Low Forward Voltage III-Nitride Red Micro-Light-Emitting Diodes on a Strain Relaxed Template with an InGaN Decomposition Layer
Abstract
:1. Introduction
2. Materials and Methods
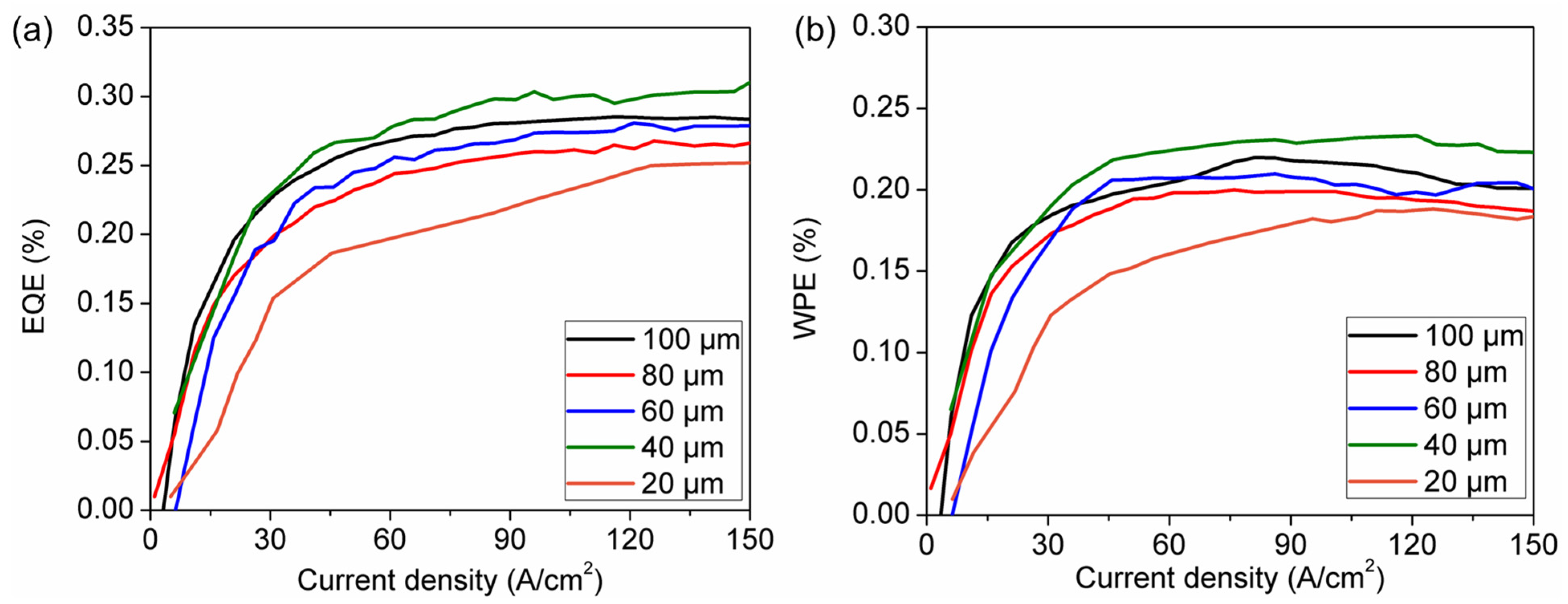
3. Results and Discussion
4. Conclusions
Author Contributions
Funding
Institutional Review Board Statement
Informed Consent Statement
Data Availability Statement
Conflicts of Interest
References
- Huang, Y.; Hsiang, E.L.; Deng, M.Y.; Wu, S.T. Mini-LED, Micro-LED and OLED displays: Present status and future perspectives. Light Sci. Appl. 2020, 9, 105. [Google Scholar] [CrossRef] [PubMed]
- Wierer, J.J.; Tansu, N. III-Nitride Micro-LEDs for Efficient Emissive Displays. Laser Photon. Rev. 2019, 13, 1900141. [Google Scholar] [CrossRef]
- Jung, T.; Choi, J.H.; Jang, S.H.; Han, S.J. Review of Micro-light-emitting-diode Technology for Micro-display Applications. SID Symp. Dig. Tech. Pap. 2019, 50, 442–446. [Google Scholar] [CrossRef]
- Robin, Y.; Hemeret, F.; D’Inca, G.; Pristovsek, M.; Trassoudaine, A.; Amano, H. Monolithic integration of tricolor micro-LEDs and color mixing investigation by analog and digital dimming. Jpn. J. Appl. Phys. 2019, 58, SCCC06. [Google Scholar] [CrossRef]
- Wong, M.S.; Nakamura, S.; DenBaars, S.P. Review—Progress in High Performance III-Nitride Micro-Light-Emitting Diodes. ECS J. Solid State Sci. Technol. 2020, 9, 015012. [Google Scholar] [CrossRef]
- Wong, M.S.; Lee, C.; Myers, D.J.; Hwang, D.; Kearns, J.A.; Li, T.; JSpeck, S.; Nakamura, S.; DenBaars, S.P. Size-independent peak efficiency of III-nitride micro-light-emitting-diodes using chemical treatment and sidewall passivation. Appl. Phys. Express 2019, 12, 097004. [Google Scholar] [CrossRef]
- Wong, M.S.; Nakamura, S.; DenBaars, S.P. High External Quantum Efficiency III-Nitride Micro-Light-Emitting Diodes, 1st ed.; Elsevier Inc.: Amsterdam, The Netherlands, 2021; Volume 106. [Google Scholar]
- Pasayat, S.S.; Gupta, C.; Wong, M.S.; Wang, Y.; Nakamura, S.; Denbaars, S.P.; Keller, S.; Mishra, U.K. Growth of strain-relaxed InGaN on micrometer- sized patterned compliant GaN pseudo-substrates. Appl. Phys. Lett. 2020, 116, 111101. [Google Scholar] [CrossRef]
- White, R.C.; Khoury, M.; Wong, M.S.; Li, H.; Lynsky, C.; Iza, M.; Keller, S.; Sotta, D.; Nakamura, S.; DenBaars, S.P. Realization of iii-nitride c-plane microleds emitting from 470 to 645 nm on semi-relaxed substrates enabled by v-defect-free base layers. Crystals 2021, 11, 1168. [Google Scholar] [CrossRef]
