Pressure-Induced Superconductivity in PdTeI with Quasi-One-Dimensional PdTe Chains
Abstract
1. Introduction
2. Materials and Methods
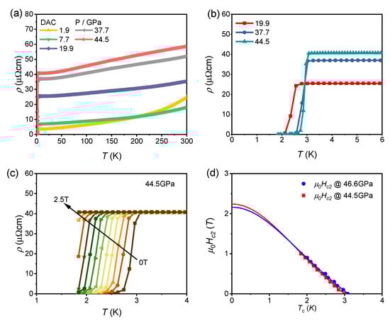
3. Results and Discussion
4. Conclusions
Supplementary Materials
Author Contributions
Funding
Data Availability Statement
Acknowledgments
Conflicts of Interest
References
- Morosan, E.; Zandbergen, H.W.; Dennis, B.S.; Bos, J.W.G.; Onose, Y.; Klimczuk, T.; Ramirez, A.P.; Ong, N.P.; Cava, R.J. Superconductivity in CuxTiSe2. Nat. Phys. 2006, 2, 544–550. [Google Scholar] [CrossRef]
- Kiss, T.; Yokoya, T.; Chainani, A.; Shin, S.; Hanaguri, T.; Nohara, M.; Takagi, H. Charge-order-maximized momentum-dependent superconductivity. Nat. Phys. 2007, 3, 720–725. [Google Scholar] [CrossRef]
- Agterberg, D.F.; Tsunetsugu, H. Dislocations and vortices in pair-density-wave superconductors. Nat. Phys. 2008, 4, 639–642. [Google Scholar] [CrossRef]
- Chang, J.; Blackburn, E.; Holmes, A.T.; Christensen, N.B.; Larsen, J.; Mesot, J.; Liang, R.X.; Bonn, D.A.; Hardy, W.N.; Watenphul, A.; et al. Direct observation of competition between superconductivity and charge density wave order in YBa2Cu3O6.67. Nat. Phys. 2012, 8, 871–876. [Google Scholar] [CrossRef]
- Li, L.J.; Lu, W.J.; Zhu, X.D.; Ling, L.S.; Qu, Z.; Sun, Y.P. Fe-doping-induced superconductivity in the charge-density-wave system 1T-TaS2. EPL 2012, 97, 6. [Google Scholar] [CrossRef]
- Liu, Y.; Ang, R.; Lu, W.J.; Song, W.H.; Li, L.J.; Sun, Y.P. Superconductivity induced by Se-doping in layered charge-density-wave system 1T-TaS2-xSex. Appl. Phys. Lett. 2013, 102, 5. [Google Scholar] [CrossRef]
- Liu, Y.; Shao, D.F.; Li, L.J.; Lu, W.J.; Zhu, X.D.; Tong, P.; Xiao, R.C.; Ling, L.S.; Xi, C.Y.; Pi, L.; et al. Nature of charge density waves and superconductivity in 1T-TaSe2-xTex. Phys. Rev. B 2016, 94, 8. [Google Scholar] [CrossRef]
- Fang, L.; Wang, Y.; Zou, P.Y.; Tang, L.; Xu, Z.; Chen, H.; Dong, C.; Shan, L.; Wen, H.H. Fabrication and superconductivity of NaxTaS2 crystals. Phys. Rev. B 2005, 72, 8. [Google Scholar] [CrossRef]
- Kogar, A.; de la Pena, G.A.; Lee, S.; Fang, Y.; Sun, S.X.L.; Lioi, D.B.; Karapetrov, G.; Finkelstein, K.D.; Ruff, J.P.C.; Abbamonte, P.; et al. Observation of a Charge Density Wave Incommensuration Near the Superconducting Dome in CuxTiSe2. Phys. Rev. Lett. 2017, 118, 5. [Google Scholar] [CrossRef]
- Zhu, X.D.; Lei, H.C.; Petrovic, C. Coexistence of Bulk Superconductivity and Charge Density Wave in CuxZrTe3. Phys. Rev. Lett. 2011, 106, 4. [Google Scholar] [CrossRef]
- Lei, H.; Zhu, X.; Petrovic, C. Raising Tc in charge density wave superconductor ZrTe3 by Ni intercalation. EPL 2011, 95, 17011. [Google Scholar] [CrossRef][Green Version]
- Sipos, B.; Kusmartseva, A.F.; Akrap, A.; Berger, H.; Forro, L.; Tutis, E. From Mott state to superconductivity in 1T-TaS2. Nat. Mater. 2008, 7, 960–965. [Google Scholar] [CrossRef] [PubMed]
- Kusmartseva, A.F.; Sipos, B.; Berger, H.; Forro, L.; Tutis, E. Pressure Induced Superconductivity in Pristine 1T-TiSe2. Phys. Rev. Lett. 2009, 103, 4. [Google Scholar] [CrossRef]
