High-Fidelity Mock Development for the Insensitive High Explosive TATB
Abstract
:1. Introduction
2. Materials and Methods
2.1. Materials
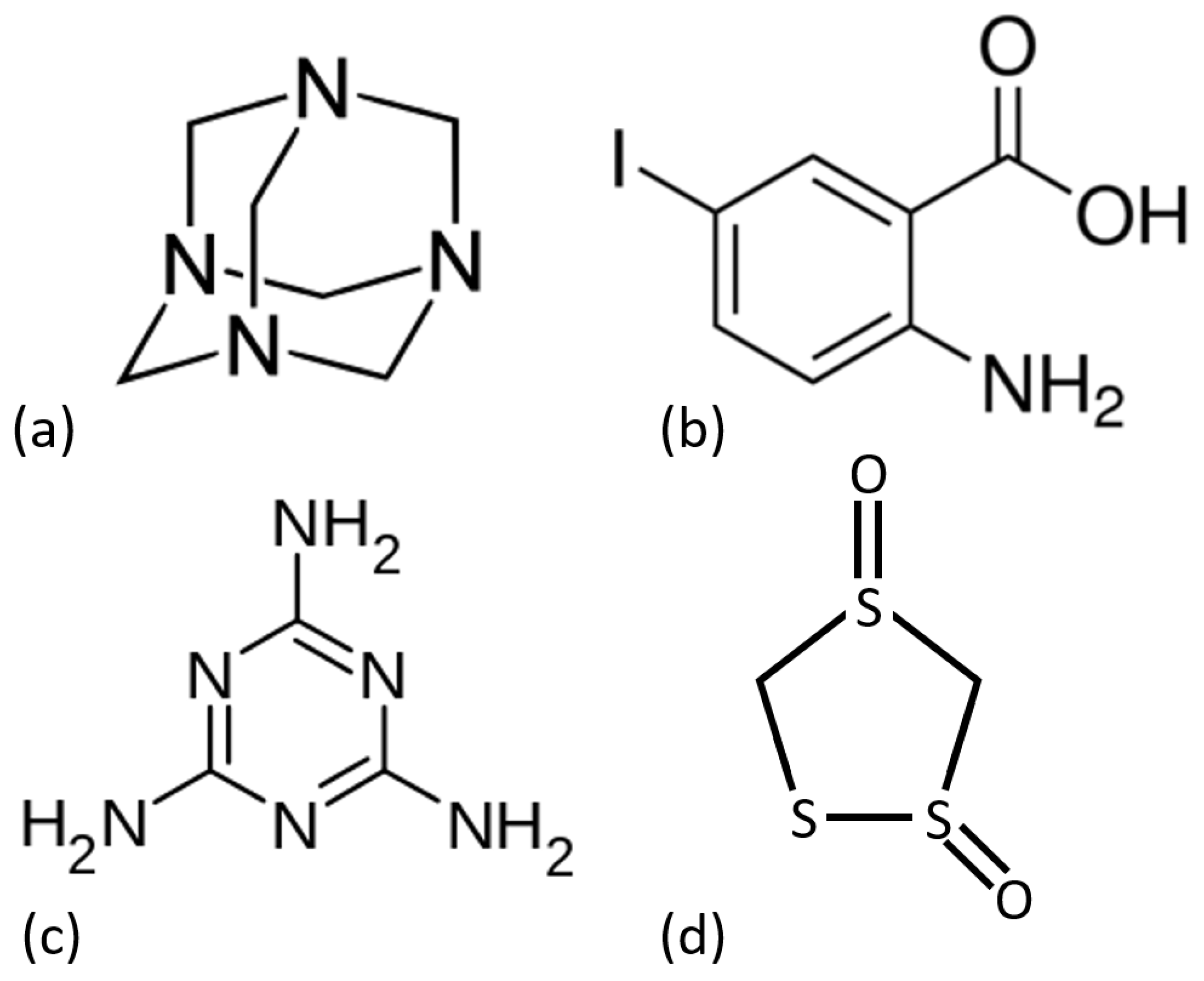
2.1.1. TTDO Synthesis
2.1.2. PFPAP Synthesis
2.2. Characterization and Processing Methods
3. Results
3.1. Material Selection
3.2. Thermal Characterization
3.3. Mechanical Characterization
4. Discussion
5. Conclusions
Author Contributions
Funding
Institutional Review Board Statement
Informed Consent Statement
Data Availability Statement
Acknowledgments
Conflicts of Interest
References
- Dobratz, B. The Insensitive High Explosive Triaminotrinitrobenzene (TATB): Development and Characterization, 1888 to 1994; Technical Report LA-13014-H; Los Alamos National Laboratory: Los Alamos NM, USA, 1995. [Google Scholar]
- Yeager, J.; Dattelbaum, A.; Orler, E.; Bahr, D.; Dattelbaum, D. Adhesive Properties of Some Fluoropolymer Binders with the Insensitive Explosive 1,3,5-triamino-2,4,6-trinitrobenzene (TATB). J. Colloid Interface Sci. 2010, 352, 535–541. [Google Scholar] [CrossRef] [PubMed]
- Boddu, V.; Viswanath, D.; Ghosh, T.; Damavarapu, R. 2, 4, 6-Triamino-1, 3, 5-trinitrobenzene (TATB) and TATB-based formulations—A review. J. Hazard. Mater. 2010, 181, 1–8. [Google Scholar] [CrossRef] [PubMed]
- Wasley, R.; Hoge, K.; Cast, J. Combined Strain Gauge-Quartz Crystal Instrumented Hopkinson Split Bar. Rev. Sci. Instrum. 1969, 40, 889–894. [Google Scholar] [CrossRef]
- Hoffman, D.; Cunningham, B.; Tran, T. Mechanical Mocks for Insensitive High Explosives. J. Energ. Mater. 2003, 21, 201–222. [Google Scholar] [CrossRef]
- Liu, C.; Rae, P.; Cady, C.; Lovato, M. Mechanics of Time-Dependent Materials and Processes in Conventional and Multifunctional Materials, Volume 3: Proceedings of the 2011 Annual Conference on Experimental and Applied Mechanics; Springer Science & Business Media: Berlin, Germany, 2011; Volume 3, pp. 151–157. [Google Scholar]
- Cunningham, B.; Gagliardi, F. 900-24 Mock Tensile Tests; Technical Report UCRL-TR-237273; Lawrence Livermore National Laboratory (LLNL): Livermore, CA, USA, 2007. [Google Scholar]
- Dobratz, B.; Crawford, P. LLNL Explosive Handbook: Properties of Chemical Explosives and Explosives and Explosive Simulants; Technical Report UCRL-52997; Lawrence Livermore National Laboratory: Livermore, CA, USA, 1981. [Google Scholar]
- Yeager, J.; Duque, A.H.; Shorty, M.; Bowden, P.; Stull, J. Development of inert density mock materials for HMX. J. Energ. Mater. 2017, 36, 253–265. [Google Scholar] [CrossRef]
- Shunk, D. PBX 9502 Literature Review: An Engineering Perspective; Technical Report LA-UR-13-21673; Los Alamos National Laboratory (LANL): Los Alamos, NM, USA, 2013. [Google Scholar]
- Idar, D.; Holmes, M. Quasi-Static, Low Strain Rate Compression Measurements of PBX 9502 and Mock 900-24 Specimens; Technical Report LA-UR-98-5270; Los Alamos National Laboratory: Los Alamos, NM, USA, 1998. [Google Scholar]
