Next Article in Journal
High Temperature Fatigue Behavior and Failure Mechanism of Ti-45Al-4Nb-1Mo-0.15B Alloy
Next Article in Special Issue
Changes in the Optical Properties of an M-Doped (M = Pt, Ti) hBN Sheet and CO2 Capturing
Previous Article in Journal
(Z)-2-(2-(Anthracen-9-ylmethylene)hydrazineyl)pyrimidine-rhodium(III): Crystal Structure and DNA Binding Property
Previous Article in Special Issue
Monolayer TiNI with Anisotropic Optical and Mechanical Properties
 
 
Font Type:
Arial Georgia Verdana
Font Size:
Aa Aa Aa
Line Spacing:
Column Width:
Background:
Review

Summary of the Basic Free Electron Transport Characteristics in Donor Doped Silicon

Faculty of Physics, Vilnius University, Saulėtekio Av. 9, 10222 Vilnius, Lithuania
Crystals 2022, 12(11), 1666; https://doi.org/10.3390/cryst12111666
Submission received: 29 October 2022 / Revised: 12 November 2022 / Accepted: 17 November 2022 / Published: 19 November 2022
(This article belongs to the Special Issue Phase Engineering of Two-Dimensional Lattices)

Abstract

A present summary is assigned to present the transport characteristics of the free randomly moving (RM) electrons in silicon at any doping level by phosphorous donors. The application of the Fermi-Dirac statistics and stochastic description of the free RM electrons lead to obtaining the general expressions of conductivity, the effective density of the free RM electrons, their diffusion coefficient and the drift mobility, which are valid for silicon with any doping level. It is shown that drift mobility of the free RM electrons considerably exceeds the Hall mobility at heavy doping, and that the Einstein relation is fundamental and is conserved at any level of degeneracy. It is estimated what part of electrons in the conduction band of heavily doped silicon is not free and is coupled with phosphorous ions. The main conclusions and formulations can be applicable for holes in acceptor-doped silicon, and other homogeneous materials with one type of the free RM charge carriers as well.

1. Introduction

Silicon has been the main material for electronics during the last sixty years. Transport phenomena play a fundamental role in silicon and their devices and therefore research has largely been devoted to the study of carrier transport properties. The refinement of electronic technology has required a corresponding increase in our knowledge of transport quantities, such as drift mobility, diffusion coefficient as function of impurity doping content in very wide interval. Its basic characteristics have been intensively investigated theoretically and experimentally [1,2,3,4,5,6,7,8,9]. Especially intensively it has been investigated the Einstein relation, i.e., the ratio between diffusion coefficient and mobility of the free carrier at highly doped silicon [10,11,12,13,14,15]. In spite of an importance of these quantities for device applications, such as bipolar transistors and other electronic devices, the obtained results on heavily doped are limited, though the accurate values of free electron mobility and diffusion coefficient are essential for advanced engineering. In spite of the large made efforts, this problem has not been completely solved. The application of the classical statistics leads to large errors in estimation of the transport parameters of heavily doped silicon.
The general expressions based on the Fermi distribution of the free randomly moving (RM) electrons [16,17,18] are applied for the estimation of the transport parameters in donor-doped silicon at any degree of the degeneracy of electron gas under equilibrium conditions. It will be shown that for free RM electrons the traditional Einstein relation between drift mobility and diffusion coefficient is valid at any level of degeneracy. In particular, it will be shown that the drift mobility of the free RM electrons in heavily doped silicon may many times exceed the Hall mobility.

2. Results and Discussion

2.1. The Relation between the Effective Free RM and the Total Electron Densities in Phosphorous-Doped Silicon at Any Doping Level

