Synthesis of New Homopiperazine-1.4-Diium Tetrachloridromercurate (II) Monohydrate (C5H14N2)[HgCl4]·H2O, Crystal Structure, Hirshfeld Surface, Spectroscopy, Thermal Analysis, Antioxidant Activity, Electric and Dielectric Behavior
Abstract
1. Introduction
2. Experimental Part
2.1. Chemical Preparation
2.2. Investigation Methods
3. Results and Discussion
3.1. X-ray Diffraction Powder Analysis
3.2. Structure Description of (C5H14N2)[HgCl4]·H2O
3.3. Hirshfeld Surface Analysis
3.4. Vibrational Study
3.5. Fluorescence Properties
3.6. Thermal Behavior
3.7. Dielectric Constant Investigation
3.7.1. The Dielectric Constants (ε′ and ε″) Versus ln(f)
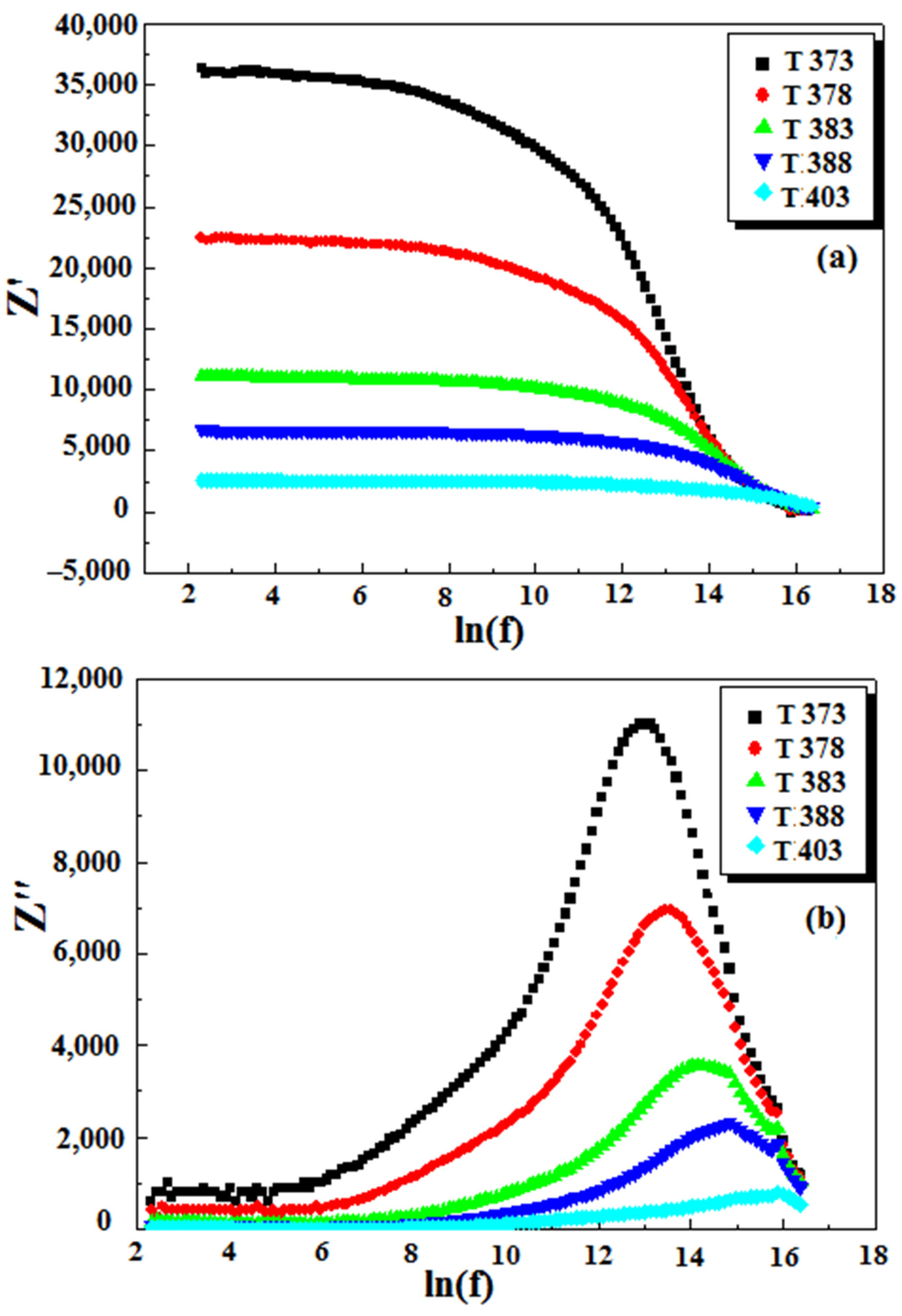
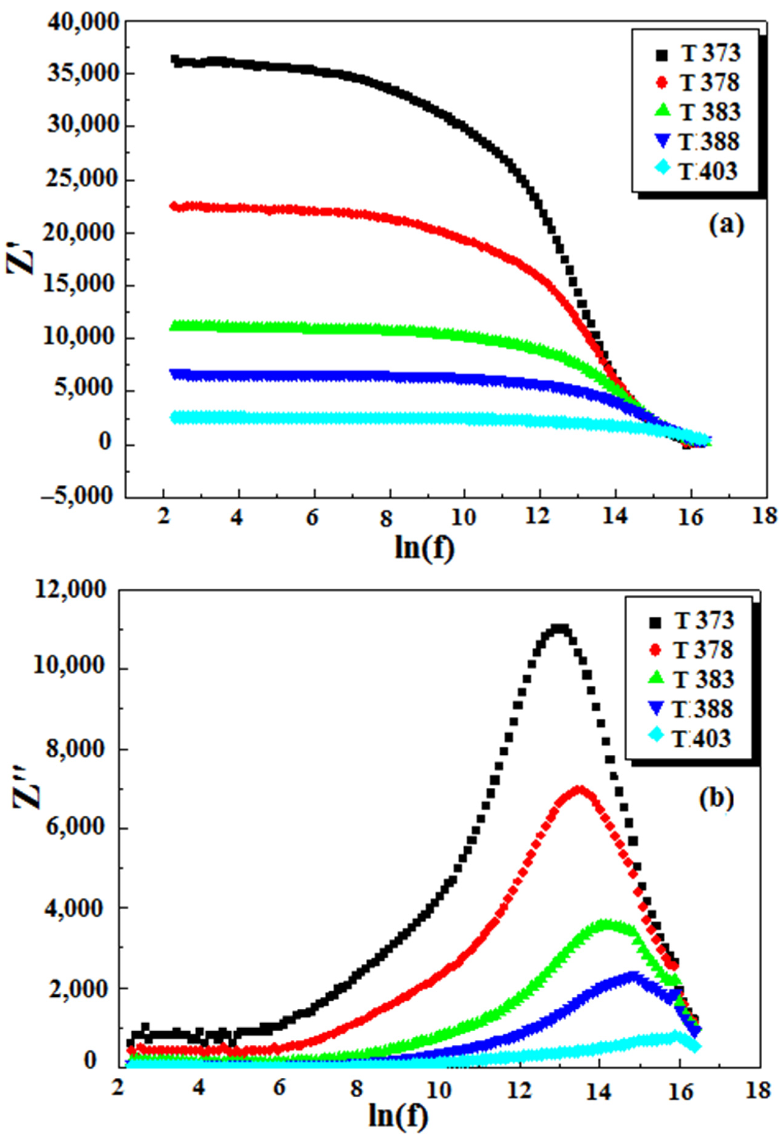
3.7.2. Impedance Spectroscopy
3.7.3. Electric Conductivity
3.7.4. Electrical Modulus
- ε0 represents the permittivity of free space;
- A is the area of the electrode surface;
- T expresses the thickness.
