Effects of Orientations, Roughnesses, and Cavities on Stress-Corrosion Coupled Damage in Magnesium
Abstract
:1. Introduction
2. Materials and Methods
3. Results and Discussion
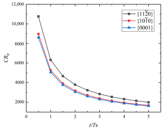
3.1. Effects of Orientations on Diffusion-Controlled Corrosion
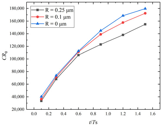
3.2. Effects of Roughnesses on Diffusion-Controlled Corrosion for Mg
3.3. Stress-Corrosion Coupled Damage (SCCD)
3.4. Effects of Cavities on SCCD
4. Conclusions
- (1)
- Crystal textures and surface roughnesses can significantly influence the diffusion-controlled corrosion rate. Higher surface energy density increases the mobility of damage diffusion and accelerates the corrosion rate. Strong basal texture, such as {0001}, of the crystal can significantly improve the corrosion resistance of Mg. Larger roughness shortens the diffusion distance and accelerates the corrosion rate. A smooth surface can effectively decrease the corrosion rate. The orientations and roughnesses can be modulated by reasonable rolling, extrusion, polishing, and so on, which are, therefore, the designable factors for corrosion resistance enhancement.
- (2)
- In the SCCD process controlled by diffusion and stress, the stress gradually prevails in competition with the diffusion, ruling the damage rate with the SCCD marching. The damage rate is much faster than the damage driven by diffusion-controlled corrosion.
- (3)
- In the SCCD process, the cavity, as a typical crystal defect, is capable of inducing the damage path and modulating the corrosion rate. The pre-existing cavity with a larger diameter is more inclined to coalesce with the propagating damage owing to its greater influence on the local stress states of both the crack front and the adjacent area of the cavity. However, the corrosion rate can be decreased due to the coalescence of the given geometric feature. It indicates that defect engineering is promising for corrosion-resistance enhancement.
Author Contributions
Funding
Institutional Review Board Statement
Informed Consent Statement
Data Availability Statement
Acknowledgments
Conflicts of Interest
References
- Li, X.; Zhang, D.; Liu, Z.; Li, Z.; Du, C.; Dong, C. Materials science: Share corrosion data. Nature 2015, 527, 441–442. [Google Scholar] [CrossRef] [PubMed]
- Li, S.; Chen, Z.; Tan, L.; Bobaru, F. Corrosion-induced embrittlement in ZK60A Mg alloy. Mater. Sci. Eng. A 2018, 713, 7–17. [Google Scholar] [CrossRef]
- Ravichandran, K.; TSN, S.N. Controlling the rate of degradation of Mg using magnesium fluoride and magnesium fluoride-magnesium phosphate duplex coatings. J. Magnes. Alloy. 2022, 10, 295–312. [Google Scholar]
- Yang, Y.; Xiong, X.; Chen, J.; Peng, X.; Chen, D.; Pan, F. Research advances in magnesium and magnesium alloys worldwide in 2020. J. Magnes. Alloy. 2021, 9, 705–747. [Google Scholar] [CrossRef]
- Cui, L.Y.; Gao, L.; Zhang, J.C.; Tang, Z.; Fan, X.L.; Liu, J.C.; Chen, D.C.; Zeng, R.C.; Li, S.Q.; Zhi, K.Q. In vitro corrosion resistance, antibacterial activity and cytocompatibility of a layer-by-layer assembled DNA coating on magnesium alloy. J. Magnes. Alloy. 2021, 9, 266–280. [Google Scholar] [CrossRef]
- Esmaily, M.; Svensson, J.E.; Fajardo, S.; Birbilis, N.; Frankel, G.S.; Virtanen, S.; Arrabal, R.; Thomas, S.; Johansson, L.G. Fundamentals and advances in magnesium alloy corrosion. Prog. Mater. Sci. 2017, 89, 92–193. [Google Scholar] [CrossRef]
- Song, G.L.; Mishra, R.; Xu, Z. Crystallographic orientation and electrochemical activity of AZ31 Mg alloy. Electrochem. Commun. 2010, 12, 1009–1012. [Google Scholar] [CrossRef]
- Sabbaghian, M.; Mahmudi, R.; Shin, K.S. Effect of texture and twinning on mechanical properties and corrosion behavior of an extruded biodegradable Mg-4Zn alloy. J. Magnes. Alloy. 2019, 7, 707–716. [Google Scholar] [CrossRef]
- Gill, R.S.; Kumar, K.; Batra, U. Surface characteristics and corrosion behavior of wire electrical discharge machining processed Mg-4Zn alloy. J. Mater. Eng. Perform. 2021, 30, 2955–2966. [Google Scholar] [CrossRef]
- Jiang, L.; Wang, K.; Leng, B.; Ye, X.X.; Chen, S.J.; Liu, R.D.; Liang, J.P.; Li, C.W.; Li, Z.J. Tellurium segregation-induced intergranular corrosion of GH3535 alloys in molten salt. Corros. Sci. 2022, 194, 109944. [Google Scholar] [CrossRef]
- Ansari, T.Q.; Xiao, Z.; Hu, S.; Li, Y.; Luo, J.L.; Shi, S.Q. Phase-field model of pitting corrosion kinetics in metallic materials. NPJ Comput. Mater. 2018, 4, 38. [Google Scholar] [CrossRef]