The estimation of the free RM electron density will be produced for silicon crystals doped by phosphorous. Of course, this procedure can be applied to any dopants in various homogeneous semiconductors. According to works [16,17,18], the effective density of free randomly moving electrons neff depends not only on the density-of-states (DOS) g(E) of electrons in the conduction band and Fermi distribution function f(E), but also depends on the probability f1(E) = 1 − f(E) that any of such electron can leave the occupied energy level at a given temperature T:
n eff = 0 g ( E ) f ( E ) [ 1 f ( E ) ] d E = k T 0 g ( E ) ( f ( E ) E ) d E .
This Equation is valid for all homogeneous materials both with degenerate and non-degenerate electron gas. So, this definition is fulfilled for silicon single crystal at any doping level. From this Equation also follows that
p ( E ) = f ( E ) [ 1 f ( E ) ] / k T = f ( E ) / E
is the probability density function distribution on energy E for free RM electrons, and it meets all requirements of the probability theory.
For slightly doped silicon the probability [1 − f(E)] ≈ 1, and all electrons in the conduction band take part in random motion and in conductivity; then their density is described as
n = 0 g ( E ) f ( E ) d E .
It is the case when the classical statistics are valid. In the case of the heavy doped silicon (highly degenerate electron gas), the Equation (1) can be expressed in the following form:
n eff = g ( E F ) k T n ,
where g(EF) = g(E) at E = EF. It can be pointed out that neff at a given temperature for heavy doped silicon is only determined by DOS near the Fermi energy, and it does not depend on the DOS distribution form in the conduction band. In the case of parabolic DOS dependence on energy, the DOS at E = EF for highly doped n-type silicon can be described as [19,20]:
g ( E F ) = ( m d n / ħ 3 π 2 ) ( 2 m d n E F ) 1 / 2 = m d n ( 3 n ) 1 / 3 / ( π 4 / 3 ħ 2 )
with m d n = 1.08 m 0 , and E F = ( ħ 2 / 2 m d n ) ( 3 π 2 n ) 2 / 3 .
Thus, there are two parameters that characterize the electrons in donor-doped silicon: the density of the electrons n which energies are in the conduction band, and the effective density of randomly moving electrons neff. In the case of non-degenerate electron gas these two quantities coincide.
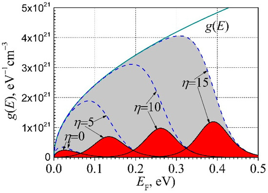
In Figure 1 there are presented the electron distribution on energy in the conduction band of silicon with degenerate electron gas at various relative Fermi energies η = E F / k T .
It is clearly seen that for highly degenerate electron gas (η ≥ 5) the effective free RM electron density is many times smaller than the total electron density in the conduction band. In Figure 2 there is presented the effective free RM electron density dependence on the total electron density in the conduction band of n-type silicon at room temperature. The effective free RM electron density is equal to the total density of the electrons in the conduction band when the latter is smaller than 1019 cm−3 (the classical statistics is valid), but at very high electron density in the conduction band (n > 1020 cm−3, the effective free RM electron density changes slower as n eff ~ n 1 / 3 .