- Chen, K.Y.; Wang, N.N.; Yin, Q.W.; Gu, Y.H.; Jiang, K.; Tu, Z.J.; Gong, C.S.; Uwatoko, Y.; Sun, J.P.; Lei, H.C.; et al. Double Superconducting Dome and Triple Enhancement of T-c in the Kagome Superconductor CsV3Sb5 under High Pressure. Phys. Rev. Lett. 2021, 126, 247001. [Google Scholar] [CrossRef] [PubMed]
- Freitas, D.C.; Rodiere, P.; Osorio, M.R.; Navarro-Moratalla, E.; Nemes, N.M.; Tissen, V.G.; Cario, L.; Coronado, E.; Garcia-Hernandez, M.; Vieira, S.; et al. Strong enhancement of superconductivity at high pressures within the charge-density-wave states of 2H-TaS2 and 2H-TaSe2. Phys. Rev. B 2016, 93, 6. [Google Scholar] [CrossRef]
- Wang, Q.; Kong, P.F.; Shi, W.J.; Pei, C.Y.; Wen, C.H.P.; Gao, L.L.; Zhao, Y.; Yin, Q.W.; Wu, Y.S.; Li, G.; et al. Charge Density Wave Orders and Enhanced Superconductivity under Pressure in the Kagome Metal CsV3Sb5. Adv. Mater. 2021, 33, 6. [Google Scholar] [CrossRef]
- Pei, C.; Ying, T.; Zhao, Y.; Gao, L.; Cao, W.; Li, C.; Hosono, H.; Qi, Y. Pressure-induced reemergence of superconductivity in BaIr2Ge7 and Ba3Ir4Ge16 with cage structures. Matter Radiat. Extrem. 2022, 7, 038404. [Google Scholar] [CrossRef]
- Nagano, Y.; Araoka, N.; Mitsuda, A.; Yayama, H.; Wada, H.; Ichihara, M.; Isobe, M.; Ueda, Y. Charge Density Wave and Superconductivity of RPt2Si2 (R = Y, La, Nd, and Lu). J. Phys. Soc. Japan 2013, 82, 064715. [Google Scholar] [CrossRef]
- Scholz, G.A. Charge-density-wave behaviour in intercalated single crystal Nb3Te4. Solid State Ion. 1997, 100, 135–141. [Google Scholar] [CrossRef]
- Wolf, T.M.R.; Holst, M.F.; Sigrist, M.; Lado, J.L. Nonunitary multiorbital superconductivity from competing interactions in Dirac materials. Phys. rev. res. 2022, 4, L012036. [Google Scholar] [CrossRef]
- Lian, C.-S.; Si, C.; Duan, W. Unveiling Charge-Density Wave, Superconductivity, and Their Competitive Nature in Two-Dimensional NbSe2. Nano Lett. 2018, 18, 2924–2929. [Google Scholar] [CrossRef] [PubMed]
- Yu, F.; Ma, D.; Zhuo, W.; Liu, S.; Wen, X.; Lei, B.; Ying, J.; Chen, X. Unusual competition of superconductivity and charge-density-wave state in a compressed topological kagome metal. Nat. Commun. 2021, 12, 3645. [Google Scholar] [CrossRef] [PubMed]
- Gabovich, A.; Voitenko, A.; Ekino, T.; Li, M.S.; Szymczak, H.; Pękała, M. Competition of superconductivity and charge density waves in cuprates: Recent evidence and interpretation. Adv. Condens. Matter Phys. 2010, 2010, 681070. [Google Scholar] [CrossRef]
- Regueiro, M.N.; Mignot, J.M.; Castello, D. Superconductivity at High Pressure in NbSe3. EPL 1992, 18, 53–57. [Google Scholar] [CrossRef]
- Briggs, A.; Monceau, P.; Nunez-Regueiro, M.; Peyrard, J.; Ribault, M.; Richard, J. Charge density wave formation, superconductivity and Fermi surface determination in NbSe3 a pressure study. J. Phys. C 1980, 13, 2117–2130. [Google Scholar] [CrossRef]
- Liu, Z.Y.; Li, J.; Zhang, J.F.; Li, J.; Yang, P.T.; Zhang, S.; Chen, G.F.; Uwatoko, Y.; Yang, H.X.; Sui, Y.; et al. Quasi-one-dimensional superconductivity in the pressurized charge-density-wave conductor HfTe3. NPJ Quantum Mater. 2021, 6, 90. [Google Scholar] [CrossRef]