- Burch, A.; Wilde, Z.; Bahr, D.; Yeager, J. A thermal and Nanomechanical Study of Molecular Crystals as Versatile Mocks for Pentaerythritol Tetranitrate. Crystals 2020, 10, 126. [Google Scholar] [CrossRef] [Green Version]
- Williams, J.; McCool, A. Development of a Mechanically Matched Simulant for AFX-808: AFS-808; Technical Report; Air Force Research Laboratory: Montgomery County, OH, USA, 2014. [Google Scholar]
- Ahmido, T.; Ting, A.; Misra, P. Femtosecond laser-induced breakdown spectroscopy of surface nitrate chemicals. Appl. Opt. 2013, 52, 3048–3057. [Google Scholar] [CrossRef]
- Simpson, R.; Pruneda, C. Non-Detonable and Non-Explosive Explosive Simulators. U.S. Patent 5,648,6363, 15 July 1997. [Google Scholar]
- Sheffield, S.; Gustavsen, R.; Alcon, R. Porous HMX initiation studies—Sugar as an inert simulant. In AIP Conference Proceedings; American Institute of Physics: Melville, NY, USA, 1998; Volume 429, pp. 575–578. [Google Scholar]
- Taw, M.; Yeager, J.; Hooks, D.; Carvajal, T.; Bahr, D. The Mechanical Properties of as-grown Noncubic Organic Molecular Crystals Assessed by Nanoindentation. J. Mater. Res. 2017, 32, 2728–2737. [Google Scholar] [CrossRef]
- Taw, M.R.; Bahr, D.F. The Mechanical Properties of Minimally Processed RDX. Propellants Explos. Pyrotech. 2017, 42, 659–664. [Google Scholar] [CrossRef]
- Burch, A.; Yeager, J.; Bahr, D. Nanoindentation of HMX and Idoxuridine to Determine Mechanical Similarity. Crystals 2017, 7, 335. [Google Scholar] [CrossRef] [Green Version]
- Ramos, K.; Hooks, D.; Bahr, D. Direct Observation of Plasticity and Quantitative Hardness Measurements in Single Crystal Cyclotrimethylene Trinitramine by Nanoindentation. Philos. Mag. 2009, 89, 2381–2402. [Google Scholar] [CrossRef]
- Mannepalli, S.; Mangalampalli, K. Indentation Plasticity and Fracture Studies of Organic Crystals. Crystals 2017, 7, 324. [Google Scholar] [CrossRef] [Green Version]
- Herman, M.; Duque, A.; Woznick, C.; Thompson, D.; Yeager, J. Particle Size Effects on Mechanical Properties of Polymer Bonded Composites for Non-hazardous High Explosive Surrogates. In Proceedings of the 42nd Propellant and Explosives Development and Characterization, Virtual, 29 September–9 October 2020. [Google Scholar]
- Herman, M.; Woznick, C.; Scott, S.; Tisdale, J.; Yeager, J.; Duque, A. Composite Binder, Processing, and Particle Size Effects on Mechanical Properties of Non-hazardous High Explosive Surrogates. Powder Technol. 2021, 391, 442–449. [Google Scholar] [CrossRef]
- Liu, C.; Woznick, C.; Scott, S.; Duque, A.; Herman, M.; Yeager, J. Brazilian Disk Compression Testing of Plastic-bonded Idoxuridine Mock Explosive. J. Energ. Mater. 2021, 1–32. [Google Scholar] [CrossRef]
- Siviour, C.; Gifford, M.; Walley, S.; Proud, W.; Field, J. Particle Size Effects on the Mechanical Properties of a Polymer Bonded Explosive. J. Mater. Sci. 2004, 39, 1255–1258. [Google Scholar] [CrossRef]