3.8. Discussion of Antioxidant Activity
4. Conclusions
Supplementary Materials
Author Contributions
Funding
Institutional Review Board Statement
Informed Consent Statement
Data Availability Statement
Acknowledgments
Conflicts of Interest
References
- Baklouti, Y.; Zouari, F. Synthesis, Crystal Structure, Thermal and Dielectric Properties of a New Semi-organic Crystal: 2[N(2-Aminoethyl)-1,3-propanediaminium] octachlorodimercurate, tetrachloromercurate. J. Clust. Sci. 2015, 26, 1215–1229. [Google Scholar] [CrossRef]
- Grdenić, D. The structural chemistry of mercury. Q. Rev. Chem. Soc. 1965, 19, 303–328. [Google Scholar] [CrossRef]
- Lambarki, F.; Ouasri, A.; Rhandour, A.; Saadi, M.; El Ammari, L.; Hajji, L. Structural, vibrational and electrical studies of tetramethylammonium trichloromercurate [(CH3)4N]HgCl3. J. Mol. Struct. 2018, 1173, 865–875. [Google Scholar] [CrossRef]
- Pitt, M.A.; Johnson, D.W. Main group supramolecular chemistry. Chem. Soc. Rev. 2007, 36, 1441–1453. [Google Scholar] [CrossRef]
- Robin, A.Y.; Fromm, K.M. Coordination polymer networks with O-and N-donors: What they are, why and how they are made. Coord. Chem. Rev. 2006, 250, 2127–2157. [Google Scholar] [CrossRef]
- Mahmoudi, G.; Morsali, A. Counter-ion influence on the coordination mode of the 2, 5-bis (4-pyridyl)-1, 3, 4-oxadiazole (bpo) ligand in mercury (II) coordination polymers, [Hg (bpo)nX2]: X = I−, Br−, SCN−, N3− and NO2−; spectroscopic, thermal, fluorescence and structural studies. Cryst. Eng. Comm. 2007, 9, 1062–1072. [Google Scholar] [CrossRef]
- BelHajSalah, S.; Hermi, S.; Alotaibi, A.A.; Alotaibi, K.M.; Lefebvre, F.; Kaminsky, W.; BenNasr, C.; Mrad, M.H. Stabilization ofhexachloride net withmixedSn(IV) metal complex and2,3-dimethylanilinium organic cation: Elaboration, optical, spectroscopic, computational studies andthermal analysis. Chem. Pap. 2022, 76, 1861–1873. [Google Scholar] [CrossRef]
- Althobaiti, M.G.; Hermi, S.; Alotaibi, A.A.; Alotaibi, K.M.; Hassan, H.A.; Mi, J.X.; Ben Nasr, C.; Mrad, M.H. A New Cu (II) Metal Complex Template with 4–Tert–Butyl-Pyridinium Organic Cation: Synthesis, Structure, Hirshfeld Surface, Characterizations and Antibacterial Activity. Crystals 2022, 12, 254. [Google Scholar] [CrossRef]
- Hermi, S.; Althobaiti, M.G.; Alotaibi, A.A.; Almarri, A.H.; Fujita, W.; Lefebvre, F.; Ben Nasr, C.; Mrad, M.H. Synthesis, Crystal Structure, DFT Theoretical CalculationandPhysico-Chemical Characterization of a New Complex Material (C6H8Cl2N2)2[Cd3Cl10]·6H2O. Crystals 2021, 11, 553. [Google Scholar] [CrossRef]
- Hermi, S.; Alotaibi, A.A.; Alswieleh, A.M.; Alotaibi, K.M.; Althobaiti, M.G.; Jelsch, C.; Wenger, E.; Ben Nasr, C.; Mrad, M.H. The Coordination Behavior of Two New Complexes, [(C7H10NO2)CdCl3]n(I) and [(C7H9NO2)CuCl2] (II), Based on 2,6-Dimethanolpyridine; Elaboration of the Structure and Hirshfeld Surface, Optical, Spectroscopic and Thermal Analysis. Materials 2022, 15, 1624. [Google Scholar] [CrossRef]
- Menabue, L.; Pellacani, G.C.; Albinati, A.; Ganazzoli, F.; Cariati, F.; Rassu, G. Synthesis and low-frequency vibrational spectra of N-(2-ammoniumethyl)-piperazinium halide-mercurates (II). Crystal structure of N-(moniumethyl)-piperaziniummonochloridetetrachloromercurate (II). Inorg. Chim. Acta 1982, 58, 227–231. [Google Scholar] [CrossRef]
