High-Speed GaN-Based Superluminescent Diode for 4.57 Gbps Visible Light Communication
Abstract
:1. Introduction
2. Materials and Methods
2.1. Blue SLD Structure
2.2. The Principle of Adaptive Bit-Loading Discrete Multiple Tone (DMT) Modulation Scheme
2.3. Experimental Setup
3. Results
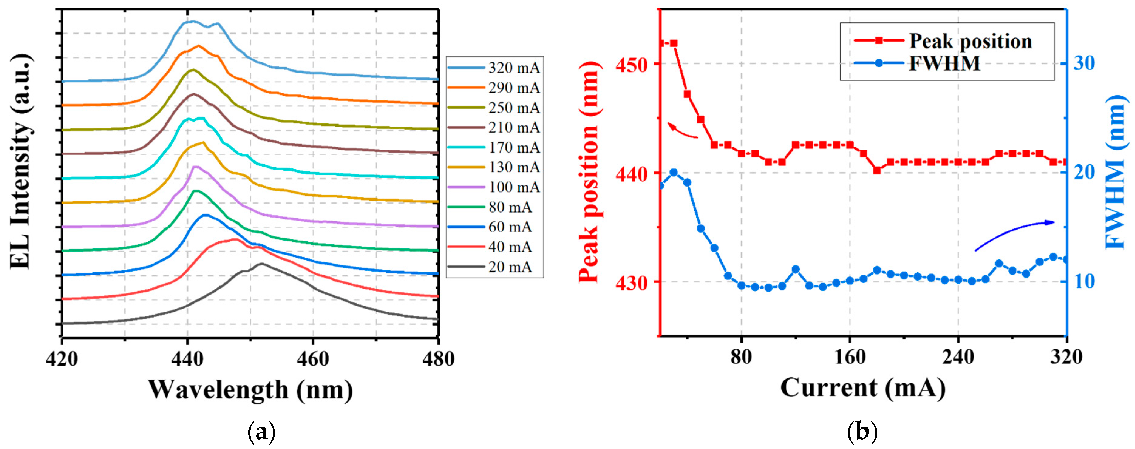
3.1. Device Characterizations
3.2. Data Communication Performance
4. Discussion
5. Conclusions
Author Contributions
Funding
Institutional Review Board Statement
Informed Consent Statement
Data Availability Statement
Acknowledgments
Conflicts of Interest
References
- Chi, N.; Zhou, Y.; Wei, Y.; Hu, F. Visible Light Communication in 6G: Advances, Challenges, and Prospects. IEEE Veh. Technol. Mag. 2020, 15, 93–102. [Google Scholar] [CrossRef]
- Shen, C.; Ma, C.; Li, D.; Hu, J.; Li, G.; Zou, P.; Zhang, J.; Li, Z.; Chi, N. High-speed visible laser light communication: Devices, systems and applications. In Proceedings of the Broadband Access Communication Technologies XV, San Diego, CA, USA, 6–12 March 2021; SPIE: San Diego, CA, USA, 2021; Volume 11711, p. 1171109. [Google Scholar]
- Guo, Y.; Alkhazragi, O.; Kang, C.H.; Shen, C.; Mao, Y.; Sun, X.; Ng, T.K.; Ooi, B.S. A tutorial on laser-based lighting and visible light communications: Device and technology. Chin. Opt. Lett. 2019, 17, 040601. [Google Scholar] [CrossRef]
- Monavarian, M.; Rashidi, A.; Feezell, D. A Decade of Nonpolar and Semipolar III-Nitrides: A Review of Successes and Chal-lenges. Phys. Status Solidi (A) 2019, 216, 1800628. [Google Scholar]
- Alatawi, A.A.; Holguin-Lerma, J.A.; Kang, C.H.; Shen, C.; Subedi, R.C.; Albadri, A.M.; Alyamani, A.Y.; Ng, T.K.; Ooi, B.S. High-power blue superluminescent diode for high CRI lighting and high-speed visible light communication. Opt. Express 2018, 26, 26355–26364. [Google Scholar] [CrossRef] [Green Version]
- Shen, C.; Ng, T.K.; Leonard, J.T.; Pourhashemi, A.; Nakamura, S.; Denbaars, S.; Speck, J.S.; Alyamani, A.Y.; El-Desouki, M.M.; Ooi, B.S. High-brightness semipolar (2021−) blue InGaN/GaN superluminescent diodes for droop-free solid-state lighting and visible-light communications. Opt. Lett. 2016, 41, 2608–2611. [Google Scholar] [CrossRef]
- Rumbolz, C.; Brüderl, G.; Leber, A.; Eichler, C.; Furitsch, M.; Avramescu, A.; Miler, A.; Lell, A.; Strauß, U.; Härle, V. Development of AlInGaN based blue-violet lasers on GaN and SiC substrates. Phys. Status Solidi 2006, 203, 1792–1796. [Google Scholar] [CrossRef]