2.2. The Free RM Electron Density Dependence on the Phosphorous Doping Level in Silicon

Now let’s see how the total density of electrons in the conduction band depends on the phosphorous doped silicon. Silicon crystallizes in the diamond structure. Each atom forms four covalent bonds, one with each of its nearest neighbors, corresponding to the chemical valence four. When valence-five phosphorous atom is incorporated in the lattice at the site of a silicon atom, the fifth (excess) valence electron of the phosphorous atom is not required for bonding and thus is weakly bounded. The first Bohr radius of the “impurity orbit” is about ten times as large as the lattice constant [21,22]. The phosphorous atom ionization energy in silicon is comparable with kT at room temperature, and this energy level is located 0.045 eV below the conduction band bottom. Considering that phosphorous atoms replace the silicon atoms in the lattice [23], they did not change the number of elementary cells in the silicon crystal, and at the same time, they did not create additional energy levels in the conduction band. The donor levels are formed as decoupled levels from the conduction band, so the total DOS due to doping yet at high doping levels changes weakly [20]. It is confirmed by electronic heat measurements of silicon with heavy doping silicon by phosphorous [24].
At higher donor densities they interact with each other causing an overlap in their wave functions and donor ionization energy decrease and splitting.
A decrease in the phosphorous ionization energy with increase in doping density can be estimated as [20]
E d = 0.045 2.33 × 10 8 n d 1 / 3
Due to thermal lattice vibration some electrons are excited from phosphorous donor energy levels into the conduction band. In general case, the total excited electron density into conduction band can be estimated by the following expression [20]:
n = n d n d 0 = n d [ 1 1 1 + β exp ( ε d η ) ] = n d 1 + β 1 exp ( ε d + η )   = N c F 1 / 2 ( η ) ,
where ε d = E d / k T ; η = E F / k T ; n d 0 is the neutral (non-ionized) donor density; for donors β 1 = 2 ; N c = 2 ( 2 π m d n k T / h 2 ) 3 / 2 ; for silicon N c = 2.746 × 10 19 ( T / 295 ) 3 / 2   cm−3;
F 1 / 2 ( η ) = 2 π 0 ε 1 / 2 d ε 1 + exp ( ε η ) .
The relative electron density n/nd in the conduction band and the Fermi level energy dependences on temperature at three phosphorous donor densities in silicon are presented in Figure 3. Usually, it is considered that all phosphorous donors are completely ionized at temperatures above the liquid nitrogen temperature.
As it seen from Figure 3, the requirement that 95% of the phosphorous donors will be ionized at temperatures above the liquid nitrogen temperature is fulfilled only at low (≤1013 cm−3) phosphorous donor densities. This ionization level for phosphorous donor density 1015 cm−3 is achieved at temperature above 110 K, and for 1017 cm−3 only at temperature over 240 K. As it is seen from Figure 3, only 24% phosphorous donors are ionized at liquid nitrogen temperature. So, a statement that all phosphorous donors are ionized at temperatures over liquid nitrogen temperature should be used with extreme caution. What determines that not all phosphorous donors are ionized at higher densities?
The higher the phosphorous donor density, the lower the relative electron density in the conduction band. The dependence of the conduction band filling by electrons is described by function f(E)g(E), which at T = 100 K is presented in Figure 4 for three phosphorous doping densities. At low donor density the electrons fill the energy states near the bottom of the conduction band. The area below the curve 1 for phosphorous doping density 1013 cm−3 shows that phosphor donors are completely ionized; the area below the curve 2 for donor density 1015 cm−3 shows that about 93% of the phosphor donors are ionized (Figure 3), and the area below the curve 3 for donor density 1017 cm−3 shows that only 47% of the phosphor donors are ionized. At higher phosphorous doping densities some part of donor electrons must be excited to the higher energy levels of conduction band, and at a given temperature not all phosphorous donors are ionized, because the lattice vibration energy is not enough. For complete ionization is needed the higher temperature.
Considering that at room temperature all phosphorous donor excess (fifth) electron energies are located in the conduction band, the density of electrons in the conduction band is equal to the donor doping density: n = nd. The ratio between the effective free RM electron density and the total density of electrons in the conduction band of silicon dependence on the phosphorous doping density at room temperature is presented in Figure 5. Here
n eff n d = 0 g ( E ) f ( E ) [ 1 f ( E ) ] d E n d
In the case of high doping (nd > 1018 cm−3), only the electrons neff described by Equation (1) are free and can randomly move in the silicon crystal, the other part (n-neff) of electrons located by a few kT below the Fermi level energy is bounded with the native phosphorous ion and move around in the central field of the native phosphorous ion. These electrons are not affected by lattice vibrations, and their energy variance is equal to zero. The lattice vibration energy is only sufficient to excite (decouple) the electrons which have energies near the Fermi level energy, and they become free. Thus, not all electrons having energies in the conduction band are free, and not all phosphorous atoms are ionized at high doping level at room temperature. So, the free electron term can be used only for the free RM electrons, the other part (n-neff) of electrons is localized near the native phosphorous ions.
The relative neutral (non-ionized) phosphorous donor density dependence on the donor density is presented in Figure 5 by dash line. As it is seen, at a doping level of about 1021 cm−3 about 90% of phosphorous atoms are not ionized. On the other hand, at doping densities smaller than 1018 cm−3 all phosphorous atoms are completely ionized, and produce the free RM electrons, which take part in conduction. The tunneling effect confirms this conclusion: Electrons are tunneling only from energy levels near the Fermi level energy.

2.3. The Free RM Electron Diffusion Coefficient and Drift Mobility Dependences on the Phosphorous Doping Level in Silicon

