Next Article in Journal
Demonstration of Molecular Tunneling Junctions Based on Vertically Stacked Graphene Heterostructures
Next Article in Special Issue
Pyroelectric and Ferroelectric Properties of Hafnium Oxide Doped with Si via Plasma Enhanced ALD
Previous Article in Journal
Structure Tuning of Hafnium Metal–Organic Frameworks through a Mixed Solvent Approach
Previous Article in Special Issue
Phase Diagram of a Strained Ferroelectric Nanowire
 
 
Font Type:
Arial Georgia Verdana
Font Size:
Aa Aa Aa
Line Spacing:
Column Width:
Background:
Article

Ferroelectric Memory Based on Topological Domain Structures: A Phase Field Simulation

1
School of Materials and Engineering, Xiangtan University, Xiangtan 411105, China
2
Institute of Biomedical & Health Engineering, Shenzhen Institute of Advanced Technology (SIAT), Chinese Academy of Sciences (CAS), Shenzhen 518035, China
3
Department of Materials Science and Engineering, Southern University of Science and Technology, Shenzhen 518055, China
*
Author to whom correspondence should be addressed.
Crystals 2022, 12(6), 786; https://doi.org/10.3390/cryst12060786
Submission received: 7 May 2022 / Revised: 26 May 2022 / Accepted: 26 May 2022 / Published: 29 May 2022
(This article belongs to the Special Issue Research and Development of Ferroelectric Material)

Abstract

:
The low storage density of ferroelectric thin film memory currently limits the further application of ferroelectric memory. Topologies based on controllable ferroelectric domain structures offer opportunities to develop microelectronic devices such as high-density memories. This study uses ferroelectric topology domains in a ferroelectric field-effect transistor (FeFET) structure for memory. The electrical behavior of FeFET and its flip properties under strain and electric fields are investigated using a phase-field model combined with the device equations of field-effect transistors. When the dimensionless electric field changes from −0.10 to 0.10, the memory window drops from 2.49 V to 0.6 V and the on-state current drops from 2.511 mA to 1.951 mA; the off-state current grows from 1.532 mA to 1.877 mA. External tensile stress increases the memory window and off-state current, while compressive stress decreases it. This study shows that a ferroelectric topology can be used as memory and could significantly increase the storage density of ferroelectric memory.

1. Introduction

Ferroelectric memory, which features non-volatile memory, is used in defense and civilian products, such as security systems, aerospace and automotive electronics, and smart cards [1,2]. However, the low storage density of ferroelectric memory based on ferroelectric thin film limits its further application. Numerous methods have been proposed to improve the storage density of ferroelectric memory. The most frequently mentioned is the increasing of the storage density in ferroelectric memory by reducing the area of a single memory cell. Chiu demonstrated the switchable diode characteristics in highly strained BiFeO3(BFO) thin films, significantly reducing the memory dimension with the same storage capacity [3]. The size reduction would result in a noticeable degradation of ferroelectric performance, which would impact data storage and reading [4,5,6,7,8,9]. It has been reported that novel polarized topological domain structures are formed when ferroelectric materials are scaled down to the nanoscale [10,11,12,13,14]. Li demonstrated that central topological domains could spontaneously form in BFO nano-islands [15]. Under the application of electric fields, a reversible switch can be found between two morphologies of central convergence and central divergence. Tang observed the atomic morphology of the flux-closure quadrant, as well as a periodic array of flux closures in ferroelectric PbTiO3 films, which were mediated by tensile strain on a GdScO3 substrate using aberration-corrected scanning transmission electron microscopy [16]. It has been noted that the different states of ferroelectric topology can be used to record the “1” and “0” of binary information [17]. Using the ferroelectric topological domain structure as the basic information storage unit efficiently achieves high-density storage. Biswas achieved the reversible switching of partial topological domains by applying an electric field to two pairs of electrodes on Pb(Mg1/3Nb2/3)O3-PbTiO3 substrates [17]. Ping realized that skyrmions could be created locally via an electric field in the magnetoelectric helimagnet Cu2OSeO3 [18]. Significant domain wall conduction was found in diamond-shaped BFO nano-islands embedded in a tetragonal phase matrix, leading to current readout in different types of center states and promising the development of non-volatile memories with current readout [19]. Other topological states have been found in isolated nanostructures. For instance, Schilling [20] et al., McGilly [21] et al., and McQuaid [22] et al., reported closed quadrant states in the single crystal nanoplates of BaTiO3. The application of polarized topological domains in ferroelectrics has potential application prospects in ferroelectric memory. These studies primarily investigated the flip-flop of ferroelectric topology under external field conditions. They did not investigate storage properties such as memory windows. These studies also identified critical issues, which must be addressed before ferroelectric topology domain structures can be realized for storage. To the best of our knowledge, there are still relatively few systematic studies on the electric properties of the output characteristics of topology-based domain memory. Additionally, the experimental tuning of topological domain structures is already complicated; it is even more challenging to implement when used as a basic storage unit for memory.
In this study, to model the generation of ferroelectric topological domain structures and realize storage, a phase-field approach was applied to obtain the topological domain structure of ferroelectrics. Topological domain structure-based ferroelectric memory is controlled using electric and force fields based on field-effect transistor device equations. The simulation results establish a theoretical foundation for topological domain storage.