- Hu, F.; Li, G.; Zou, P.; Hu, J.; Chen, S.; Liu, Q.; Zhang, J.; Jiang, F.; Wang, S.; Chi, N. 20.09-Gbit/s Underwater WDM-VLC Transmission based on a Single Si/GaAs-Substrate Multichromatic LED Array Chip. In Proceedings of the 2020 Optical Fiber Communications Conference and Exhibition (OFC), San Diego, CA, USA, 8–12 March 2020; pp. 1–3. [Google Scholar]
- Shen, C.; Holguin-Lerma, J.A.; Alatawi, A.A.; Zou, P.; Chi, N.; Ng, T.K.; Ooi, B.S. Group-III-Nitride Superluminescent Diodes for Solid-State Lighting and High-Speed Visible Light Communications. IEEE J. Sel. Top. Quantum Electron. 2019, 25, 1–10. [Google Scholar] [CrossRef] [Green Version]
- Campello, J. Practical bit loading for DMT. In Proceedings of the 1999 IEEE International Conference on Communications (Cat. No. 99CH36311), Vancouver, BC, Canada, 6–10 June 1999; Volume 2, pp. 801–805. [Google Scholar]
- Manser, J.; Kamat, P.V. Band filling with free charge carriers in organometal halide perovskites. Nat. Photon. 2014, 8, 737–743. [Google Scholar] [CrossRef]
- Shen, C.; Lee, C.; Ng, T.K.; Nakamura, S.; Speck, J.S.; Denbaars, S.; Alyamani, A.Y.; El-Desouki, M.M.; Ooi, B.S. High-speed 405-nm superluminescent diode (SLD) with 807-MHz modulation bandwidth. Opt. Express 2016, 24, 20281–20286. [Google Scholar] [CrossRef] [PubMed]
- Hu, F.; Holguin-Lerma, J.A.; Mao, Y.; Shen, C.; Sun, X.; Kong, M.; Ng, T.K.; Ooi, B.S.; Chi, N. 3.8-Gbit/s visible light commu-nication (VLC) based on 443-nm superluminescent diode and bit-loading discrete-multiple-tone (DMT) modulation scheme. In Proceedings of the Broadband Access Communication Technologies XIV, San Francisco, CA, USA, 1–6 February 2020. [Google Scholar]
- Rashidi, A.; Rishinaramangalam, A.K.; Aragon, A.A.; Mishkat-Ul-Masabih, S.; Monavarian, M.; Lee, C.; Denbaars, S.; Feezell, D.F. High-Speed Nonpolar InGaN/GaN Superluminescent Diode With 2.5 GHz Modulation Bandwidth. IEEE Photon.Technol. Lett. 2020, 32, 383–386. [Google Scholar] [CrossRef]
- Hu, F.; Holguin-Lerma, J.A.; Mao, Y.; Zou, P.; Shen, C.; Ng, T.K.; Ooi, B.S.; Chi, N. Demonstration of a low-complexity memory-polynomial-aided neural network equalizer for CAP visible-light communication with superluminescent diode. Opto-Electron. Adv. 2020, 3, 200009. [Google Scholar] [CrossRef]
- Alatawi, A.A.; Holguin-Lerma, J.A.; Kang, C.H.; Shen, C.; Albadri, A.M.; Alyamani, A.Y.; Ng, T.K.; Ooi, B.S. Blue Superlu-minescent Diode on c-Plane GaN Beyond Gigahertz Modulation Bandwidth for Visible Light Communication. In Proceedings of the 2019 Conference on Lasers and Electro-Optics Europe and European Quantum Electronics Conference, Munich, Germany, 23–27 June 2019. [Google Scholar]