- Natal’ya, V.P.; Magarill, S.A.; Borisov, S.V.; Romanenko, G.V.; Pal’chik, N.A. Crystal chemistry of compounds containing mercury in low oxidation states. Russ. Chem. Rev. 1999, 68, 615–636. [Google Scholar]
- Atuchin, V.V.; Borisov, S.V.; Magarill, S.A.; Pervukhina, N.V. Crystal structural premises to epitaxial contacts for a series of mercury-containing compounds. J. Cryst. Growth 2011, 318, 1125–1128. [Google Scholar] [CrossRef]
- Martin, D.P.; Hann, Z.S.; Cohen, S.M. Metalloprotein–Inhibitor Binding: Human Carbonic Anhydrase II as a Model for Probing Metal–Ligand Interactions in a Metalloprotein Active Site. Inorg. Chem. 2013, 52, 12207–12215. [Google Scholar] [CrossRef] [PubMed]
- Wamani, W.; Hannachi, N.; Mhiri, T.; Belhouchet, M. Impedance spectroscopy, electrical relaxation and Ac conductivity studies of organic-inorganic hybrid compound: NH3 (C6H4) 2NH3HgCl4. J. Adv. Chem. 2014, 7, 1348–1358. [Google Scholar] [CrossRef]
- Salah, A.B.; Bats, J.W.; Fuess, H.; Daoud, A. Crystal structure determination of the complexes of trimethylammonium chloride and mercury (II) chloride: (CH3)3NHHgCl3,{(CH3)3NH}2HgCl4, and (CH3)3NHHg2Cl5. Z. Kristallogr. 1983, 164, 259–272. [Google Scholar] [CrossRef]
- Wang, W.X.; Zhu, R.Q.; Fu, X.Q.; Zhang, W. Crystal Structure and Dielectric Property of (p-CH3OC6H4NH3)+(18-crown-6)·H2PO4−·2H3PO4. Z. Anorg. Allg. Chem. 2012, 638, 1123–1126. [Google Scholar] [CrossRef]
- Debabis, R.B.; Amamou, W.; Chniba-Boudjada, N.; Zouari, F. Synthesis, crystal structure, and vibrational and magnetic properties of Co (II) and Hg (II) complexes with an 8-hydroxyquinoline unit. J. Phys. Chem. Solids 2019, 124, 296–304. [Google Scholar] [CrossRef]
- Kim, Y.; Choi, J.; Nam, S.; Jeong, S.; Yoon, Y. NMR study of carbon dioxide absorption in aqueous potassium carbonate and homopiperazine blend. Energy Fuels 2012, 26, 1449–1458. [Google Scholar] [CrossRef]
- Li, T.; Chen, C.; Guo, F.; Li, J.; Zeng, H.; Lin, Z. Extra-large-pore metal sulfate-oxalates with diamondoid and zeolitic frameworks. Inorg. Chem. Commun. 2018, 93, 33–36. [Google Scholar] [CrossRef]
- Sahbani, T.; Sta, W.S.; Al-Deyab, S.S.; Rzaigui, M. Homopiperazine-1,4-diium bis[hexaaquacobalt(II)] trisulfate. Acta Crystallogr. Sect. E 2011, 67, m1079. [Google Scholar] [CrossRef] [PubMed]
- Natarajan, S. Hydro/solvothermal synthesis and structures of new zinc phosphates of varying dimensionality. Inorg. Chem. 2002, 41, 5530–5537. [Google Scholar] [CrossRef] [PubMed]
- Guo, Y.-M.; Du, M.; Bu, X.-H. Bis(1,4-diazacycloheptane-N,N’)nickel(II) perchlorate. Acta Crystallogr. Sect. E 2001, 57, m280–m282. [Google Scholar] [CrossRef]
- Xing, Z.; Yin, H.-B. Crystal structure of (1,4-diazepane)4CuII2(μ-Cl)10CuI6, C20H48Cl10Cu8N8. Z. Kristallogr. NCS 2019, 243, 391–392. [Google Scholar] [CrossRef]
- Ling, E.C.H.; Allen, G.W.; Hambley, T.W. DNA binding of a platinum(II) complex designed to bind interstrand but not intrastrand. J. Am. Chem. Soc. 1994, 116, 2673–2674. [Google Scholar] [CrossRef]
- Ali, M.S.; Powers, C.A.; Whitmire, K.H.; Guzman-Jimenez, I.; Khokhar, A.R. Synthesis, characterization, and representative crystal structure of lipophilic platinum(II) (homopiperazine)carboxylate complexes. J. Coord. Chem. 2001, 52, 273–287. [Google Scholar] [CrossRef]