2. The Simulation Methodology

PbTiO3 (PTO) has a high Curie temperature (490 °C) and a substantial spontaneous polarization, allowing it to be used in various ferroelectric devices. The research objective in this work was PTO. The topological domain structure of ferroelectrics was obtained by using the phase field method. F is the total free energy of the ferroelectrics, which is described as [23]:
F = α i P i 2 + α i j P i 2 P j 2 + α i j k P i 2 P j 2 P k 2 + 1 2 c i j k l ε i j ε k l q i j k l ε i j P k P l + 1 2 g i j k l P i , j P k l l 1 2 ε 0 ε r E i E i E i P i ,
where P i , ε i j , and Ei are the polarization, strain, and electric field components, respectively. The electric field Ei = (E1, E2, E3) in Equation (1) is extended to include the uncurled electric field EUnc generated by the inhomogeneous polarization, the depolarization field, and a prescribed curled electric field. S is the coiled field’s vorticity vector and u is the displacement vector [24,25]. In Equation (1), αi, αij, and αijk are the higher-order dielectric stiffness coefficients, cijkl is the elastic constant, qijkl is the electrostrictive coefficient, gijkl is the gradient energy coefficient, ε0 is the gradient energy coefficient, and εr is the relative dielectric constant. The topological domain of the ferroelectrics was then obtained by solving the time-dependent Ginzburg–Landau (TDGL) equation [26,27]:
P i ( r , t ) t = L δ F δ P i ( r , t ) ( i = 1 , 2 , 3 )
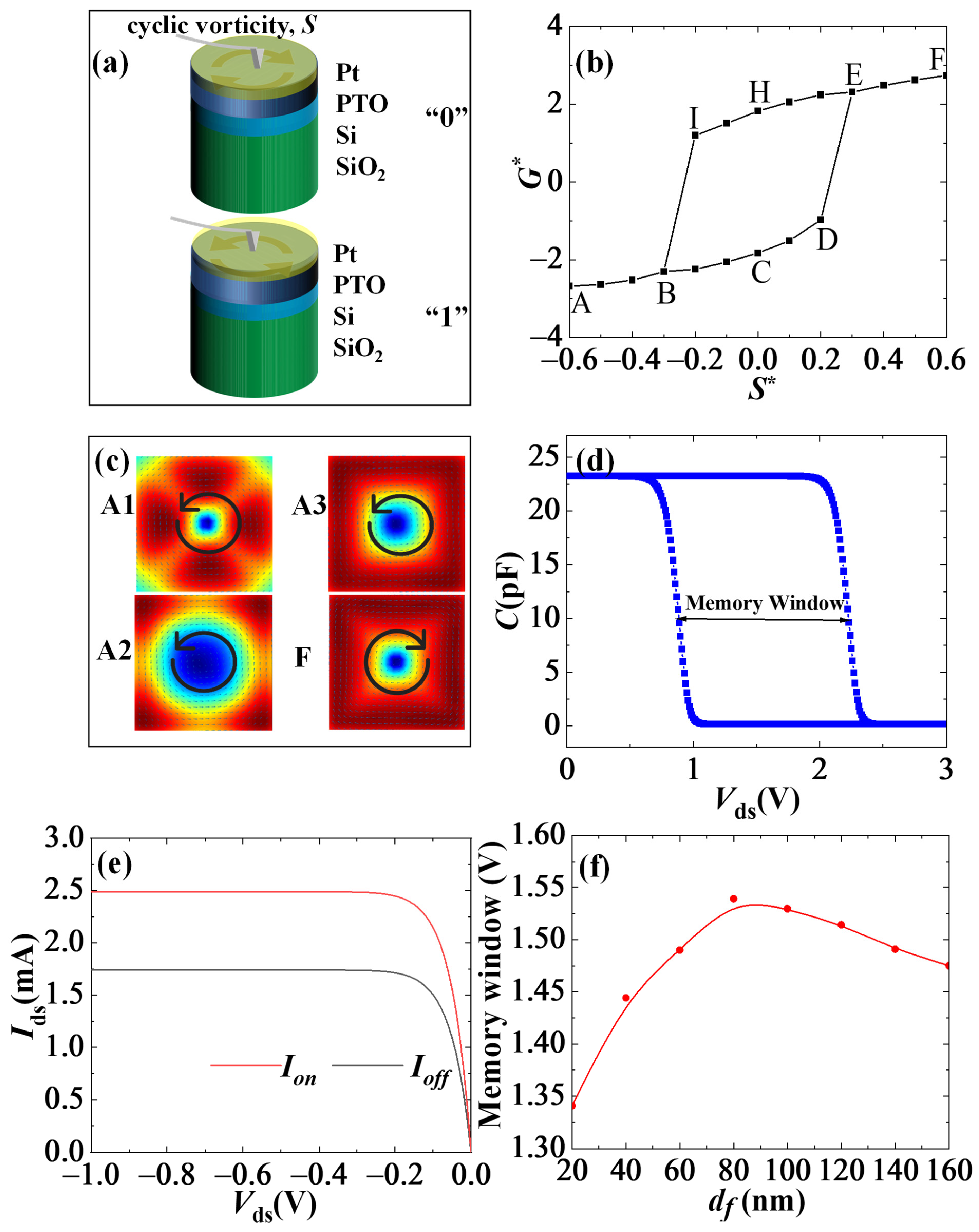
where r and t are the spatial vector and time, respectively. L is the kinetic coefficient; i = 1, 2, 3 corresponds to the x, y, and z directions, respectively. To facilitate the calculation, the parameters were dimensionless in the simulation. The dimensionless process of the cyclic vorticity S and the toroidal moment G is where the characteristic moment is defined as G0 = u0P0 =1 nm × 0.757 C/m2 = 0.47 e/Å, in which u0 and P0 are the duple characteristic length and characteristic polarization, respectively [28]. The selection and details of other dimensionless parameters are described in our previous work [26]. Transistors based on ferroelectric nanodots with topology domain structures were studied in the simulation. The cross-section of the transistors is shown in Figure 1a. The different chirality of the ferroelectric layer vortex indicates the stored “0” and “1”. The top metal electrode is metal Pt with an extremely high work function (5.6 eV) and a thickness of 80 nm, and the ferroelectric layer is a PTO under the metal electrode. The semiconductor layer is Si with a thickness of 600 nm, the most widely used semiconductor material, and the insulating layer is a SiO2 layer with a thickness of 140 nm, which can easily be grown on a silicon substrate. In addition to the two-dimensional case, which reflects most of the critical properties of the ferroelectric topological domain structure, topological domains were found to exist in the plane in our previous study; therefore, we used a two-dimensional phase field model in this study [29]. The ferroelectric topology domain structure in PTO is modeled on a discretely sized grid and the grid spacing is set as Δx* = Δz* = 0.3, corresponding to the actual size of 7.2 nm; the time step is set as Δt* = 10,000.
The device equations of field-effect transistors were then developed to study the electric properties of the ferroelectric memory. Gate voltage is expressed as [28]:
V g = V f + V i + ψ s
where Vf = dfEf denotes the corresponding voltage drop on the ferroelectric layer and Vi = diEi denotes the corresponding voltage drop on the insulator layer; df and di are the corresponding thicknesses of the ferroelectric layer and the insulator layer, respectively. Ef and Ei represent the electric field applied on the ferroelectric and insulator layers and ψs denotes the corresponding surface potential of the silicon substrate. The electric displacement is written as [30]:
D = ε 0 ε f E f + P ( E f ) = ε 0 ε i E i = ε 0 ε s i E s i = Q s
where ε f , ε i , and ε s i are the relative dielectric constant of the ferroelectric layer, the relative dielectric constant of the insulator layer, and the relative dielectric constant of the silicon substrate, respectively. P(Ef) denotes the polarization of the switching dipoles and Qs denotes the space charge density on a silicon substrate, which can be written as [29]:
Q s ( ψ s ) = s i g n ( ψ s ) 2 ε 0 ε i β L D ( n i 2 N D 2 ( e β ψ s + β ψ s 1 ) + ( e β ψ s β ψ s 1 ) ) 1 / 2
According to Gauss’s theorem, the capacitance of a ferroelectric capacitor can be described as [31]:
C S i ( ψ s ) = A i ε i ε 0 2 L D ( n i 2 N D 2 ( e β ψ s + 1 ) + ( e β ψ s 1 ) ) ( n i 2 N D 2 ( e β ψ s + β ψ s 1 ) + ( e β ψ s β ψ s 1 ) ) 1 / 2
where L D = ε 0 ε S ϕ t / q N D represents the bulk Debye length. The capacitance of ferroelectrics and insulation is written as Cf = Afε0εf/df, Ci = Aiε0εi/di and the total capacitance as Ctotal = (Cf−1+ Ci−1+ CSi−1)−1. The leakage current (Ids) is [32]:
I d s = q μ W L 0 V d s ψ b ψ s ( n i 2 / N D ) e β ( ψ V ) ξ ( ψ , V ) d ψ d V
where q is the electron charge and W and L are the effective conductive channel width and effective conductive channel length on the surface of the substrate, respectively. ψ is the difference between the Fermi level and the intrinsic Fermi level of the substrate. ψ b = ϕ ln ( N D n i ) , ϕ = k T / q is the thermodynamic potential of the system, whereby k denotes the Boltzmann constant and thermodynamic temperature. The C-Vds relation and the output characteristic (Ids-Vds) curve can be obtained.