- Denholme, S.J.; Yukawa, A.; Tsumura, K.; Nagao, M.; Tamura, R.; Watauchi, S.; Tanaka, I.; Takayanagi, H.; Miyakawa, N. Coexistence of superconductivity and charge-density wave in the quasi-one-dimensional material HfTe3. Sci. Rep. 2017, 7, 45217. [Google Scholar] [CrossRef]
- Sato, M.; Fujishita, H.; Sato, S.; Hoshino, S. Neutron inelastic scattering and X-ray structural study of the charge-density-wave state in K0.3MoO3. J. Phys. C 1985, 18, 2603–2614. [Google Scholar] [CrossRef]
- Travaglini, G.; Mörke, I.; Wachter, P. CDW evidence in one-dimensional K0.3MoO3 by means of Raman scattering. Solid State Commun. 1983, 45, 289–292. [Google Scholar] [CrossRef]
- Liu, F.-H.; Fu, W.; Deng, Y.-H.; Yuan, Z.-B.; Wu, L.-N. First-principles study of the Kohn anomaly in TaTe4. Appl. Phys. Lett. 2021, 119, 091901. [Google Scholar] [CrossRef]
- Lebed, A.G. The Physics of Organic Superconductors and Conductors; Springer: Berlin/Heidelberg, Germany, 2008; Volume 110. [Google Scholar]
- Cottingham, P.; Miller, D.C.; Sheckelton, J.P.; Neilson, J.R.; Feygenson, M.; Huq, A.; McQueen, T.M. Dynamic charge disproportionation in the 1D chain material PdTeI. J. Mater. Chem. C 2014, 2, 3238–3246. [Google Scholar] [CrossRef]
- Lei, H.; Liu, K.; Yamaura, J.-I.; Maki, S.; Murakami, Y.; Lu, Z.-Y.; Hosono, H. Strong charge density wave fluctuation and sliding state in PdTeI with quasi-one-dimensional PdTe chains. Phys. Rev. B 2016, 93, 121101. [Google Scholar] [CrossRef]
- Cheng, J.G.; Matsubayashi, K.; Nagasaki, S.; Hisada, A.; Hirayama, T.; Hedo, M.; Kagi, H.; Uwatoko, Y. Integrated-fin gasket for palm cubic-anvil high pressure apparatus. Rev. Sci. Instrum. 2014, 85, 093907. [Google Scholar] [CrossRef]
- Mao, H.K.; Xu, J.; Bell, P.M. Calibration of the ruby pressure gauge to 800 kbar under quasi-hydrostatic conditions. J. Geophys. Res. Solid Earth 1986, 91, 4673–4676. [Google Scholar] [CrossRef]
- Gleason, S.L.; Gim, Y.; Byrum, T.; Kogar, A.; Abbamonte, P.; Fradkin, E.; MacDougall, G.J.; Van Harlingen, D.J.; Zhu, X.; Petrovic, C.; et al. Structural contributions to the pressure-tuned charge-density-wave to superconductor transition in ZrTe3: Raman scattering studies. Phys. Rev. B 2015, 91, 155124. [Google Scholar] [CrossRef]
- Yomo, R.; Yamaya, K.; Abliz, M.; Hedo, M.; Uwatoko, Y. Pressure effect on competition between charge density wave and superconductivity in ZrTe3: Appearance of pressure-induced reentrant superconductivity. Phys. Rev. B 2005, 71, 4. [Google Scholar] [CrossRef]
- Wang, S.; Chen, X.; An, C.; Zhou, Y.; Zhou, Y.; Gu, C.; Zhang, L.; Yang, X.; Yang, Z. Pressure-induced superconductivity in the quasi-one-dimensional charge density wave material CuTe. Phys. Rev. B 2021, 103, 134518. [Google Scholar] [CrossRef]
- Wang, Q.; Qiu, X.; Pei, C.; Gong, B.; Gao, L.; Zhao, Y.; Cao, W.; Li, C.; Zhu, S.; Zhang, M. Emergent superconductivity in van der Waals Kagome material Pd3P2S8 under high pressure. arXiv 2022, arXiv:2204.05179. [Google Scholar]