- Ali, M.S.; Mukhopadhyay, U.; Shirvani, S.M.; Thurston, J.; Whitmire, K.H.; Khokhar, A.R. Homopiperazine platinum(II) complexes containing substituted disulfide groups: Crystal structure of [PtII(homopiperazine)(diphenylsulfide)Cl]NO3. Polyhedron 2002, 21, 125–131. [Google Scholar] [CrossRef]
- Ali, M.S.; Longoria, E., Jr.; Ely, T.O.; Whitmire, K.H.; Khokhar, A.R. HomopiperazinePt(II) adducts with DNA bases and nucleosides: Crystal structure of [PtII(homopiperazine)(9-ethylguanine)2](NO3)2. Polyhedron 2006, 25, 2065–2071. [Google Scholar] [CrossRef]
- Phlip, D. Supramolecular Chemistry: Concepts and Perspectives; Wiley: Hoboken, NJ, USA, 1996; pp. 1–6. ISBN 3527-2931. [Google Scholar]
- Schneider, H.J. Mechanisms of molecular recognition: Investigations of organic host–guest complexes. Angew. Chem. Int. Ed. 1991, 30, 1417–1436. [Google Scholar] [CrossRef]
- Feddaoui, I.; Abdelbaky, M.S.M.; García-Granda, S.; Ben Nasr, C.; Mrad, M.H. Elaboration, crystal structure, vibrational, optical properties, thermal analysis and theoretical study of a new inorganic-organic hybrid salt [C4H12N2]4·Pb2Cl11·Cl.·4H2O. J. Mol. Struct. 2020, 1211, 128056. [Google Scholar] [CrossRef]
- Teimoori, S.; Panjamurthy, K.; Vinaya, K.; Prasanna, D.S.; Raghavan, S.C.; Rangappa, K.S. Synthesis and Biological Evaluation of Novel Homopiperazine Derivatives as Anticancer Agents. J. Cancer Ther. 2011, 2, 507–514. [Google Scholar] [CrossRef][Green Version]
- Belhaj Salah, S.; da Silva, P.S.P.; Lefebvre, F.; Ben Nasr, C.; Ammar, S.; Mrad, M.L. Synthesis, crystal structure, physico-chemical characterization of a new hybrid material, (2-hydroxyethyl)piperazine-1,4-diium hexachlorostannate(IV) monohydrate. J. Mol. Struct. 2017, 1137, 553–561. [Google Scholar] [CrossRef]
- Sheldrick, G.M. Crystal structure refinement with SHELXL. ActaCrystallogr. Sect. C 2015, 71, 3–8. [Google Scholar] [CrossRef] [PubMed]
- Brandenburg, K. Diamond Version 2.0; Crystal Impact: Bonn, Germany, 1998. [Google Scholar]
- Macrae, C.F.; Edgington, P.R.; McCabe, P.; Pidcock, E.; Shields, G.P.; Taylor, R.; Towler, M.; van de Streek, J. Mercury: Visualization and analysis of crystal structures. J. Appl. Crystallogr. 2006, 39, 453–457. [Google Scholar] [CrossRef]
- Brand-Williams, W.; Cuvelier, M.E.; Berset, C. Use of a Free Radical Method to Evaluate Antioxidant Activity. Lebensm. Wiss. U. Technol. 1995, 28, 25–30. [Google Scholar] [CrossRef]
- Yang, L.; Powell, D.R.; Houser, R.P. Structural variation in copper (I) complexes with pyridylmethylamide ligands: Structural analysis with a new four-coordinate geometry index, τ4. Dalton Trans. 2007, 9, 955–964. [Google Scholar] [CrossRef]
- Kumar, M.; Verma, S.K.; Singh, B.; Thakur, A.; Kumar, A.; Jasrotia, D. 2D Interwoven Metal-Organic Framework in Tetrachloromercurate (II) based Hybrid Material. Chem. Sci. 2015, 4, 629–637. [Google Scholar]
- Dinesh, J.; Rademeyer, M.; Billing, D.G.; Lemmerer, A. Bis (2-methyl-4-nitroanilinium) tetrachloridomercurate (II). ActaCrystallogr. Sect. E 2008, 64, m1598. [Google Scholar] [CrossRef]
- Jomaa, M.B.; Bourguiba, N.F.; Chebbi, H.; Abdelbaky, M.S.; García-Granda, S.; Korbi, N.; Ouzari, H.I. Structural study, spectroscopic characterization, thermal behavior, DFT calculations and antimicrobial properties of a new hybrid compound, (C7H9N2)2 [HgCl4]·H2O. J. Coord. Chem. 2020, 73, 506–523. [Google Scholar] [CrossRef]