Considering the Boltzmann kinetic equation, when an external electric strength E is weak, the current density j in homogeneous material can be estimated as [25]
j = q 2 E 0 ( v 2 / 3 ) τ   g ( E ) ( f ( E ) E ) d E ,
where v is the free RM electron velocity, and τ is their relaxation time. Accounting the Equation (2), the Equation (10) can be rewritten as
j = q 2 E k T 0 ( v 2 / 3 )   τ   g ( E ) f ( E ) [ 1 f ( E ) ] d E ,
The calculation and averaging of this Equation can be performed in the following way:
j = q 2 E k T 0 ( v 2 / 3 ) τ     g ( E ) f ( E ) [ 1 f ( E ) ] d E 0   τ   g ( E ) f ( E ) [ 1 f ( E ) ] d E × 0   τ   g ( E ) f ( E ) [ 1 f ( E ) ] d E 0 g ( E ) f ( E ) [ 1 f ( E ) ] d E × 0 g ( E ) f ( E ) [ 1 f ( E ) ] d E = q 2 E 3 k T < v 2 > < τ > n eff = σ   E ,
where the Equation (1) for neff is used. Thus, it is the general expression for conductivity of homogeneous material:
σ = q 2 D n eff / k T ,
where D = (1/3) <v2><τ> is the diffusion coefficient of the free RM electrons. On the other hand, the conductivity can be described as
σ = q n eff μ drift ,
where μ drift is the drift mobility of the RM electrons. The presented Equations (13) and (14) are valid for all homogeneous materials with any doping level. Moreover, from these Equations also follows that Einstein relation
D / μ drift = k T / q
is valid at any degree of degeneracy of electron gas. There it can be pointed that in many of the published works, it is considered that the Einstein relation is valid only for materials with non-degenerate electron gas, and for degenerate semiconductors they use the so named modified relation [8,9,10,11,12,13,14,15]:
D = n μ / [ q ( d n / d E F ) ] ,
where n is the total density of electrons in the conduction band, and μ is their mobility. This relation can be written as
q 2 D ( d n / d E F ) = q n μ ,
where both sides mean the conductivity, but the left side
q 2 D ( d n / d E F ) = q 2 D n eff / k T
is the general expression of conductivity (Equation (13)) which is valid at any degree of degeneration of electron gas, while the right side of the Equation (17) is valid only for non-degenerate semiconductors. Thus, the modified relation (16) is not right.
From Equation (15) the drift mobility can be described as:
μ drift = q D k T = q < v 2 > < τ > 3 k T = q < τ > m · m < v 2 > / 2 ( 3 / 2 ) k T = q < τ > m · < E > ( 3 / 2 ) k T .
It is seen that drift mobility in general case depends on the average kinetic energy of the free RM electrons. Here m is the effective mass of the free RM electron. The average kinetic energy of a free RM electron can be estimated as
< E > = 0 g ( E ) f ( E ) [ 1 f ( E ) ] d E n eff .
The dependences of the average kinetic energy and the Fermi level energy on the electron density in conduction band are shown in Figure 6.
The Fermi level energy has been evaluated from Equation (7). For non-degenerate electron gas (n < 1018 cm−3) the average kinetic energy of the free RM electron is equal to (3/2) kT, and the drift mobility and conductivity take usual forms of the classical statistics:
μ drift = q < τ > m ;
σ = q 2 n < τ > m .
So, the Drude electron conductivity model can be applicable only for semiconductors with non-degenerate electron gas but is completely unsuitable for metals and other materials with highly degenerate electron gas. At high doping levels the average kinetic energy increases and approaches the Fermi level energy (Figure 6), and as a consequence, the drift mobility (Equation (19)) also increases with high doping increasing.
The diffusion coefficient has been evaluated by using Equations (1) and (13), and the data from Figure 7. The drift mobility of the free RM electrons has been evaluated by Equation (15). The evaluation results are presented in Figure 8. From comparison the diffusion and the drift mobility on the donor doping level, it is seen that the increase in those parameters at high doping level is caused by the increase in the kinetic energy of the free RM electrons (Figure 6).

