Influence of Fly Ash Denitrification on Properties of Hybrid Alkali-Activated Composites
Abstract
:1. Introduction
2. Materials and Methods
2.1. Silica Fly Ash
2.2. Furnace Granulated Slag (BFS)
2.3. Activator—Potassium Water Glass (PWG 1)
2.4. Standardized Sand
2.5. Mixtures
2.6. Preparation of Specimens
2.7. Strength
2.8. Resistance to Freeze-Thaw
2.9. Resistance to the Effects of Hungry Waters
2.10. Analytical Methods
3. Results and Discussion
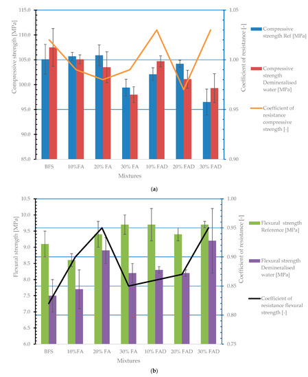
3.1. Determination of Basic Physical-Mechanical Properties
3.2. Resistance to Freeze-Thaw
3.3. Influence of Leaching in Demineralized Water
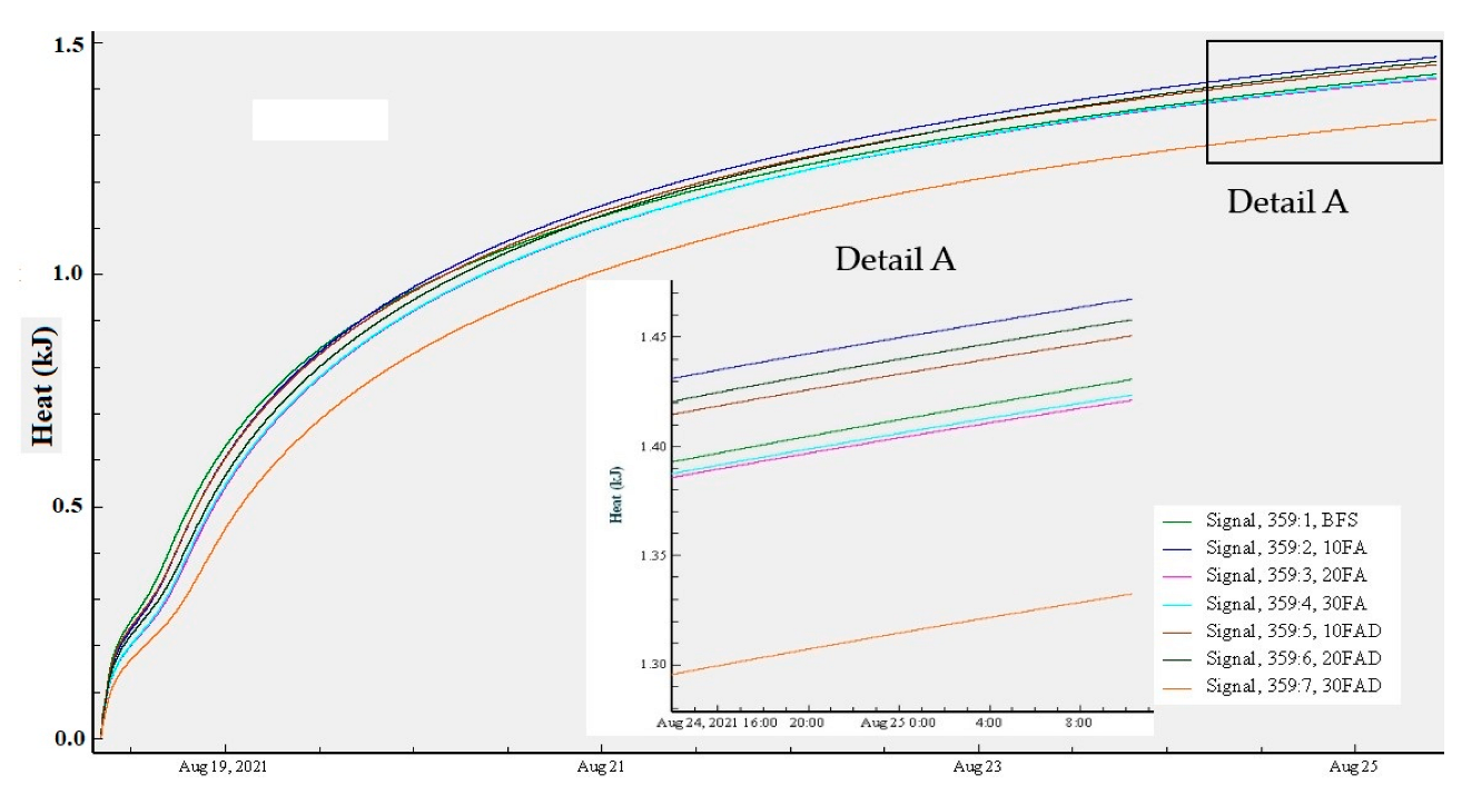
3.4. Heat Evolution Rates Measurement in Calorimeter
3.5. FTIR Analysis
4. Conclusions
Author Contributions
Funding
Acknowledgments
Conflicts of Interest
References
- Abdollahnejad, Z.; Mastali, M.; Woof, B.; Illikainen, M. High strength fiber reinforced one-part alkali-activated slag/fly ash binders with ceramic aggregates: Microscopic analysis, mechanical properties, drying shrinkage, and freeze-thaw resistance. Constr. Build. Mater. 2020, 241, 118129. [Google Scholar] [CrossRef]
- Mastali, M.; Kinnunen, P.; Dalvand, A.; Mohammadi Firouz, R.; Illikainen, M. Drying shrinkage in alkali-activated binders—A critical review. Constr. Build. Mater. 2018, 190, 533–550. [Google Scholar] [CrossRef]
- Humad, A.M.; Kothari, A.; Provis, J.L.; Cwirzen, A. The Effect of Blast Furnace Slag/Fly Ash Ratio on Setting, Strength, and Shrinkage of Alkali-Activated Pastes and Concretes. Front. Mater. 2019, 6. [Google Scholar] [CrossRef] [Green Version]
- Bernal, S.A.; Provis, J.L.; Walkley, B.; San Nicolas, R.; Gehman, J.D.; Brice, D.G.; van Deventer, J.S.J. Gel nanostructure in alkali-activated binders based on slag and fly ash, and effects of accelerated carbonation. Cem. Concr. Res. 2013, 53, 127–144. [Google Scholar] [CrossRef]
- Keulen, A.; van Zomeren, A.; Dijkstra, J.J. Leaching of monolithic and granular alkali-activated slag-fly ash materials, as a function of the mixture design. Waste Manag. 2018, 78, 497–508. [Google Scholar] [CrossRef]
