, B. Optoelectronics; Cambridge University Press: Cambridge, UK, 2002. [Google Scholar]
- Fève, J.-P.; Pacaud, O.; Boulanger, B.; Ménaert, B.; Hellström, J.; Pasiskevicius, V.; Laurell, F. Widely and continuously tunable optical parametric oscillator based on a cylindrical periodically poled KTiOPO4 crystal. Opt. Lett. 2001, 26, 1882–1884. [Google Scholar] [CrossRef]
- Fève, J.-P.; Boulanger, B.; Ménaert, B.; Pacaud, O. Continuous tuning of a microlaser-pumped optical parametric generator by use of a cylindrical periodically poled lithium niobate crystal. Opt. Lett. 2003, 28, 1028. [Google Scholar] [CrossRef]
- Ishizuki, H.; Shoji, I.; Taira, T. Periodical poling characteristics of congruent MgO:LiNbO3 crystals at elevated temperature. Appl. Phys. Lett. 2003, 82, 4062. [Google Scholar] [CrossRef]
- Zukauskas, A.; Thilmann, N.; Pasiskevicius, V.; Laurell, F.; Canalias, C. 5 mm thick periodically poled Rb-doped KTP for high energy optical parametric frequency conversion. Opt. Mater. Express 2011, 1, 201. [Google Scholar] [CrossRef]
- Petit, Y.; Boulanger, B.; Segonds, P.; Taira, T. Angular quasi-phase-matching. Phys. Rev. A 2007, 76, 063817. [Google Scholar] [CrossRef]
- Brand, P.; Boulanger, B.; Segonds, P.; Petit, Y.; Félix, C.; Menaert, B.; Taira, T.; Ishizuki, H. Angular quasi-phase-matching: Theory and first experiments. Proc. SPIE 2009, 7197, 719706. [Google Scholar]
- Brand, P.; Boulanger, B.; Segonds, P.; Petit, Y.; Félix, C.; Ménaert, B.; Taira, T.; Ishizuki, H. Angular quasi-phase-matching experiments and determination of accurate Sellmeier equations for 5%MgO:PPLN. Opt. Lett. 2009, 34, 2578–2580. [Google Scholar] [CrossRef]
- Petit, Y.; Brand, P.; Boulanger, B.; Segonds, P. Classification of angular quasi-phase matching loci in periodically poled uniaxial crystals. Opt. Mater. 2010, 32, 1501–1507. [Google Scholar] [CrossRef]
- Hum, D.S.; Route, R.K.; Fejer, M.M. Quasi-phase-matched second-harmonic generation of 532 nm radiation in 25°-rotated, x-cut, near-stoichiometric, lithium tantalate fabricated by vapor transport equilibration. Opt. Lett. 2007, 32, 961–963. [Google Scholar] [CrossRef]
- Lu, D.; Peña, A.; Segonds, P.; Debray, J.; Joly, S.; Zukauskas, A.; Laurell, F.; Pasiskevicius, V.; Yu, H.; Zhang, H.; et al. Validation of the angular quasi-phase-matching theory for the biaxial optical class using PPRKTP. Opt. Lett. 2018, 43, 4276. [Google Scholar] [CrossRef]
- Petit, Y.; Peña, A.; Segonds, P.; Debray, J.; Joly, S.; Zukauskas, A.; Laurell, F.; Pasiskevicius, V.; Canalias, C.; Boulanger, B. Demonstration of Negative First-Order Quasi-Phase Matching in a periodically-poled Rb-doped KTiOPO4 crystal. Opt. Lett. 2020, 45, 6026–6029. [Google Scholar] [CrossRef]
- Yariv, A.; Yeh, P. Optical Waves in Crystrals; Wiley: New York, UY, USA, 2002. [Google Scholar]
- Boulanger, B.; Zyss, J.J. Non-linear Optical properties, Chapter 1.7. In International Tables for Crystallography, Vol. D: Physical Properties of Crystals; Authier, A., Ed.; International Union of Crystallography, Kluwer Academic Publisher: Dordrecht, The Netherlands, 2013; pp. 181–222. [Google Scholar]
- Yao, J.Q.; Fahlen, T.S. Calculations of optimum phase match parameters for the biaxial crystal KTiOPO4. J. Appl. Phys. 1984, 55, 65. [Google Scholar] [CrossRef] [Green Version]
- Boulanger, B.; Segonds, P.; Ménaert, B.; Zaccaro, J. Spheres and cylinders in nonlinear optics. Opt. Mat. 2004, 26, 459–464. [Google Scholar] [CrossRef]
- Ménaert, B.; Debray, J.; Zaccaro, J.; Segonds, P.; Boulanger, B. Cutting and polishing bulk cylinders and spheres for linear and nonlinear optics. Opt. Mat. Express 2017, 7, 3017–3022. [Google Scholar] [CrossRef]
- Boulanger, B.; Fève, J.P.; Marnier, G.; Bonnin, C.; Villeval, P.; Zondy, J.J. Absolute measurement of quadratic nonlinearities from phase-matched second-harmonic generation in a single KTP crystal cut as a sphere. J. Opt. Soc. Am. B 1997, 14, 1380–1386. [Google Scholar] [CrossRef]
- CASIX Company. LiNbO3 Crystal Series. Available online: https://www.casix.com/products/crystal-products/non-linear-optical-crystals/linb03-crystal.shtml (accessed on 1 February 2022).