3. Results and Discussion

Figure 1a depicts the structure of the ferroelectric topology domain transistor. At room temperature, Figure 1b shows annular moment G* and its response to cyclic vorticity S*(df = 20 nm). The superscript * indicates the corresponding dimensionless posterior parameter. The counterclockwise start domain structure, denoted as A, is shown in Figure 1c in illustration A3, and the toroidal moment is −2.6775. After that, cyclic vorticity S* is increased from −0.6 to 0.6 with a magnitude of −0.6. The inset A1 and A2 depict the evolution of the topological domain structure with time at point A, with time increments of 500 steps and 5000 steps, respectively. When the vorticity increases to 0.3, the polarized vortex switches and the topological domain structure becomes anti-counterclockwise. When S* grows to 0.6 with a toroidal moment of 2.3166, the topological domain structure at this point is shown in Figure 1c in illustration F. When cyclic vorticity S* decreases from 0.6 to −0.6, cyclic vorticity switches from the F-I-B point and the toroidal moment change decreases from 2.7431 to −2.3056. The response to cyclic vorticity shows an asymmetric rectangular hysteresis line, which indicates that polarized vortices in ferroelectric topological domains have potential applications in future high-density memories, such as the P-E loop of the ferroelectric thin film. Cyclic vorticity from the F-I-B point and the vorticity moment change drops from 2.7431 to −2.3056 when cyclic vorticity S* declines from 0.6 to −0.6. An asymmetric rectangular hysteresis line appears in response to the cyclic vorticity, indicating that polarized vortices in ferroelectric topological domains could be used in future high-density memory.
The C-Vds and Ids-Vds characteristic curves were then investigated under the influence of cyclic vorticity. When the memory window is 1.3407 V, the open-state current is 2.487 mA and the closed-state current is 1.7388 mA (Figure 1e) (df = 20 nm). The C-Vds curve is shown in Figure 1d (df = 20 nm), which is larger than the memory window of 1.08V in the literature [33]. The results indicate that the ferroelectric topology domain structure is feasible for storage and that transistors are based on a topological domain structure with a large memory window. Information storage cells based on this polar architecture are theoretically capable of achieving ultra-high density memory with an area density of more than 12 Tbit/in2.
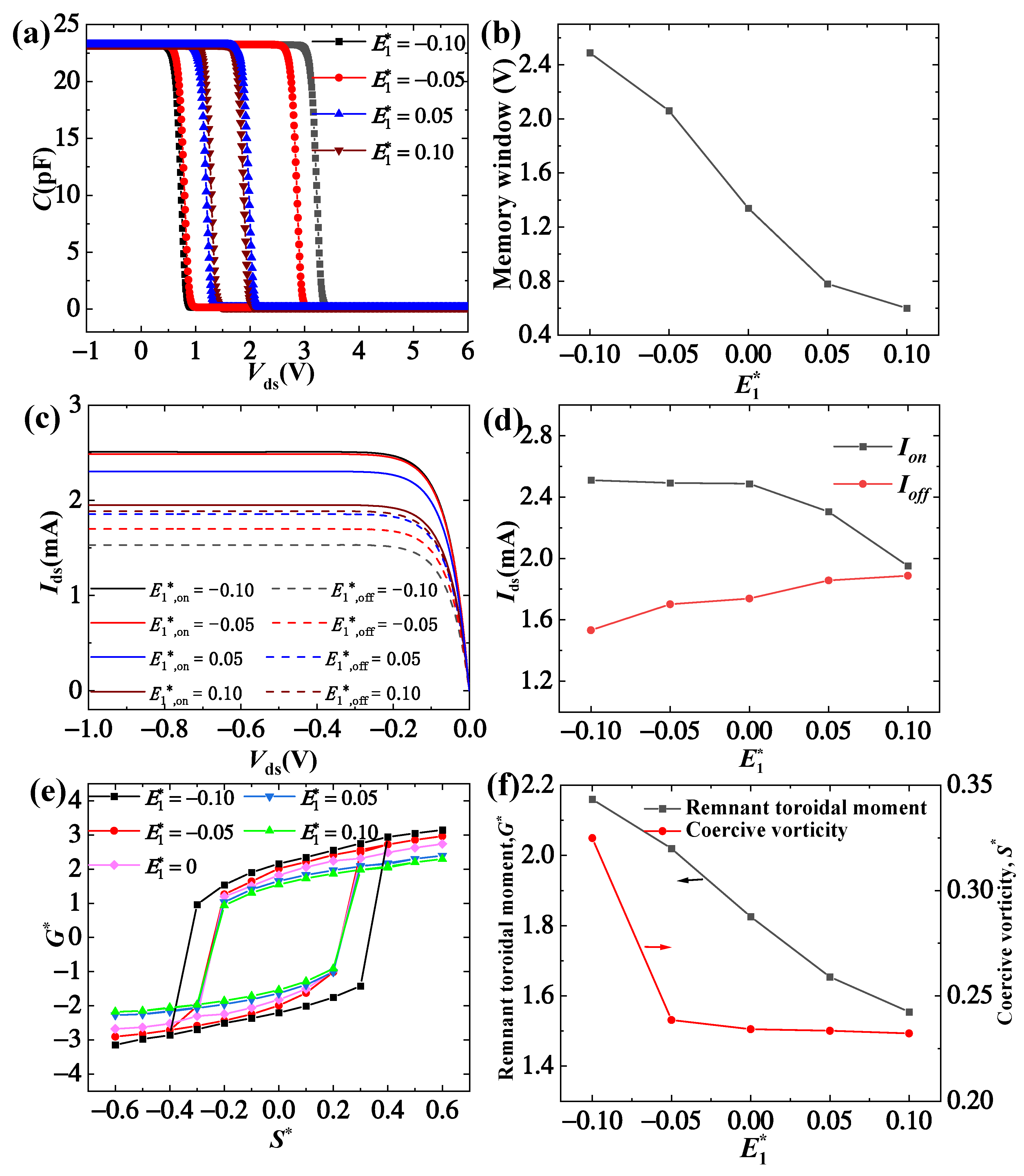
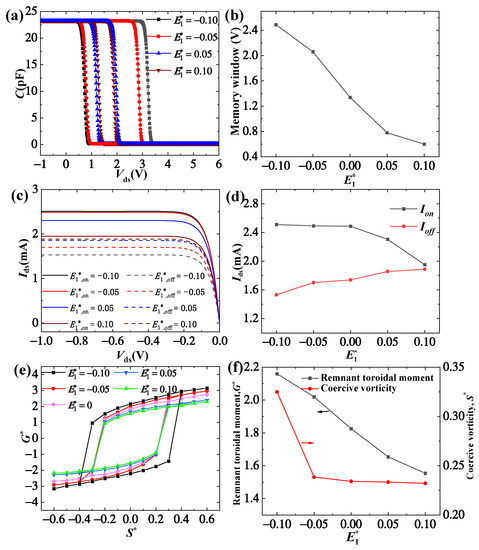
A change in the thickness of the ferroelectric layer leads to a change in the voltage shared on the ferroelectric layer, which in turn affects the magnitude of the ferroelectric layer capacitance and thus the size of the storage window of the device [34]. Therefore, it is important to study the effect of a ferroelectric layer’s thickness on its memory window. Figure 1f shows the effect of different ferroelectric layer thicknesses on the storage window of FeFETs. It is evident that as the thickness increases, the storage window tends to increase and then decrease, reaching a maximum thickness of 80 nm. This is because the voltage on the ferroelectric layer increases as the thickness increases, and the increase in voltage makes the ferroelectric film polarization of the ferroelectric layer more adequate, thus making the storage window larger. However, as the thickness continues to increase, the voltage of the ferroelectric layer is no longer sufficient to simultaneously produce better polarization characteristics of the ferroelectric topology domains; this also leads to poor saturation performance, so the thickness of the ferroelectric layer continues to increase instead of reducing the storage window. However, the increase in the thickness