- Wang, W.-C.; Wang, H.-Y.; Lo, M.-H. The fresh and engineering properties of alkali-activated slag as a function of fly ash replacement and alkali concentration. Constr. Build. Mater. 2015, 84, 224–229. [Google Scholar] [CrossRef]
- Hu, X.; Shi, C.; Shi, Z.; Zhang, L. Compressive strength, pore structure and chloride transport properties of alkali-activated slag/fly ash mortars. Cem. Concr. Compos. 2019, 104, 103392. [Google Scholar] [CrossRef]
- Gao, X.; Yu, Q.L.; Brouwers, H.J.H. Properties of alkali-activated slag–fly ash blends with limestone addition. Cem. Concr. Compos. 2015, 59, 119–128. [Google Scholar] [CrossRef] [Green Version]
- Oh, J.E.; Monteiro, P.J.M.; Jun, S.S.; Choi, S.; Clark, S.M. The evolution of strength and crystalline phases for alkali-activated ground blast furnace slag and fly ash-based geopolymers. Cem. Concr. Res. 2010, 40, 189–196. [Google Scholar] [CrossRef]
- Marjanović, N.; Komljenović, M.; Baščarević, Z.; Nikolić, V.; Petrović, R. Physical–mechanical and microstructural properties of alkali-activated fly ash–blast furnace slag blends. Ceram. Int. 2015, 41, 1421–1435. [Google Scholar] [CrossRef]
- Alcamand, H.A.; Borges, P.H.R.; Silva, F.A.; Trindade, A.C.C. The effect of matrix composition and calcium content on the sulfate durability of metakaolin and metakaolin/slag alkali-activated mortars. Ceram. Int. 2018, 44, 5037–5044. [Google Scholar] [CrossRef]
- Wong, J.K.H.; Kok, S.T.; Wong, S.Y. Fibers, Geopolymers, Nano and Alkali-Activated Materials for Deep Soil Mix Binders. Civ. Eng. J. 2020, 6, 830–847. [Google Scholar] [CrossRef]
- Ye, H. Nanoscale attraction between calcium-aluminosilicate-hydrate and Mg-Al layered double hydroxides in alkali-activated slag. Mater. Charact. 2018, 140, 95–102. [Google Scholar] [CrossRef]
- Ye, H.; Fu, C.; Yang, G. Influence of dolomite on the properties and microstructure of alkali-activated slag with and without pulverized fly ash. Cem. Concr. Compos. 2019, 103, 224–232. [Google Scholar] [CrossRef]
- Živica, V. Effects of type and dosage of alkaline activator and temperature on the properties of alkali-activated slag mixtures. Constr. Build. Mater. 2007, 21, 1463–1469. [Google Scholar] [CrossRef]