- Iida, D.; Zhuang, Z.; Kirilenko, P.; Velazquez-Rizo, M.; Najmi, M.A.; Ohkawa, K. 633-nm InGaN-based red LEDs grown on thick underlying GaN layers with reduced in-plane residual stress. Appl. Phys. Lett. 2020, 116, 162101. [Google Scholar] [CrossRef]
- Even, A.; Laval, G.; Ledoux, O.; Ferret, P.; Sotta, D.; Guiot, E.; Levy, F.; Robin, I.C.; Dussaigne, A. Enhanced in incorporation in full InGaN heterostructure grown on relaxed InGaN pseudo-substrate. Appl. Phys. Lett. 2017, 110, 262103. [Google Scholar] [CrossRef]
- El-Ghoroury, H.; Nakajima, Y.; Yeh, M.; Liang, E.; Chuang, C.-L.; Chen, J.C. Color temperature tunable white light based on monolithic color-tunable light emitting diodes. Opt. Express 2020, 28, 1206–1215. [Google Scholar] [CrossRef] [PubMed]
- White, R.C.; Li, H.; Khoury, M.; Lynsky, C.; Iza, M.; Keller, S.; Sotta, D.; Nakamura, S.; DenBaars, S.P. InGaN-Based microLED Devices Approaching 1% EQE with red 609 nm Electroluminescence on Semi-Relaxed Substrates. Crystals 2021, 11, 1364. [Google Scholar] [CrossRef]
- Chan, P.; DenBaars, S.P.; Nakamura, S. Growth of highly relaxed InGaN pseudo-substrates over full 2-in. wafers. Appl. Phys. Lett. 2021, 119, 131106. [Google Scholar] [CrossRef]
- Chan, P.; Rienzi, V.; Lim, N.; Chang, H.M.; Gordon, M.; DenBaars, S.P.; Nakamura, S. Demonstration of relaxed InGaN-based red LEDs grown with high active region temperature. Appl. Phys. Express 2021, 14, 101002. [Google Scholar] [CrossRef]
- Wong, M.S.; Hwang, D.; Alhassan, A.I.; Lee, C.; Ley, R.; Nakamura, S.; DenBaars, S.P. High Efficiency of III-Nitride Micro-Light-Emitting Diodes by Sidewall Passivation Using Atomic Layer Deposition. Opt. Express 2018, 26, 21324–21331. [Google Scholar] [CrossRef]
- Hwang, D.; Mughal, A.J.; Wong, M.S.; Alhassan, A.I.; Nakamura, S.; Denbaars, S.P. Micro-light-emitting diodes with III-nitride tunnel junction contacts grown by metalorganic chemical vapor deposition. Appl. Phys. Express 2018, 11, 012102. [Google Scholar] [CrossRef]
- Wong, M.S.; Oh, S.H.; Back, J.; Lee, C.; Speck, J.S.; Nakamura, S.; DenBaars, S.P. Enhanced external quantum efficiency of III-nitride micro-light-emitting diodes using vertical and transparent package. Jpn. J. Appl. Phys. 2021, 60, 020905. [Google Scholar] [CrossRef]
- Iida, D.; Zhuang, Z.; Kirilenko, P.; Velazquez-Rizo, M.; Ohkawa, K. Demonstration of low forward voltage InGaN-based red LEDs. Appl. Phys. Express 2020, 13, 031001. [Google Scholar] [CrossRef]