- Zhu, R.Q. Bis(2-ethyl-1H-imidazol-3-ium) tetrachloridomercurate(II). ActaCrystallogr. Sect. E 2012, E68, m148. [Google Scholar] [CrossRef]
- Ayari, C.; Althobaiti, M.G.; Alotaibi, A.A.; Almarri, A.; Ferretti, V.; Ben Nasr, C.; Mrad, M.H. Synthesis, Crystal Structure, Hirshfeld Surface, and Physicochemical Characterization of New Salt Bis (2-ethyl-6-methylanilinium) tetrachloromercurate (II)[C9H14N]2HgCl4. J. Chem. 2021, 2021. [Google Scholar] [CrossRef]
- Ayari, C.; Alotaibi, A.A.; Alotaibi, K.M.; Ferretti, V.; Kaminsky, W.; Lefebvre, F.; Ben Nasr, C.; Mrad, M.H. A new Hg (II) hybrid compound (C6H9N2)[Hg6Cl13]· H2O elaboration, crystal structure, spectroscopic, thermal, and DFT theoretical calculations. Chem. Pap. 2022, 76, 2327–2340. [Google Scholar] [CrossRef]
- Mrad, M.L.; Belhajsalah, S.; Abdelbaky, M.S.M.; Garcia-Granda, S.; Essalah, K.; Ben Nasr, C. Synthesis, crystal structure, vibrational, optical properties, and a theoretical study of a new Pb (II) complex with bis (1-methylpiperazine-1,4-diium):[C5H14N2]2PbCl6·3H2O. J. Coord. Chem. 2019, 72, 358–371. [Google Scholar] [CrossRef]
- Cremer, D.T.; Pople, J.A. General definition of ring puckering coordinates. J. Am. Chem. Soc. 1975, 97, 1354–1358. [Google Scholar] [CrossRef]
- Wolff, S.K.; Grimwood, D.J.; McKinnon, J.J.; Jayatilaka, D.; Spackman, M.A. Crystal Explorer, version 1.5; University of Western Australia: Perth, Australia, 2007. [Google Scholar]
- Hermi, S.; Alotaibi, A.A.; Lefebvre, F.; Ben Nasr, C.; Mrad, M.H. Elaboration, crystal structure, physico-chemical characterization and theoretical investigation of a new non-centrosymmetricSn (IV) complex (C4H12N2)[SnCl6]·3H2O. J. Mol. Struct. 2020, 1216, 128296. [Google Scholar] [CrossRef]
- Shi, Q.Z.; Xing, Z.; Cao, Y.N.; Ma, S.B.; Chen, L.Z. Synthesis, structure and dielectric properties of a Cd coordination polymer based on homopiperazine. J. Mol. Struct. 2017, 1130, 363–367. [Google Scholar] [CrossRef]
- Mrad, M.H.; Feddaoui, I.; Abdelbaky, M.S.; García-Granda, S.; Nasr, C.B. Elaboration, crystal structure, characterization and DFT calculation of a new Hg (II) inorganic-organic hybrid salt [C6H16N2O] HgCl4. J. Solid State Chem. 2020, 286, 121280. [Google Scholar] [CrossRef]
- Kitagawa, S.; Kitaura, R.; Noro, S.I. Functional porous coordination polymers. Angew. Chem. Int. Ed. 2004, 43, 2334–2375. [Google Scholar] [CrossRef]
- Mrad, M.L.; Feddaoui, I.; Abdelbaky, M.S.M.; García-Granda, S.; Ben Nasr, C. Synthesis, crystal structure, vibrational and optical properties of a new Pb(II) complex (2-hydroxyethyl)piperazine-1,4-diium tetrachloroplombate(II) C6H16N2OPbCl4. Inorg. Chim. Acta 2018, 476, 38–45. [Google Scholar] [CrossRef]
- Wu, L.M.; Wu, X.T.; Chen, L. Structural overview and structure–property relationships of iodoplumbate and iodobismuthate. Coord. Chem. Rev. 2009, 253, 2787–2804. [Google Scholar] [CrossRef]
- Adonin, S.A.; Sokolov, M.N.; Fedin, V.P. Polynuclear halide complexes of Bi (III): From structural diversity to the new properties. Coord. Chem. Rev. 2016, 312, 1–21. [Google Scholar] [CrossRef]