- Palacios, M.; Alonso, M.M.; Varga, C.; Puertas, F. Influence of the alkaline solution and temperature on the rheology and reactivity of alkali-activated fly ash pastes. Cem. Concr. Compos. 2019, 95, 277–284. [Google Scholar] [CrossRef]
- Dai, X.; Aydin, S.; Yardimci, M.Y.; Lesage, K.; de Schutter, G. Influence of water to binder ratio on the rheology and structural Build-up of Alkali-Activated Slag/Fly ash mixtures. Constr. Build. Mater. 2020, 264, 120253. [Google Scholar] [CrossRef]
- Amran, M.; Murali, G.; Khalid, N.H.A.; Fediuk, R.; Ozbakkaloglu, T.; Lee, Y.H.; Haruna, S.; Lee, Y.Y. Slag uses in making an ecofriendly and sustainable concrete: A review. Constr. Build. Mater. 2021, 272, 121942. [Google Scholar] [CrossRef]
- Michalik, A.; Babińska, J.; Chyliński, F.; Piekarczuk, A. Ammonia in Fly Ashes from Flue Gas Denitrification Process and its Impact on the Properties of Cement Composites. Buildings 2019, 9, 225. [Google Scholar] [CrossRef] [Green Version]
- Hodul, J.; Mészárosová, L.; Drochytka, R.; Struhárová, A. Polymer repair products containing fly ash contaminated by denitrification process. Constr. Build. Mater. 2021, 267, 120641. [Google Scholar] [CrossRef]
- Available online: https://www.prumyslovaekologie.cz/info/pusobi-snizovani-emisnich-limitu-na-kvalitu-popilku-a-jejich-vyuziti- (accessed on 20 January 2022).
- Procházka, L.; Boháčová, J. Use of Ash after Denitrification as an Additive to Concrete Based on Alcali-Activated Slag. Solid State Phenom. 2021, 322, 78–83. [Google Scholar] [CrossRef]
- Ismail, I.; Bernal, S.A.; Provis, J.L.; Hamdan, S.; Van Deventer, J.S.J. Microstructural changes in alkali-activated fly ash/slag geopolymers with sulfate exposure. Mater. Struct. 2012, 46, 361–373. [Google Scholar] [CrossRef]
- Procházka, L.; Boháčová, J. Effect of Admixtures on Durability Characteristics of Fly Ash Alkali-activated Material. Emerg. Sci. J. 2020, 4, 493–502. [Google Scholar] [CrossRef]
- Kotouč Štramberk. 2018. Available online: https://www.cemix.cz/kotouc/cz (accessed on 12 January 2018).