of the ferroelectric layer will also lead to an increase in the size of the device, which is not in line with the development requirements of today’s information technology. For this consideration, in the following simulations, we choose a PTO thickness of 20 nm. The development of ferroelectric topological domains is mainly due to the rivalry of distinct energies. To realize topological domain storage, the influence of the applied electric field on topological domains was thoroughly examined. Figure 2a shows the C-Vds curves for various external electric fields ( E 1 * ), with the C-Vds curves becoming narrower as E 1 * increases. The memory window shrinks from 2.49 to 0.6 V when E 1 * grows from −0.1 to 0.1 (Figure 2b). This can be explained as an increase in polarization due to the total system energy of the system’s increase caused by the external electric field. Figure 2c shows Ids-Vds of ferroelectric memory as a function of E 1 * , with magnitudes of −0.10, −0.05, 0.05, and 0.10. When E 1 * increases from −0.10 to 0.10, the open-leakage current decreases from 2.516 mA to 1.951 mA and the closed-leakage current increases from 1.532 mA to 1.887 mA (Figure 2d). The rise in E 1 * makes the G*-S* curve thinner (Figure 2e) and the positive residual toroidal moment of the PTO decreases (Figure 2f). In addition, the positive charge generated in semiconductor Si decreases accordingly, which leads to resistance of the channel increases and open-state current increases [35]. Furthermore, as E 1 * climbs, the negative residual toroidal moment of the ferroelectric film diminishes, resulting in a decrease in the negative charge created in the semiconductor channel. More charge accumulates in the semiconductor channel with a large E 1 * and causes the transistor’s closed-leakage current to decrease.
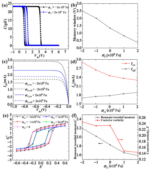
The force has a significant impact on the ferroelectric topology domain structure, which in turn has an impact on transistor performance. Here, we investigated the effect of stress on the behavior of topological domain structure transistors. Figure 3a represents the C-Vds curves of the ferroelectric memory when σ11 = −2 × 108 Pa and σ11 = 2 × 108 Pa. When σ11 increases from −2 × 108 Pa to 2 × 108 Pa, the memory window decreases from 2.498 to 0.367 V (Figure 3b). When compressive stress becomes tensile stress, the elastic energy in the system progressively climbs and the elastic energy in the system grows as the polarization value increases. The voltage drop in the ferroelectric layer is raised. With a constant gate voltage, the pressure drop at both ends of the PTO rises, but the pressure drop at both ends of the insulating layer SiO2 remains unchanged; therefore, the surface potential of the semiconductor Si layer decreases, resulting in a smaller memory window. At σ11 = −2 × 108 Pa, the closed-leakage current is 1.701 mA and the open-state current is 2.911 mA. The open-state current is 1.887 mA at σ11 = 2 × 108 Pa, while the closed-leakage current is 2.304 mA (Figure 3c). The open-state current drops as it intensifies, but the closed-state current flows (Figure 3d). The positive residual toroidal moment decreases as the stress increases from −2 × 108 Pa to 2 × 108 Pa (Figure 3e,f), causing the charge induced in the Si channel to drop and the Si surface to progressively transition from an electron-accumulated to an electron-depleted state. As a result, channel resistance rises while the open leakage current falls. Furthermore, when the topological domain transistor channel is closed, the Si substrate surface is inverted. The value of the negative residual toroidal moment decreases during this process, resulting in a smaller degree of Si substrate inversion and, eventually, an increase in the closed-state leakage current.