- Fève, J.P.; Pacaud, O.; Boulanger, B.; Ménaert, B.; Hellström, J.; Laurell, F. Widely and continuously tunable quasi-phase-matched OPO using a cylindrical ppKTP crystal. In Proceedings of the CLEO’01-Conference on Lasers and Electro-Optics, PDP, Baltimore, MD, USA, 6–11 May 2001. [Google Scholar]
- Kemlin, V.; Jegouso, D.; Debray, J.; Segonds, P.; Boulanger, B.; Ménaert, B.; Ishizuki, H.; Taira, T. Widely tunable Optical Parametric Oscillator in a 5 mm-thick 5%MgO:PPLN partial cylinder. Opt. Lett. 2013, 38, 860–862. [Google Scholar] [CrossRef]
- Karlsson, H.; Laurell, F. Electric field poling of flux grown KTiOPO4. Appl. Phys. Lett. 1997, 71, 3474. [Google Scholar] [CrossRef]
- Rotermund, F.; Yoon, C.J.; Petrov, V.; Noack, F.; Kurimura, S.; Yu, N.-E.; Kitamura, K. Application of periodically poled stoichiometric LiTaO3 for efficient optical parametric chirped pulse amplification at 1 kHz. Opt. Express 2004, 12, 6421–6427. [Google Scholar] [CrossRef]
- Kurimura, S.; Harada, M.; Muramatsu, K.-I.; Ueda, M.; Adachi, M.; Yamada, T.; Ueno, T. Quartz revisits nonlinear optics: Twinned crystal for quasi-phase matching [Invited]. Opt. Mater. Express 2011, 1, 1367–1375. [Google Scholar] [CrossRef]
- Tanimoto, R.; Takahashi, Y.; Shoji, I. Quasi-phase-matching stack of 25 GaAs plates with high transmittance for high-power mid-infrared wavelength conversion fabricated by use of room-temperature bonding. J. Opt. Soc. Am. B 2021, 38, B30. [Google Scholar] [CrossRef]
- Vodopyanov, K.L.; Sorokin, E.; Sorokina, I.T.; Schunemann, P.G. Mid-IR frequency comb source spanning 4.4–5.4 µm based on subharmonic GaAs optical parametric oscillator. Opt. Lett. 2011, 36, 2275–2277. [Google Scholar] [CrossRef]
- Mustelier, A.; Rosencher, E.; Kupecek, K.; Godard, A.; Baudrier, M.; Lefèbvre, M.; Poulat, M.; Mennerat, G.; Pasquer, C.; Lemasson, P. Mid-IR difference frequency generation in quasi-phase matched diffusion bonded ZnSe plates. Appl. Phys. Lett. 2004, 84, 4424. [Google Scholar] [CrossRef]
- Berger, V. Nonlinear photonic crystals. Phys. Rev. Lett. 1998, 81, 4136. [Google Scholar] [CrossRef] [Green Version]
- Lifshitz, R.; Arie, A.; Bahabad, A. Photonic quasi-crystals for nonlinear optical frequency conversion. Phys. Rev. Lett. 2005, 95, 133901. [Google Scholar] [CrossRef] [Green Version]
- Ousaid, S.M.; Chakaroun, M.; Chang, K.-H.; Billeton, T.; Peng, L.-H.; Boudrioua, A. Multi-resonant optical parametric oscillator without mirrors based on 1D and 2D-PPLT nonlinear photonic crystal. EPJ Web Conf. 2020, 238, 11003. [Google Scholar] [CrossRef]
- Karam, L.; Adamietz, F.; Michau, D.; Gonçalves, C.; Kang, M.; Sharma, R.; Murugan, G.S.; Cardinal, T.; Fargin, E.; Rodriguez, V.; et al. Electrically Micro-Polarized Amorphous Sodo-Niobate Film Competing with Crystalline Lithium Niobate Second-Order Optical Response. Adv. Opt. Mater. 2020, 8, 2000202. [Google Scholar] [CrossRef]
- Papon, G.; Marquestaut, N.; Petit, Y.; Royon, A.; Dussauze, M.; Rodriguez, V.; Cardinal, T.; Canioni, L. Femtosecond direct laser poling of sub-micron, stable and efficient second-order optical properties in a tailored silver phosphate glass. J. Appl. Phys. 2014, 115, 113103. [Google Scholar] [CrossRef] [Green Version]