- Zhuang, Z.; Iida, D.; Ohkawa, K. Effects of size on the electrical and optical properties of InGaN-based red light-emitting diodes. Appl. Phys. Lett. 2020, 116, 173501. [Google Scholar] [CrossRef]
- Feezell, D.F.; Speck, J.S.; Denbaars, S.P.; Nakamura, S. Semipolar (2021) InGaN/GaN light-emitting diodes for high-efficiency solid-state lighting. IEEE/OSA J. Disp. Technol. 2013, 9, 190–198. [Google Scholar] [CrossRef]
- Young, N.G.; Farrell, R.M.; Oh, S.; Cantore, M.; Wu, F.; Nakamura, S.; DenBaars, S.P.; Weisbuch, C.; Speck, J.S. Polarization field screening in thick (0001) InGaN/GaN single quantum well light-emitting diodes. Appl. Phys. Lett. 2016, 108, 061105. [Google Scholar] [CrossRef]
- Chow, Y.C.; Lynsky, C.; Wu, F.; Nakamura, S.; DenBaars, S.P.; Weisbuch, C.; Speck, J.S. Reduction of efficiency droop in c-plane InGaN/GaN light-emitting diodes using a thick single quantum well with doped barriers. Appl. Phys. Lett. 2021, 119, 221102. [Google Scholar] [CrossRef]
- Hwang, J.-I.; Hashimoto, R.; Saito, S.; Nunoue, S. Development of InGaN-based red LED grown on (0001) polar surface. Appl. Phys. Express 2014, 7, 071003. [Google Scholar] [CrossRef]
- Funato, M.; Ueda, M.; Kawakami, Y.; Narukawa, Y.; Kosugi, T.; Takahashi, M.; Mukai, T. Blue, green, and amber InGaN/GaN light-emitting diodes on semipolar {1122} GaN bulk substrates. Jpn. J. Appl. Phys. 2006, 45, L659. [Google Scholar] [CrossRef]
- Wong, M.S.; Kearns, J.A.; Lee, C.; Smith, J.M.; Lynsky, C.; Lheureux, G.; Choi, H.; Kim, J.; Kim, C.; Nakamura, S.; et al. Improved performance of AlGaInP red micro-light-emitting diodes with sidewall treatments. Opt. Express 2020, 28, 5787–5793. [Google Scholar] [CrossRef]
- Chen, G.; Wei, B.; Lee, C.; Lee, H. Monolithic Red/Green/Blue Micro-LEDs with HBR and DBR Structures. IEEE Photonics Technol. Lett. 2018, 30, 262–265. [Google Scholar] [CrossRef]
- Pasayat, S.S.; Ley, R.; Gupta, C.; Wong, M.S.; Lynsky, C.; Wang, Y.; Gordon, M.J.; Nakamura, S.; Denbaars, S.P.; Keller, S.; et al. Color-tunable <10 μ m square InGaN micro- LEDs on compliant GaN-on-porous-GaN. Appl. Phys. Lett. 2020, 117, 061105. [Google Scholar]
- Li, P.; Li, H.; Zhang, H.; Lynsky, C.; Iza, M.; Speck, J.S.; Nakamura, S.; DenBaars, S.P. Size-independent peak external quantum efficiency (>2%) of InGaN red micro-light-emitting diodes with an emission wavelength over 600 nm. Appl. Phys. Lett. 2021, 119, 081102. [Google Scholar] [CrossRef]
- Pasayat, S.S.; Gupta, C.; Wong, M.S.; Ley, R.; Gordon, M.J.; DenBaars, S.P.; Nakamura, S.; Keller, S.; Mishra, U.K. Demonstration of ultra-small (<10 μm) 632 nm red InGaN micro-LEDs with useful on-wafer external quantum efficiency (>0.2%) for mini-displays. Appl. Phys. Express 2021, 14, 011004. [Google Scholar] [CrossRef]