- Zhou, Y.; He, X.; Wang, S.; Wang, J.; Chen, X.; Zhou, Y.; An, C.; Zhang, M.; Zhang, Z.; Yang, Z. Pressure-induced superconductivity in the kagome single-crystal Pd3P2S8. Phys. Rev. B 2022, 106, 104512. [Google Scholar] [CrossRef]
- Qi, Y.P.; Shi, W.J.; Werner, P.; Naumov, P.G.; Schnelle, W.; Wang, L.; Rana, K.G.; Parkin, S.; Medvedev, S.A.; Yan, B.H.; et al. Pressure-induced superconductivity and topological quantum phase transitions in a quasi-one-dimensional topological insulator: Bi4I4. NPJ Quantum Mater. 2018, 3, 4. [Google Scholar] [CrossRef]
- Pei, C.; Shi, W.; Zhao, Y.; Gao, L.; Gao, J.; Li, Y.; Zhu, H.; Zhang, Q.; Yu, N.; Li, C.; et al. Pressure-induced a partial disorder and superconductivity in quasi-one-dimensional Weyl semimetal (NbSe4)2I. Mater. Today Phys. 2021, 21, 100509. [Google Scholar] [CrossRef]
- An, C.; Zhou, Y.; Chen, C.; Fei, F.; Song, F.; Park, C.; Zhou, J.; Rubahn, H.-G.; Moshchalkov, V.V.; Chen, X.; et al. Long-Range Ordered Amorphous Atomic Chains as Building Blocks of a Superconducting Quasi-One-Dimensional Crystal. Adv. Mater. 2020, 32, 2002352. [Google Scholar] [CrossRef] [PubMed]
- Mu, Q.-G.; Nenno, D.; Qi, Y.-P.; Fan, F.-R.; Pei, C.; ElGhazali, M.; Gooth, J.; Felser, C.; Narang, P.; Medvedev, S. Suppression of axionic charge density wave and onset of superconductivity in the chiral Weyl semimetal Ta2Se8I. Phys. Rev. Mater. 2021, 5, 084201. [Google Scholar] [CrossRef]
- Neverov, V.D.; Lukyanov, A.E.; Krasavin, A.V.; Vagov, A.; Croitoru, M.D. Correlated disorder as a way towards robust superconductivity. Commun. Phys. 2022, 5, 177. [Google Scholar] [CrossRef]





Publisher’s Note: MDPI stays neutral with regard to jurisdictional claims in published maps and institutional affiliations. |
© 2022 by the authors. Licensee MDPI, Basel, Switzerland. This article is an open access article distributed under the terms and conditions of the Creative Commons Attribution (CC BY) license (https://creativecommons.org/licenses/by/4.0/).
Share and Cite
Zhao, Y.; Hou, J.; Fu, Y.; Pei, C.; Sun, J.; Wang, Q.; Gao, L.; Cao, W.; Li, C.; Zhu, S.; et al. Pressure-Induced Superconductivity in PdTeI with Quasi-One-Dimensional PdTe Chains. Crystals 2022, 12, 1833. https://doi.org/10.3390/cryst12121833
Zhao Y, Hou J, Fu Y, Pei C, Sun J, Wang Q, Gao L, Cao W, Li C, Zhu S, et al. Pressure-Induced Superconductivity in PdTeI with Quasi-One-Dimensional PdTe Chains. Crystals. 2022; 12(12):1833. https://doi.org/10.3390/cryst12121833
Chicago/Turabian StyleZhao, Yi, Jun Hou, Yang Fu, Cuiying Pei, Jianping Sun, Qi Wang, Lingling Gao, Weizheng Cao, Changhua Li, Shihao Zhu, and et al. 2022. "Pressure-Induced Superconductivity in PdTeI with Quasi-One-Dimensional PdTe Chains" Crystals 12, no. 12: 1833. https://doi.org/10.3390/cryst12121833
APA StyleZhao, Y., Hou, J., Fu, Y., Pei, C., Sun, J., Wang, Q., Gao, L., Cao, W., Li, C., Zhu, S., Zhang, M., Chen, Y., Lei, H., Cheng, J., & Qi, Y. (2022). Pressure-Induced Superconductivity in PdTeI with Quasi-One-Dimensional PdTe Chains. Crystals, 12(12), 1833. https://doi.org/10.3390/cryst12121833