4. Conclusions

In conclusion, we used circulating eddy currents to successfully flip ferroelectric eddy currents. The response of toroidal moment G* to cyclic vorticity S* was obtained at room temperature. It was confirmed that the topological domain structure can be used for storage and this substantially increases the storage density of ferroelectric memory. Furthermore, topology is modulated by electric field and stress, and the C-Vds relationship curve and output characteristic Ids-Vds relationship curve are obtained under various conditions using the semiconductor device equation. When the dimensionless electric field changes from −0.10 to 0.10, the memory window drops from 2.49 V to 0.6 V and the on-state current drops from 2.511 mA to 1.951 mA; the off-state current grows from 1.532 mA to 1.877 mA. When σ11 increases from −2 × 108 Pa to 2 × 108 Pa, the memory window decreases from 2.498 to 0.367 V. At σ11 = −2 × 108 Pa, the closed-leakage current is 1.701 mA and the open-state current is 2.911 mA. The open-state current is 1.887 mA at σ11 = 2 × 108 Pa, while the closed-leakage current is 2.304 mA. This points us in the right direction for the development of new non-volatile random access memory with an ultra-high density.

Author Contributions

Conceptualization, J.H., P.T. and B.L.; methodology, F.W. and B.L.; formal analysis, J.H.; investigation, P.T. and F.W.; data curation, J.H. and B.L.; writing—original draft preparation, J.H.; writing—review and editing, F.W. and B.L.; supervision, F.W. and B.L. All authors have read and agreed to the published version of the manuscript.

Funding

This work was supported by the State Key Laboratory of Intense Pulsed Radiation Simulation and Effect (No. SKLIPR1816) and the China Postdoctoral Science Foundation (No. 2019M663178).

Institutional Review Board Statement

Not applicable.

Informed Consent Statement

Not applicable.

Data Availability Statement

The data presented in this study are available on request from the corresponding author.

Acknowledgments

The authors want to thank the College of Materials Science and Engineering of Xiangtan University and the Department of Materials Science and Engineering, Southern University of Science and Technology for their supply of material and technical support in this study.

Conflicts of Interest

The authors declare no conflict of interest.