- Potheher, I.V.; Rajarajan, K.; Jeyasekaran, R.; Vimalan, M.; Yogam, F.; Sagayaraj, P. Growth, Optical, Thermal and Conductivity Behavior of Nonlinear Optical Single Crystals of CdHg(SCN)4(CH3OC2H5O). J. Therm. Anal. Calorim. 2013, 111, 1491–1497. [Google Scholar] [CrossRef]
- Ahmad, N.; Ahmad, M.M.; Kotru, P.N. Single crystal growth by gel technique and characterization of lithium hydrogen tartrate. J. Cryst. Growth 2015, 412, 72–79. [Google Scholar] [CrossRef]
- Rajagopal, B.; Sharma, A.V.; Ramana, M.V. Electric and FTIR studies on magnesium hydrogen maleate hexahydrate (MHMH) single crystals. Scholars Research Library. Arch. Appl. Sci. Res. 2011, 3, 321–326. [Google Scholar]
- Mahfoudh, N.; Karoui, K.; Khirouni, K.; Ben Rhaiem, A. Optical, electrical properties and conduction mechanism of [(CH3)2NH2]2ZnCl4 compound. Physica B Condens. Matter. 2018, 554, 126–136. [Google Scholar] [CrossRef]
- Karoui, K.; Ben Rhaiem, A.; Guidara, K. Electrical characterization of the [N(CH3)4][N(C2H5)4] ZnCl4compound. Ionics 2011, 17, 517–525. [Google Scholar] [CrossRef]
- Singh, S.; Ralhan, N.K.; Kotnala, R.K.; Verma, K.C. Nanosize dependent electrical and magnetic properties of NiFe2O4 ferrite. Indian J. Pure Appl. Phys. 2012, 50, 739–743. [Google Scholar]
- Karoui, K.; Rhaiem, A.B.; Hlel, F.; Arous, M.; Guidara, K. Dielectric and electric studies of the [N(CH3)4][N(C2H5)4]ZnCl4 compound at low temperature. Mater. Chem. Phys. 2012, 133, 1–7. [Google Scholar] [CrossRef]
- Sinclair, D.C.; West, A.R. Impedance and modulus spectroscopy of semiconducting BaTiO3 showing positive temperature coefficient of resistance. J. Appl. Phys. 1989, 66, 3850–3856. [Google Scholar] [CrossRef]
- Mohamed, C.B.; Karoui, K.; Jomni, F.; Guidara, K.; Rhaiem, A.B. Electrical properties and conduction mechanism of [C2H5NH3]2CuCl4 compound. J. Mol. Struct. 2015, 1082, 38–48. [Google Scholar] [CrossRef]
- Rao, K.S.; Prasad, D.M.; Krishna, P.M.; Tilak, B.; Varadarajulu, K.C. Impedance and modulus spectroscopy studies on Ba0. 1Sr0.81La0.06Bi2Nb2O9ceramic. Mater. Sci. Eng. B 2006, 133, 141–150. [Google Scholar]
- Chandra, K.P.; Prasad, K.; Gupta, R.N. Impedance spectroscopy study of an organic semiconductor: Alizarin. Phys. B Condens. Matter 2007, 388, 118–123. [Google Scholar] [CrossRef]
- Rao, K.S.; Krishna, P.M.; Prasad, D.M.; Lee, J.H.; Kim, J.S. Electrical, electromechanical and structural studies of lead potassium samarium niobateceramics. J. Alloys. Compd. 2008, 464, 497–507. [Google Scholar] [CrossRef]
- Mansour, S.A.; Yahia, I.S.; Sakr, G.B. Electrical conductivity and dielectric relaxation behavior of fluorescein sodium salt (FSS). Solid State Commun. 2010, 150, 1386–1391. [Google Scholar] [CrossRef]
- Hangloo, V.; Tickoo, R.; Bamzai, K.K.; Kotru, P.N. Dielectric characteristics of mixed Gd–Ba molybdate crystals grown at ambient temperatures by the gel encapsulation technique. Mater. Chem. Phys. 2003, 81, 152–159. [Google Scholar] [CrossRef]
- Borsa, F.; Torgeson, D.R.; Martin, S.W.; Patel, H.K. Relaxation and fluctuations in glassy fast-ion conductors: Wide-frequency-range NMR and conductivity measurements. Phys. Rev. B 1992, 46, 795. [Google Scholar] [CrossRef] [PubMed]
- Braca, A.; De Tommasi, N.; Di Bari, L.; Pizza, C.; Politi, M.; Morelli, I. Antioxidant Principles from Bauhinia tarapotensis. J. Nat. Prod. 2001, 64, 892–895. [Google Scholar] [CrossRef]

