- EN 196-1 Methods of Testing Cement—Part 1: Determination of Strength; Office for Technical Standardization, Metrology and State Testing: Prague, Czech Republic, 2005; pp. 5–40.
- Procházka, L.; Mec, P. Possibility of using fly ash after denitrification by SNCR as admixture in alkali-activated materials. Mater. Today Proc. 2021, 37, 42–47. [Google Scholar] [CrossRef]
- Procházka, L.; Boháčová, J. Verification of Durability Properties of Alkali-Activated Materials Based on Blast Furnace Slag with Fly Ash. Solid State Phenomena 2020, 309, 93–97. [Google Scholar] [CrossRef]
- Coppola, L.; Coffetti, D.; Crotti, E.; Gazzaniga, G.; Pastore, T. The Durability of One-Part Alkali-Activated Slag-Based Mortars in Different Environments. Sustainability 2020, 12, 3561. [Google Scholar] [CrossRef]
- EN 196-3 Methods of Testing Cement–Part 3: Determination of Setting Times and Soundness; Office for Technical Standardization, Metrology and State Testing: Prague, Czech Republic, 2006; pp. 5–40.
- 722452 Frost Resistance Test of Mortar; Office for Technical Standardization, Metrology and State Testing: Prague, Czech Republic, 1970; Classifier 722452.
- Bilek, V.; Sucharda, O.; Bujdos, D. Frost Resistance of Alkali-Activated Concrete—An Important Pillar of Their Sustainability. Sustainability 2021, 13, 473. [Google Scholar] [CrossRef]
- Fang, S.; Lam, E.S.S.; Li, B.; Wu, B. Effect of alkali contents, moduli and curing time on engineering properties of alkali-activated slag. Constr. Build. Mater. 2020, 249, 118799. [Google Scholar] [CrossRef]
- Shahrajabian, F.; Behfarnia, K. The effects of nano particles on freeze and thaw resistance of alkali-activated slag concrete. Constr. Build. Mater. 2018, 176, 172–178. [Google Scholar] [CrossRef]
- Zhu, H.; Zhai, M.; Liang, G.; Li, H.; Wu, Q.; Zhang, C.; Hua, S. Experimental study on the freezing resistance and microstructure of alkali-activated slag in the presence of rice husk ash. J. Build. Eng. 2021, 38, 102173. [Google Scholar] [CrossRef]
- Komljenović, M.; Tanasijević, G.; Džunuzović, N.; Provis, J.L. Immobilization of cesium with alkali-activated blast furnace slag. J. Hazard. Mater. 2020, 388, 121765. [Google Scholar] [CrossRef]
- Yao, X.; Yang, T.; Zhang, Z. Compressive strength development and shrinkage of alkali-activated fly ash–slag blends associated with efflorescence. Mater. Struct. 2015, 49, 2907–2918. [Google Scholar] [CrossRef]
- Qin, L.; Gao, X.; Li, Q. Influences of coal fly ash containing ammonium salts on properties of cement paste. J. Environ. Manag. 2019, 249, 109374. [Google Scholar] [CrossRef]
- Kalina, L.; Bílek, V.; Novotný, R.; Mončeková, M.; Másilko, J.; Koplík, J. Effect of Na3PO4 on the Hydration Process of Alkali-Activated Blast Furnace Slag. Materials 2016, 9, 395. [Google Scholar] [CrossRef] [Green Version]