References

  1. Kim, Y.; Min, K.K.; Yu, J.; Kwon, D.; Park, B.G. Lamination method for improved polarization-leakage current relation in HfO2-based metal/ferroelectric/insulator/semiconductor structure. Semicond. Sci. Technol. 2022, 37, 045001. [Google Scholar] [CrossRef]
  2. Liao, C.Y.; Hsiang, K.Y.; Hsieh, F.C.; Chiang, S.H.; Chang, S.H.; Liu, J.H.; Lou, C.F.; Lin, C.Y.; Chen, T.C.; Chang, C.S.; et al. Multibit ferroelectric fet based on nonidentical double HfZrO2 for high-density nonvolatile memory. IEEE Electron. Device Lett. 2021, 42, 617–620. [Google Scholar] [CrossRef]
  3. Park, H.W.; Lee, J.G.; Hwang, C.S. Review of ferroelectric field-effect transistors for three-dimensional storage applications. Nano Select. 2021, 2, 1187–1207. [Google Scholar] [CrossRef]
  4. Mulaosmanovic, H.; Breyer, E.T.; Dünkel, S.; Beyer, S.; Mikolajick, T.; Slesazeck, S. Ferroelectric field-effect transistors based on HfO2: A review. Nanotechnology 2021, 32, 502002. [Google Scholar] [CrossRef]
  5. Liu, Y.; Huey, B.D.; Ziatdinov, M.A.; Kalinin, S.V. Physical discovery in representation learning via conditioning on prior knowledge: Applications for ferroelectric domain dynamics. arXiv 2022, arXiv:2203.03122. [Google Scholar] [CrossRef]
  6. Jindal, S.; Manhas, S.K.; Balatti, S.; Kumar, A.; Pakala, M. Scaling behavior of ferroelectric FET with reduction in number of domains in ferroelectric layer. Jpn. J. Appl. Phys. 2022, 61, SC1030. [Google Scholar] [CrossRef]
  7. Kim, K.E.; Jang, B.K.; Heo, Y.; Hong Lee, J.; Jeong, M.; Lee, J.Y.; Seidel, J.; Yang, C.H. Electric control of straight stripe conductive mixed-phase nanostructures in La-doped BiFeO. NPG Asia Mater. 2014, 6, e81. [Google Scholar] [CrossRef] [Green Version]
  8. Arpan, B.; Anna, N.M.; Maxim, Z.; Eugene, A.E.; Sergei, V.K. Ferroelectrics everywhere: Ferroelectricity in magnesium substituted zinc oxide thin films. J. Appl. Phys. 2021, 130, 044101. [Google Scholar] [CrossRef]
  9. Schroeder, U.; Park, M.H.; Mikolajick, T.; Hwang, C.S. The fundamentals and applications of ferroelectric HfO2. Nat. Rev. Mater. 2022, 1–17. [Google Scholar] [CrossRef]
  10. Thouless, D. Topological Quantum Numbers in Nonrelativistic Physics. Int. J. Mod. Phys. B. 1997, 11, 3319–3327. [Google Scholar] [CrossRef]
  11. Makarov, D.; Volkov, O.M.; Kákay, A.; Pylypovskyi, O.V.; Budinská, B.; Dobrovolskiy, O.V. New dimension in magnetism and superconductivity: 3D and curvilinear nanoarchitectures. Adv. Mater. 2022, 34, 2101758. [Google Scholar] [CrossRef] [PubMed]
  12. Narang, P.; Garcia, C.A.; Felser, C. The topology of electronic band structures. Nat. Mater. 2021, 20, 293–300. [Google Scholar] [CrossRef] [PubMed]
  13. Chen, S.; Yuan, S.; Hou, Z.; Tang, Y.; Zhang, J.; Wang, T.; Li, K.; Zhao, W.; Liu, X.; Chen, L.; et al. Recent progress on topological structures in ferroic thin films and heterostructures. Adv. Mater. 2021, 33, 2000857. [Google Scholar] [CrossRef] [PubMed]
  14. Liu, P.; Williams, J.R.; Cha, J.J. Topological nanomaterials. Nat. Rev. Mater. 2019, 4, 479–496. [Google Scholar] [CrossRef]
  15. Li, Z.; Wang, Y.; Tian, G.; Li, P.; Zhao, L.; Zhang, F.; Yao, J.; Fan, H.; Liu, J.M. High-density array of ferroelectric nanodots with robust and reversibly switchable topological domain states. Sci. Adv. 2017, 3, e1700919. [Google Scholar] [CrossRef] [Green Version]
  16. Tang, Y.L.; Zhu, Y.L.; Ma, X.L.; Borisevich, A.Y.; Morozovska, A.N.; Eliseev, E.A.; Wang, Y.J.; Xu, Y.B.; Zhang, Z.D.; Pennycook, S.J. Observation of a periodic array of fluxclosure quadrants in strained ferroelectric PbTiO3 films. Science 2015, 348, 547–551. [Google Scholar] [CrossRef]
  17. Biswas, A.K.; Ahmad, H.; Atulasimha, J.; Bandyopadhyay, S. Experimental demonstration of complete 180° reversal of magnetization in isolated Co nanomagnets on a PMN-PT substrate with voltage generated strain. Nano Lett. 2017, 17, 3478–3484. [Google Scholar] [CrossRef] [Green Version]