| Crystal Data | |
| Chemical formula | (C5H14N2)[HgCl4]·H2O |
| Molar mass (g·mol−1) | 462.59 |
| Crystal system, space group | Monoclinic, P21/c |
| Temperature (K) | 293 |
| a, b, c(Å) | 6.272 (3), 12.480 (6), 15.984 (9) |
| β (°) | 94.386 (6) |
| V (Å3) | 1247.5 (11) |
| Z | 4 |
| Radiation type | Mo Kα |
| µ (mm−1) | 13.16 |
| Crystal size (mm) | 0.45 × 0.3 × 0.2 |
| Form, Color | Prism, colorless |
| Data Collection | |
| Diffractometer Absorption correction | Rigaku Mercury CCD2 Multi-scan |
| Tmin, Tmax Limits h, k, l | 0.048, 0.071 h = −8–8 k = −16–13 l = −17–20 |
| No. of measured, independent, and observed (I > 2σ(I)) reflections | 9371, 2829, 2214 |
| Rint | 0.061 |
| (sinθ/λ)max (Å−1) | 0.649 |
| Refinement | |
| R[F2 > 2σ(F2)], wR (F2), S | 0.035, 0.089, 1.07 |
| No. of reflections | 2829 |
| No. of parameters | 119 |
| ∆ρmin, ∆ρmax(e·Å−3) | −1.50, 1.47 |
| CCDC No. | 2155598 |
| Atoms | Hg | Cl | O | H |
|---|---|---|---|---|
| % Surface | 1.8 | 32.35 | 4.05 | 61.6 |
| Hg | 2.15 | 0.50 | ||
| Cl | 0.12 | 1.49 | ||
| O | 1.62 | |||
| H | 0.72 |
Publisher’s Note: MDPI stays neutral with regard to jurisdictional claims in published maps and institutional affiliations. |
© 2022 by the authors. Licensee MDPI, Basel, Switzerland. This article is an open access article distributed under the terms and conditions of the Creative Commons Attribution (CC BY) license (https://creativecommons.org/licenses/by/4.0/).
Share and Cite
Ayari, C.; Alotaibi, A.A.; Baashen, M.A.; Alotaibi, K.M.; Alharbi, K.H.; Othmani, A.; Fujita, W.; Nasr, C.B.; Mrad, M.H. Synthesis of New Homopiperazine-1.4-Diium Tetrachloridromercurate (II) Monohydrate (C5H14N2)[HgCl4]·H2O, Crystal Structure, Hirshfeld Surface, Spectroscopy, Thermal Analysis, Antioxidant Activity, Electric and Dielectric Behavior. Crystals 2022, 12, 486. https://doi.org/10.3390/cryst12040486
Ayari C, Alotaibi AA, Baashen MA, Alotaibi KM, Alharbi KH, Othmani A, Fujita W, Nasr CB, Mrad MH. Synthesis of New Homopiperazine-1.4-Diium Tetrachloridromercurate (II) Monohydrate (C5H14N2)[HgCl4]·H2O, Crystal Structure, Hirshfeld Surface, Spectroscopy, Thermal Analysis, Antioxidant Activity, Electric and Dielectric Behavior. Crystals. 2022; 12(4):486. https://doi.org/10.3390/cryst12040486
Chicago/Turabian StyleAyari, Chaima, Abdullah A. Alotaibi, Mohammed A. Baashen, Khalid M. Alotaibi, Khadijah H. Alharbi, Abdelhak Othmani, Wataru Fujita, Cherif Ben Nasr, and Mohamed Habib Mrad. 2022. "Synthesis of New Homopiperazine-1.4-Diium Tetrachloridromercurate (II) Monohydrate (C5H14N2)[HgCl4]·H2O, Crystal Structure, Hirshfeld Surface, Spectroscopy, Thermal Analysis, Antioxidant Activity, Electric and Dielectric Behavior" Crystals 12, no. 4: 486. https://doi.org/10.3390/cryst12040486
APA StyleAyari, C., Alotaibi, A. A., Baashen, M. A., Alotaibi, K. M., Alharbi, K. H., Othmani, A., Fujita, W., Nasr, C. B., & Mrad, M. H. (2022). Synthesis of New Homopiperazine-1.4-Diium Tetrachloridromercurate (II) Monohydrate (C5H14N2)[HgCl4]·H2O, Crystal Structure, Hirshfeld Surface, Spectroscopy, Thermal Analysis, Antioxidant Activity, Electric and Dielectric Behavior. Crystals, 12(4), 486. https://doi.org/10.3390/cryst12040486