- Ismail, I.; Bernal, S.A.; Provis, J.; Nicolas, R.S.; Hamdan, S.; van Deventer, J.S. Modification of phase evolution in alkali-activated blast furnace slag by the incorporation of fly ash. Cem. Concr. Compos. 2014, 45, 125–135. [Google Scholar] [CrossRef]
- Puertas, F.; Jimenez, A.M.F. Mineralogical and microstructural characterisation of alkali-activated fly ash/slag pastes. Cem. Concr. Compos. 2003, 25, 287–292. [Google Scholar] [CrossRef]
- De Gutierrez, R.M.; Robayo, R.A.; Gordillo, M. Natural pozzolan-and granulated blast furnace slag-based binary geopolymers. Mater. Construcc. 2016, 66, e077. [Google Scholar] [CrossRef] [Green Version]
- Silva, I.; Castro-Gomes, J.P.; Albuquerque, A. Effect of immersion in water partially alkali-activated materials obtained of tungsten mine waste mud. Constr. Build. Mater. 2012, 35, 117–124. [Google Scholar] [CrossRef]
- Procházka, L.; Vojvodíková, B.; Boháčová, J. Possibilities of application cement by-pass dust into the garden architecture elements. Crystals 2021, 11, 1033. [Google Scholar] [CrossRef]














| Oxide | Content [%] | ||
|---|---|---|---|
| FAD | FA | BFS | |
| SiO2 | 50.89 | 48.63 | 33.81 |
| Al2O3 | 21.34 | 22.19 | 8.14 |
| Fe2O3 | 9.49 | 10.94 | 0.32 |
| CaO | 4.48 | 5.27 | 46.16 |
| SO3 | 0.58 | 0.83 | 1.46 |
| K2O | 3.14 | 3.50 | 0.42 |
| MgO | 1.67 | 1.93 | 7.86 |
| LOI | 6.27 | 4.06 | 0.00 |
| PWG 1 | Units | Value |
|---|---|---|
| Content SiO2 | % | 20.24 |
| Content K2O | % | 31.31 |
| Molar weight | - | 1.01 |
| Relative density | kg/m3 | 1640 |
| Mixture | BFS | FA/FAD | PWG 1 | Water | Sand |
|---|---|---|---|---|---|
| BFS | 450 | x | 96.8 | 160 | 1350 |
| 10% FA/FAD | 405 | 45 | 96.8 | 160 | 1350 |
| 20% FA/FAD | 360 | 90 | 96.8 | 160 | 1350 |
| 30% FA/FAD | 315 | 135 | 96.8 | 160 | 1350 |
Publisher’s Note: MDPI stays neutral with regard to jurisdictional claims in published maps and institutional affiliations. |
© 2022 by the authors. Licensee MDPI, Basel, Switzerland. This article is an open access article distributed under the terms and conditions of the Creative Commons Attribution (CC BY) license (https://creativecommons.org/licenses/by/4.0/).
Share and Cite
Procházka, L.; Boháčová, J.; Vojvodíková, B. Influence of Fly Ash Denitrification on Properties of Hybrid Alkali-Activated Composites. Crystals 2022, 12, 633. https://doi.org/10.3390/cryst12050633
Procházka L, Boháčová J, Vojvodíková B. Influence of Fly Ash Denitrification on Properties of Hybrid Alkali-Activated Composites. Crystals. 2022; 12(5):633. https://doi.org/10.3390/cryst12050633
Chicago/Turabian StyleProcházka, Lukáš, Jana Boháčová, and Barbara Vojvodíková. 2022. "Influence of Fly Ash Denitrification on Properties of Hybrid Alkali-Activated Composites" Crystals 12, no. 5: 633. https://doi.org/10.3390/cryst12050633
APA StyleProcházka, L., Boháčová, J., & Vojvodíková, B. (2022). Influence of Fly Ash Denitrification on Properties of Hybrid Alkali-Activated Composites. Crystals, 12(5), 633. https://doi.org/10.3390/cryst12050633