  18. Huang, P.; Cantoni, M.; Kruchkov, A.; Rajeswari, J.; Magrez, A.; Carbone, F.; Rønnow, H.M. In situ electric field skyrmion creation in magnetoelectric Cu2OSeO3. Nano Lett. 2018, 18, 5167–5171. [Google Scholar] [CrossRef] [Green Version]
  19. Tian, G.; Chen, D.; Fan, H.; Li, P.; Fan, Z.; Qin, M.; Liu, J.M. Observation of exotic domain structures in ferroelectric nanodot arrays fabricated via a universal nanopatterning approach. ACS Appl. Mat. Inter. 2017, 9, 37219–37226. [Google Scholar] [CrossRef]
  20. Schilling, A.; Byrne, D.; Catalan, G.; Webber, K.G.; Genenko, Y.A.; Wu, G.S.; Scott, J.F.; Gregg, J.M. Domains in Ferroelectric Nanodots. Nano Lett. 2009, 9, 3359–3364. [Google Scholar] [CrossRef]
  21. McGilly, L.J.; Schilling, A.; Gregg, J.M. Domain Bundle Boundaries in Single Crystal BaTiO3 Lamellae: Searching for Naturally Forming Dipole Flux-Closure/Quadrupole Chains. Nano Lett. 2010, 10, 4200–4205. [Google Scholar] [CrossRef] [PubMed] [Green Version]
  22. McQuaid, R.G.P.; McGilly, L.J.; Sharma, P.; Gruverman, A.; Gregg, J.M. Mesoscale Flux-Closure Domain Formation in Single-Crystal BaTiO3. Nat. Commun. 2011, 2, 404. [Google Scholar] [CrossRef] [PubMed] [Green Version]
  23. Li, X.; Tan, C.; Liu, C.; Gao, P.; Sun, Y.; Chen, P.; Li, M.; Liao, L.; Zhu, R.; Wang, J.; et al. Atomic-scale observations of electrical and mechanical manipulation of topological polar flux closure. Proc. Natl. Acad. Sci. USA 2020, 117, 18954–18961. [Google Scholar] [CrossRef] [PubMed]
  24. Liu, C.; Wang, J.; Xu, G.; Kamlah, M.; Zhang, T.Y. An isogeometric approach to flexoelectric effect in ferroelectric materials. Int. J. Solids Struct. 2019, 162, 198–210. [Google Scholar] [CrossRef]
  25. Wang, J.; Su, Y. Stability of polarization vortices within two interacting ferroelectric nanoparticles. Phys. Lett. A 2011, 375, 1019–1022. [Google Scholar] [CrossRef]
  26. Li, B.; Wang, J.B.; Zhong, X.L.; Wang, F.; Wang, L.J.; Zhou, Y.C. Effect of surface tension on electrocaloric effects in the ferroelectric nanomaterial with vortex domain structures. J. Appl. Phys. 2013, 114, 44301. [Google Scholar] [CrossRef]
  27. Li, B.; Wang, J.B.; Zhong, X.L.; Wang, F.; Zeng, Y.K.; Zhou, Y.C. The coexistence of the negative and positive electrocaloric effect in ferroelectric thin films for solid-state refrigeration. Europhys. Lett. 2013, 102, 47004. [Google Scholar] [CrossRef]
  28. Lue, H.T.; Wu, C.J.; Tseng, T.Y. Device modeling of ferroelectric memory field-effect transistor (FeMFET). IEEE Trans. Electron. Devices 2002, 49, 1790–1798. [Google Scholar] [CrossRef]
  29. Ye, C.; Wang, J.B.; Li, B.; Zhong, X.L. Giant electrocaloric effect in a wide temperature range in PbTiO3 Nanoparticle with double-vortex domain structure. Sci. Rep. 2018, 8, 293. [Google Scholar] [CrossRef]
  30. Zheng, X.J.; Sun, J.; Zhang, J.J.; Tang, M.H.; Li, W. Evaluation of capacitance-voltage characteristic and memory window of metal-ferroelectric-insulator-silicon capacitors. Appl. Phys. Lett. 2008, 93, 213501. [Google Scholar] [CrossRef]
  31. Miller, S.L.; McWhorter, P.J. Physics of the ferroelectric nonvolatile memory field effect transistor. J. Appl. Phys. 1992, 72, 5999–6010. [Google Scholar] [CrossRef]
  32. Zheng, C.; Ting-Ao, T. A CV model of ferroelectric thin film capacitor. Ferroelectrics 1997, 197, 111–114. [Google Scholar] [CrossRef]
  33. Lue, H.T.; Wu, C.J.; Tseng, T.Y. Device modeling of ferroelectric memory field-effect transistor for the application of ferroelectric random access memory. IEEE Trans. Sonics Ultrason. 2003, 50, 5–14. [Google Scholar] [CrossRef]
  34. Qin, Y.; Xiong, Y.; Tang, M.; Li, K.; Yan, S.; Zhang, W.; Yin, Y.; Chen, Y.; Li, Z.; Zhou, Y. Simulation of FeFET-Based Basic Logic Circuits and Current Sensing Amplifier. Integr. Ferroelectr. 2015, 167, 52–61. [Google Scholar] [CrossRef]
  35. Yan, S.C.; Lan, G.M.; Sun, C.J.; Chen, Y.H.; Wu, C.H.; Peng, H.K.; Lin, Y.H.; Wu, Y.H.; Wu, Y.C. High speed and large memory window ferroelectric HfZrO2FinFET for high-density nonvolatile memory. IEEE Electron. Device Lett. 2021, 42, 1307–1310. [Google Scholar] [CrossRef]