- Agrawal, J. Recent Trends in High-Energy Materials. Prog. Energy Combust. Sci. 1998, 24, 1–30. [Google Scholar] [CrossRef]
- Groom, C.; Bruno, I.; Lightfoot, M.; Ward, S. The Cambridge Structural Database. Acta Crystallogr. Sect. B Struct. Sci. Cryst. Eng. Mater. 2016, 72, 171–179. [Google Scholar] [CrossRef]
- Morita, K.; Kobayashi, S. Isolation, Structure, and Synthesis of Lenthionine and Its Analogs. Chem. Pharm. Bull. 1967, 15, 988–993. [Google Scholar] [CrossRef] [Green Version]
- Bolz, I.; Schaarschmidt, D.; Rüffer, T.; Lang, H.; Spange, S. A Pyridinium–Barbiturate–Betaine Dye with Pronounced Negative Solvatochromism: A New Approach for Molecular Recognition. Angew. Chem. Int. Ed. 2009, 48, 7440–7443. [Google Scholar] [CrossRef]
- Petzold, H.; Bräutigam, S.; Görls, H.; Weigand, W.; Uhlemann, U.; Geßner, R.; Kiefer, W.; Popp, J.; Majchrzak, A.; Mloston, G. Oxidations of sulfur rich heterocycles – new S-oxides of the parent 1,2,4-trithiolane and its tetramethyl derivative: Synthesis and structural investigations. Inorg. Chim. Acta 2004, 357, 1897–1908. [Google Scholar] [CrossRef]
- Ośmiałowski, B.; Kolehmainen, E.; Gawinecki, R.; Kauppinen, R.; Koivukorpi, J.; Valkonen, A. NMR and quantum chemical studies on association of 2,6-bis(acylamino)pyridines with selected imides and 2,2’-dipyridylamine. Struct. Chem. 2010, 21, 1061–1067. [Google Scholar] [CrossRef] [Green Version]
- Sheldrick, G.M. Crystal Structure Refinement with SHELXL. Acta Crystallogr. Sect. C Struct. Chem. 2015, 71, 3–8. [Google Scholar] [CrossRef] [PubMed]
- Maughan, M.; Carvajal, M.; Bahr, D. Nanomechanical Testing Technique for Millimeter-sized and Smaller Molecular Crystals. Int. J. Pharm. 2015, 486, 324–330. [Google Scholar] [CrossRef] [PubMed]
- Oliver, W.; Pharr, G. An Improved Technique for Determining Hardness and Elastic Modulus Using Load and Displacement Sensing Indentation Experiments. J. Mater. Res. 1992, 7, 1564–1583. [Google Scholar] [CrossRef]
- Seitz, W. Short-Duration Shock Initiation of Triaminotrinitrobenzene (TATB). In Shock Waves in Condensed Matter 1983; Elsevier: Amsterdam, The Netherlands, 1984; pp. 531–534. [Google Scholar]
- Dick, J.; Forest, C.; Ramsay, J.; Seitz, W. The Hugoniot and Shock Sensitivity of a Plastic-Bonded TATB Explosive PBX 9502. J. Appl. Phys. 1988, 63, 4881–4888. [Google Scholar] [CrossRef]
- Johnson, K. Contact Mechanics; Cambridge University Press: Cambridge, UK, 1985. [Google Scholar]
- Lodes, M.; Hartmaier, A.; Go Ken, M.; Durst, K. Influence of dislocation density on the pop-in behavior and indentation size effect in CaF 2 single crystals: Experiments and molecular dynamics simulations. Acta Mater. 2011, 59, 4264–4273. [Google Scholar] [CrossRef]