- Thomas, J.; Hilbert, V.; Geiss, R.; Pertsch, T.; Tunnermann, A.; Nolte, S. Quasi-phase-matching in femtosecond pulse volume structured x-cut lithium niobite. Laser Photonics Rev. 2013, 7, 17–20. [Google Scholar] [CrossRef]
- Wei, D.; Wang, C.; Wang, H.; Hu, X.; Wei, D.; Fang, X.; Zhang, Y.; Wu, D.; Hu, Y.; Li, J.; et al. Experimental demonstration of a three-dimensional lithium niobate nonlinear photonic crystal. Nat. Photonics 2018, 12, 596–600. [Google Scholar] [CrossRef]
- Xu, T.; Świtkowski, K.; Chen, X.; Liu, S.; Koynov, K.; Yu, H.; Zhang, H.; Wang, J.; Sheng, Y.; Krolikowski, W. Three-dimensional nonlinear photonic crystal in ferroelectric barium calcium titanate. Nat. Photonics 2018, 12, 591–595. [Google Scholar] [CrossRef]
- Shao, M.; Liang, F.; Yu, H.; Zhang, H. Angular engineering strategy of an additional periodic phase for widely tunable phase-matched deep-ultraviolet second harmonic generation. Light. Sci. Appl. 2022, 11, 31. [Google Scholar] [CrossRef] [PubMed]
- Ledezma, L.; Sekine, R.; Guo, Q.; Nehra, R.; Jahani, S.; Marandi, A. Intense optical parametric amplification in dispersion-engineered nanophotonic lithium niobate waveguides. Optica 2022, 9, 303. [Google Scholar] [CrossRef]














| Type (2ω ω ω) | |
|---|---|
| I (e o o) | |
| II = III (e e o) | |
| IV (e e e) | |
| V (o o o) | |
| VI = VII (o e o) | |
| VIII (o e e) |
| yz-Plane | |
|---|---|
| Type (2ω ω ω) | |
| I (o e e) | 0 |
| II = III (o o e) | |
| IV (o o o) | 0 |
| V (e e e) | |
| VI = VII (e o e) | 0 |
| VIII (e o o) |
| xy-Plane | |
|---|---|
| Type (2ω ω ω) | |
| I (o e e) | 0 |
| II = III (o o e) | |
| IV (o o o) | 0 |
| V (e e e) | |
| VI = VII (e o e) | 0 |
| VIII (e o o) |
| xz-Plane | ||
|---|---|---|
| Type (2ω ω ω) | ||
| I (e o o) (o e e) | 0 | |
| II = III (e e o) (o o e) | 0 | |
| IV (e e e) (o o o) | 0 | |
| V (o o o) (e e e) | 0 | |
| VI = VII (o e o) (e o e) | ||
| 0 | ||
| VIII (o e e) (e o o) | 0 | |
Publisher’s Note: MDPI stays neutral with regard to jurisdictional claims in published maps and institutional affiliations. |
© 2022 by the authors. Licensee MDPI, Basel, Switzerland. This article is an open access article distributed under the terms and conditions of the Creative Commons Attribution (CC BY) license (https://creativecommons.org/licenses/by/4.0/).
Share and Cite
Petit, Y.; Peña, A.; Joly, S.; Lu, D.; Segonds, P.; Boulanger, B. Angular Quasi-Phase-Matching in Periodically Poled Uniaxial and Biaxial Crystals. Crystals 2022, 12, 979. https://doi.org/10.3390/cryst12070979
Petit Y, Peña A, Joly S, Lu D, Segonds P, Boulanger B. Angular Quasi-Phase-Matching in Periodically Poled Uniaxial and Biaxial Crystals. Crystals. 2022; 12(7):979. https://doi.org/10.3390/cryst12070979
Chicago/Turabian StylePetit, Yannick, Alexandra Peña, Simon Joly, Dazhi Lu, Patricia Segonds, and Benoît Boulanger. 2022. "Angular Quasi-Phase-Matching in Periodically Poled Uniaxial and Biaxial Crystals" Crystals 12, no. 7: 979. https://doi.org/10.3390/cryst12070979
APA StylePetit, Y., Peña, A., Joly, S., Lu, D., Segonds, P., & Boulanger, B. (2022). Angular Quasi-Phase-Matching in Periodically Poled Uniaxial and Biaxial Crystals. Crystals, 12(7), 979. https://doi.org/10.3390/cryst12070979