Figure 1. (a) Schematic diagram of the ferroelectric topology domain transistor structure. (b) Hysteresis loop between the toroidal moment G* and vorticity S* at room temperature (A-I is the loading point corresponding to S*). (c) A1, A2, and A3 are 500 steps, 5000 steps, and 10,000 steps at point A, respectively, and F shows the ultimate domain structure at point F. (d) C-Vds. (e) Ids-Vds. (f) Memory window for different PTO thicknesses. The superscript * indicates the corresponding dimensionless posterior parameter.
Figure 1. (a) Schematic diagram of the ferroelectric topology domain transistor structure. (b) Hysteresis loop between the toroidal moment G* and vorticity S* at room temperature (A-I is the loading point corresponding to S*). (c) A1, A2, and A3 are 500 steps, 5000 steps, and 10,000 steps at point A, respectively, and F shows the ultimate domain structure at point F. (d) C-Vds. (e) Ids-Vds. (f) Memory window for different PTO thicknesses. The superscript * indicates the corresponding dimensionless posterior parameter.
Crystals 12 00786 g001
Figure 2. Effect of E 1 * on the ferroelectric topology domain transistors of (a) C-Vds characteristics of Pt/PTO (20 nm)/Si/SiO2 structures. (b) Memory window. (c) Ids-Vds characteristics of Pt/PTO (20 nm)/Si/SiO2 structures. (d) Open-state current and closed-state current. (e) G*-S*. (f) Coercive vorticity and remnant toroidal moment. The superscript * indicates the corresponding dimensionless posterior parameter.
Figure 2. Effect of E 1 * on the ferroelectric topology domain transistors of (a) C-Vds characteristics of Pt/PTO (20 nm)/Si/SiO2 structures. (b) Memory window. (c) Ids-Vds characteristics of Pt/PTO (20 nm)/Si/SiO2 structures. (d) Open-state current and closed-state current. (e) G*-S*. (f) Coercive vorticity and remnant toroidal moment. The superscript * indicates the corresponding dimensionless posterior parameter.
Crystals 12 00786 g002
Figure 3. Effect of stress on ferroelectric topology domain transistors of (a) C-Vds characteristics of Pt/PTO (20 nm)/Si/SiO2 structures. (b) Memory window. (c) Ids-Vds characteristics of Pt/PTO (20 nm)/Si/SiO2 structures. (d) Open-state current and closed-state current. (e) G*-S*. (f) Coercive vorticity and remnant toroidal moment. The superscript * indicates the corresponding dimensionless posterior parameter.
Figure 3. Effect of stress on ferroelectric topology domain transistors of (a) C-Vds characteristics of Pt/PTO (20 nm)/Si/SiO2 structures. (b) Memory window. (c) Ids-Vds characteristics of Pt/PTO (20 nm)/Si/SiO2 structures. (d) Open-state current and closed-state current. (e) G*-S*. (f) Coercive vorticity and remnant toroidal moment. The superscript * indicates the corresponding dimensionless posterior parameter.
Crystals 12 00786 g003
Publisher’s Note: MDPI stays neutral with regard to jurisdictional claims in published maps and institutional affiliations.

Share and Cite

MDPI and ACS Style

Huang, J.; Tan, P.; Wang, F.; Li, B. Ferroelectric Memory Based on Topological Domain Structures: A Phase Field Simulation. Crystals 2022, 12, 786. https://doi.org/10.3390/cryst12060786

AMA Style

Huang J, Tan P, Wang F, Li B. Ferroelectric Memory Based on Topological Domain Structures: A Phase Field Simulation. Crystals. 2022; 12(6):786. https://doi.org/10.3390/cryst12060786

Chicago/Turabian Style

Huang, Jing, Pengfei Tan, Fang Wang, and Bo Li. 2022. "Ferroelectric Memory Based on Topological Domain Structures: A Phase Field Simulation" Crystals 12, no. 6: 786. https://doi.org/10.3390/cryst12060786

APA Style

Huang, J., Tan, P., Wang, F., & Li, B. (2022). Ferroelectric Memory Based on Topological Domain Structures: A Phase Field Simulation. Crystals, 12(6), 786. https://doi.org/10.3390/cryst12060786

Note that from the first issue of 2016, this journal uses article numbers instead of page numbers. See further details here.

Article Metrics

Back to TopTop