- Mai, W.; Soghrati, S.; Buchheit, R.G. A phase field model for simulating the pitting corrosion. Corros. Sci. 2016, 110, 157–166. [Google Scholar] [CrossRef]
- Gao, H.; Ju, L.; Duddu, R.; Li, H. An efficient second-order linear scheme for the phase field model of corrosive dissolution. J. Comput. Appl. Math. 2020, 367, 112472. [Google Scholar] [CrossRef]
- Hu, Y.; Jiang, J.; Lei, M.; Song, M.; Nikbin, K. Predicting virtual creep crack growth in a simulated titanium aluminide alloy microstructure containing voids, precipitates, and grain/grain boundary distortions. Eng. Fract. Mech. 2022, 262, 108171. [Google Scholar] [CrossRef]
- Cui, C.; Ma, R.; Martínez-Pañeda, E. A phase field formulation for dissolution-driven stress corrosion cracking. J. Mech. Phys. Solids 2021, 147, 104254. [Google Scholar] [CrossRef]
- Lin, C.; Ruan, H.; Shi, S.Q. Phase field study of mechanico-electrochemical corrosion. Electrochim. Acta 2019, 310, 240–255. [Google Scholar] [CrossRef]
- Nguyen, T.T.; Bolivar, J.; Réthoré, J.; Baietto, M.C.; Fregonese, M. A phase field method for modeling stress corrosion crack propagation in a nickel base alloy. Int. J. Solids Struct. 2017, 112, 65–82. [Google Scholar] [CrossRef]
- Lin, C.; Ruan, H. Phase-field modeling of mechano-chemical-coupled stress-corrosion cracking. Electrochim. Acta 2021, 395, 139196. [Google Scholar] [CrossRef]
- Nguyen, T.T.; Bolivar, J.; Shi, Y.; Réthoré, J.; King, A.; Fregonese, M.; Adrien, J.; Buffiere, J.Y.; Baietto, M.C. A phase field method for modeling anodic dissolution induced stress corrosion crack propagation. Corros. Sci. 2018, 132, 146–160. [Google Scholar] [CrossRef]












| Parameters | Value | Unit |
|---|---|---|
| Interfacial thickness | 0.005 | mm |
| * Mobility of mass transfer M | mm2/s | |
| * Interface kinetic coefficient T | 1 × 10−2 | mm2/(N⋅s) |
| Free energy density curvature D | 53.5 | N/mm2 |
| Height of the double-well potential β | 33.3 | - |
| Molar concentration of Mg2+ in metal csol | mol/mm3 | |
| Gas constant R | 8314 | - |
| Absolute temperature θ | 300 | K |
| Time interval before new passive film formed t0 | 10 | s |
| Strain required for film rupture εfil | - | |
| Exponential term in the film rupture–dissolution–repassivation (FRDR) formulation k | 0.0005 | - |
| Energy threshold coefficient ks | 0 | - |
| Surface energy density Gc | mJ/mm2 |
| Different Crystallographic Planes | Surface Energy Density | Unit |
|---|---|---|
| {0001} | 2.896 × 10−4 | mJ/mm2 |
| 2.992 × 10−4 | mJ/mm2 | |
| 3.454 × 10−4 | mJ/mm2 |
| Parameters | Value | Unit |
|---|---|---|
| Young’s modulus E | 45,000 | MPa |
| Poisson’s ratio μ | 0.35 | - |
| Yield stress σy | 72 | MPa |
| Strain hardening exponent Q | 0.152 | - |
| Interfacial thickness | mm | |
| * Mobility of mass transfer M | ||
| * Interface kinetic coefficient T | ||
| Free energy density curvature D | 53.5 | |
| Surface energy density Gc | ||
| Exponential term in the FRDR formulation k | - | |
| Molar concentration of Mg2+ in metal csol | ||
| Height of the double-well potential β | 33.3 | |
| Energy threshold coefficient ks | 0.01 | - |
| Gas constant R | 8314 | - |
| Absolute temperature θ | 300 | K |
| Time interval before new passive film formed t0 | 10 | s |
Publisher’s Note: MDPI stays neutral with regard to jurisdictional claims in published maps and institutional affiliations. |
© 2022 by the authors. Licensee MDPI, Basel, Switzerland. This article is an open access article distributed under the terms and conditions of the Creative Commons Attribution (CC BY) license (https://creativecommons.org/licenses/by/4.0/).
Share and Cite
Ye, J.; Bai, S.; He, X.; Chen, J.; Xie, C. Effects of Orientations, Roughnesses, and Cavities on Stress-Corrosion Coupled Damage in Magnesium. Crystals 2022, 12, 635. https://doi.org/10.3390/cryst12050635
Ye J, Bai S, He X, Chen J, Xie C. Effects of Orientations, Roughnesses, and Cavities on Stress-Corrosion Coupled Damage in Magnesium. Crystals. 2022; 12(5):635. https://doi.org/10.3390/cryst12050635
Chicago/Turabian StyleYe, Jianhui, Shijie Bai, Xinke He, Jianbin Chen, and Chao Xie. 2022. "Effects of Orientations, Roughnesses, and Cavities on Stress-Corrosion Coupled Damage in Magnesium" Crystals 12, no. 5: 635. https://doi.org/10.3390/cryst12050635
APA StyleYe, J., Bai, S., He, X., Chen, J., & Xie, C. (2022). Effects of Orientations, Roughnesses, and Cavities on Stress-Corrosion Coupled Damage in Magnesium. Crystals, 12(5), 635. https://doi.org/10.3390/cryst12050635