- Zbib, A.; Bahr, D.F. Dislocation Nucleation and Source Activation during Nanoindentation Yield Points. Metall. Mater. Trans. A 2007, 38, 2249–2255. [Google Scholar] [CrossRef]
- Barnoush, A.; Welsch, M.; Vehoff, H. Correlation between dislocation density and pop-in phenomena in aluminum studied by nanoindentation and electron channeling contrast imaging. Scr. Mater. 2010, 63, 465–468. [Google Scholar] [CrossRef]
- Barnoush, A. Correlation between dislocation density and nanomechanical response during nanoindentation. Acta Mater. 2012, 60, 1268–1277. [Google Scholar] [CrossRef]
- Kelchner, C.; Plimpton, S.; Hamilton, J. Dislocation nucleation and defect structure during surface indentation. Phys. Rev. B 1998, 58, 11085. [Google Scholar] [CrossRef]








| Material | Density (g/cm) | Crystal Structure |
|---|---|---|
| TATB | 1.93 | triclinic |
| Ammelide | 1.71 | |
| Ammeline | 1.70 | |
| AOCA | 1.90 | triclinic |
| BBA | 1.88 | |
| BTFAP | 1.82 | monoclinic |
| Hexamine | 1.35 | cubic |
| IAA | 2.18 | monoclinic |
| ISA | 2.26 | monoclinic |
| Melamine | 1.57 | monoclinic |
| PFPAP | ||
| TTDO | 1.93 | monoclinic |
| Material | Melt Temperature (C) |
|---|---|
| TATB | >250 |
| Ammelide | 390 |
| Ammeline | 417 |
| AOCA | 191 |
| BBA | 255 |
| BTFAP | 183 |
| Hexamine | 273 |
| IAA | 221 |
| ISA | 197 |
| Melamine | 365 |
| PFPAP | 114 |
| TTDO | 158 |
| Material | Elastic Modulus (GPa) | Hardness (GPa) |
|---|---|---|
| TATB [17] | 9.6 ± 1.5 | 0.41 ± 0.04 |
| Hexamine | 18.0 ± 0.5 | 0.19 ± 0.02 |
| IAA | 16.70 ± 1.2 | 0.38 ± 0.05 |
| Melamine | 25.8 ± 3.1 | 1.34 ± 0.19 |
| TTDO | 26.2 ± 3.9 | 1.04 ± 0.06 |
Publisher’s Note: MDPI stays neutral with regard to jurisdictional claims in published maps and institutional affiliations. |
© 2022 by the authors. Licensee MDPI, Basel, Switzerland. This article is an open access article distributed under the terms and conditions of the Creative Commons Attribution (CC BY) license (https://creativecommons.org/licenses/by/4.0/).
Share and Cite
Burch, A.C.; Herman, M.J.; Woznick, C.S.; Nguyen, T.-A.D.; Scott, B.L.; Yeager, J.D. High-Fidelity Mock Development for the Insensitive High Explosive TATB. Crystals 2022, 12, 192. https://doi.org/10.3390/cryst12020192
Burch AC, Herman MJ, Woznick CS, Nguyen T-AD, Scott BL, Yeager JD. High-Fidelity Mock Development for the Insensitive High Explosive TATB. Crystals. 2022; 12(2):192. https://doi.org/10.3390/cryst12020192
Chicago/Turabian StyleBurch, Alexandra C., Matthew J. Herman, Caitlin S. Woznick, Thuy-Ai D. Nguyen, Brian L. Scott, and John D. Yeager. 2022. "High-Fidelity Mock Development for the Insensitive High Explosive TATB" Crystals 12, no. 2: 192. https://doi.org/10.3390/cryst12020192
APA StyleBurch, A. C., Herman, M. J., Woznick, C. S., Nguyen, T.-A. D., Scott, B. L., & Yeager, J. D. (2022). High-Fidelity Mock Development for the Insensitive High Explosive TATB. Crystals, 12(2), 192. https://doi.org/10.3390/cryst12020192