- Hwang, D.; Mughal, A.; Pynn, C.D.; Nakamura, S.; DenBaars, S.P. Sustained high external quantum efficiency in ultrasmall blue III-nitride micro-LEDs. Appl. Phys. Express 2017, 10, 032101. [Google Scholar] [CrossRef]
- Myers, D.J.; Espenlaub, A.C.; Gelzinyte, K.; Young, E.C.; Martinelli, L.; Peretti, J.; Weisbuch, C.; Speck, J.S. Evidence for trap-assisted Auger recombination in MBE grown InGaN quantum wells by electron emission spectroscopy. Appl. Phys. Lett. 2020, 116, 091102. [Google Scholar] [CrossRef]
- Espenlaub, A.C.; Myers, D.J.; Young, E.C.; Marcinkevičius, S.; Weisbuch, C.; Speck, J.S. Evidence of trap-assisted Auger recombination in low radiative efficiency MBE-grown III-nitride LEDs. J. Appl. Phys. 2019, 126, 184502. [Google Scholar] [CrossRef]




Publisher’s Note: MDPI stays neutral with regard to jurisdictional claims in published maps and institutional affiliations. |
© 2022 by the authors. Licensee MDPI, Basel, Switzerland. This article is an open access article distributed under the terms and conditions of the Creative Commons Attribution (CC BY) license (https://creativecommons.org/licenses/by/4.0/).
Share and Cite
Wong, M.S.; Chan, P.; Lim, N.; Zhang, H.; White, R.C.; Speck, J.S.; Denbaars, S.P.; Nakamura, S. Low Forward Voltage III-Nitride Red Micro-Light-Emitting Diodes on a Strain Relaxed Template with an InGaN Decomposition Layer. Crystals 2022, 12, 721. https://doi.org/10.3390/cryst12050721
Wong MS, Chan P, Lim N, Zhang H, White RC, Speck JS, Denbaars SP, Nakamura S. Low Forward Voltage III-Nitride Red Micro-Light-Emitting Diodes on a Strain Relaxed Template with an InGaN Decomposition Layer. Crystals. 2022; 12(5):721. https://doi.org/10.3390/cryst12050721
Chicago/Turabian StyleWong, Matthew S., Philip Chan, Norleakvisoth Lim, Haojun Zhang, Ryan C. White, James S. Speck, Steven P. Denbaars, and Shuji Nakamura. 2022. "Low Forward Voltage III-Nitride Red Micro-Light-Emitting Diodes on a Strain Relaxed Template with an InGaN Decomposition Layer" Crystals 12, no. 5: 721. https://doi.org/10.3390/cryst12050721
APA StyleWong, M. S., Chan, P., Lim, N., Zhang, H., White, R. C., Speck, J. S., Denbaars, S. P., & Nakamura, S. (2022). Low Forward Voltage III-Nitride Red Micro-Light-Emitting Diodes on a Strain Relaxed Template with an InGaN Decomposition Layer. Crystals, 12(5), 721. https://doi.org/10.3390/cryst12050721