- Cahill, R.; Maaskant, P.P.; Akhter, M.; Corbett, B. High power surface emitting InGaN superluminescent light-emitting di-odes. Appl. Phys. Lett. 2019, 115, 171102. [Google Scholar] [CrossRef]







| Year | Wavelength | Substrate | Spectral FWHM | Modulation Bandwidth | Data Rate | Modulation Scheme | Ref |
|---|---|---|---|---|---|---|---|
| 2016 | 405 nm | Semipolar GaN | 9 nm | 807 MHz (−3 dB) | 1.3 Gbps | OOK | [12] |
| 2018 | 442 nm | c-GaN | 6.5 nm | 405 MHz (−3 dB) | 1.45 Gbps | NRZ-OOK | [5] |
| 2019 | 442 nm | c-GaN | 7 nm | 1 GHz (−3 dB) | - | - | [16] |
| 2019 | 443 nm | c-GaN | 5.1 nm | - | 3.4 Gbps | DMT | [9] |
| 2019 | 416 nm | Transparent GaN | 6 nm | - | - | - | [17] |
| 2020 | 443 nm | c-GaN | 4.3 nm | 750 MHz | 3.8 Gbps | DMT | [13] |
| 2020 | 428 nm | m-GaN | 3 nm | 2.5 GHz (−3 dB) | - | - | [14] |
| 2020 | 442 nm | c-GaN | 4 nm | 600 MHz | 2.95 Gbps | MAPNN-CAP | [15] |
| 2021 | 442 nm | c-GaN | 12 nm | 1.35 GHz | 4.57 Gbps | DMT | This work |
Publisher’s Note: MDPI stays neutral with regard to jurisdictional claims in published maps and institutional affiliations. |
© 2022 by the authors. Licensee MDPI, Basel, Switzerland. This article is an open access article distributed under the terms and conditions of the Creative Commons Attribution (CC BY) license (https://creativecommons.org/licenses/by/4.0/).
Share and Cite
Li, D.; Ma, C.; Wang, J.; Hu, F.; Hou, Y.; Wang, S.; Hu, J.; Yi, S.; Ma, Y.; Shi, J.; et al. High-Speed GaN-Based Superluminescent Diode for 4.57 Gbps Visible Light Communication. Crystals 2022, 12, 191. https://doi.org/10.3390/cryst12020191
Li D, Ma C, Wang J, Hu F, Hou Y, Wang S, Hu J, Yi S, Ma Y, Shi J, et al. High-Speed GaN-Based Superluminescent Diode for 4.57 Gbps Visible Light Communication. Crystals. 2022; 12(2):191. https://doi.org/10.3390/cryst12020191
Chicago/Turabian StyleLi, Dong, Chicheng Ma, Junfei Wang, Fangchen Hu, Yuqi Hou, Shanshan Wang, Junhui Hu, Shulan Yi, Yingnan Ma, Jianyang Shi, and et al. 2022. "High-Speed GaN-Based Superluminescent Diode for 4.57 Gbps Visible Light Communication" Crystals 12, no. 2: 191. https://doi.org/10.3390/cryst12020191
APA StyleLi, D., Ma, C., Wang, J., Hu, F., Hou, Y., Wang, S., Hu, J., Yi, S., Ma, Y., Shi, J., Zhang, J., Li, Z., Chi, N., Xia, L., & Shen, C. (2022). High-Speed GaN-Based Superluminescent Diode for 4.57 Gbps Visible Light Communication. Crystals, 12(2), 191. https://doi.org/10.3390/cryst12020191