2.4. The Hall Effect in Phosphorous Doped Silicon at Any Doping Level

Let’s compare the obtained drift mobility results with that from the Hall effect measurement. The Hall coefficient RH, when the direct current flows only along x direction, and magnetic field is directed along z axis, is determined from the following relation:
R H = E y / ( j x B z ) = E H / ( σ E x B z ) ,
where jx is the direct current density in x direction, Bz is the magnetic flux density in z direction, and Ey = EH = UH/w (here UH is the Hall voltage) is the originated electric field strength in y direction in the material plate with dimensions d × w × l (thickness × width × length), Ex = Ux/l (here Ux is the applied voltage in x direction), σ is the conductivity of the sample material with one type of free charge carriers.
Instead of the Hall coefficient, the Hall effect is sometimes characterized by the Hall angle φ. For small direct current density and weak magnetic field, the Hall angle is described as
φ = E y / E x = E H / E x .  
On the other hand, the Hall angle can be expressed by cyclotron angular frequency ωc = qBz/m* [27]:
φ = ω c < τ > ( < τ 2 > / < τ > 2 ) = ( q B z / m ) < τ > r H .
where r H = < τ 2 > / < τ > 2 is the Hall factor, which depends on the charge carrier scattering mechanism, but for highly degenerated electron gas it is equal to 1. It is notable that ωc does not depend on the radius and velocity, and therefore, is independent of the particle kinetic energy. All particles with the same charge-to-mass ratio rotate in magnetic field with the same cyclotron angular frequency, i.e., electrons with the same effective mass moving with the thermal velocity in material with non-degenerate electron gas, and electrons moving with Fermi velocity in metals have the same cyclotron angular frequency. From Equations (23)–(25) follows that
R H σ = ( q < τ > / m ) r H = μ H .
Considering that quantity μH has a similar dimension expression as for mobility of charge carriers in semiconductors with non-degenerate electron gas, this quantity is named as Hall mobility. The Equation (26) is valid at any degeneration degree of electron gas with one type of the free RM charge carriers. The Hall coefficient RH has a negative sign for electrons and positive sign for holes. Note: If one compensates Ey by external bias source to zero, as it is usually done in measurement of the Hall voltage, it has no influence on both the cyclotron frequency and drift mobility of the free charge carriers of the material. A comparison of the Hall and the drift mobilities are presented in Figure 9. It is seen that drift mobility at high donor doping can many times exceed the Hall mobility. From this comparison at n < 1018 cm−3 we can simply find the Hall factor r H .
In general case, the conductivity of homogeneous material with one type of free charge carriers by using Equations (14) and (19) can be described as
σ = q n eff μ drift = q n eff q < τ > m · < E > ( 3 / 2 ) k T .
Then from Equations (26) and (27) the Hall coefficient can be expressed by such general relation:
R H = r H q n eff α ε ,
which is valid at any degree of degeneration of electron gas with one type of free charge carriers. Here the parameter α ε = <E>/[(3/2) kT] shows how many times the free RM electron kinetic energy is higher than the thermal energy. The effective free RM electron density dependence on the total electron density in conduction band of donor-doped silicon at room temperature is presented in Figure 2. For silicon with non-degenerate electron gas α ε = 1 , and drift mobility can be described as
μ drift = μ H / r H ,
and the Hall coefficient as
R H = r H q n eff = r H q n
Therefore, the Hall coefficient is defined by the free electron density in conduction band only for non-degenerate silicon (n < 1018 cm−3 at room temperature). At high donor doping for estimation of the drift mobility and the Hall coefficient one must use the general Equations (19) and (28), respectively.
It is worthwhile to introduce a new factor: the drift mobility factor r μ which reflects the ratio between the drift and Hall mobilities r μ = μ drift / μ H = α ε / r H . The mobility factor at n < 1018 cm−3  r μ = 1 / r H , but at higher density n  r μ = α ε = <E>/[(3/2) kT]. The mobility factor dependence on the phosphorous donor density in silicon at room temperature is presented in Figure 10. It is seen that the drift mobility at very high donor densities can be about six times larger than the Hall mobility.

2.5. The Plasma Frequency of the Free RM Electrons in Silicon

Alternate current conductivity σ ( ω ) usually is described in the following form [19]:
σ ( ω ) = σ 1 j ω τ .
The relaxation time τ of the free RM electrons by using Hall mobility data dependence on the donor doping density in silicon at room temperature can be estimated as
τ = 2.5 × 10 14 + 1.5 × 10 13 / ( 1 + n d / 1.5 × 10 17 ) ,   s
where nd is in cm−3. The relative permittivity ε r for ω τ 1 can be approximated as
ε r 1 ω p 2 / ω 2 ,
where ω p is plasma oscillation frequency:
ω p 2 = σ / ( ε 0 τ ) ,
Accounting the general Equation (27) for conductivity σ, the plasma frequency can be expressed as
ω p 2 = q 2 ε 0 m n eff < E > ( 3 / 2 ) k T = q 2 ε 0 τ n eff α ε .
In the case of non-degenerate electron gas, n eff = n , and α ε = 1 , the plasma frequency can be described in the usual form [19]:
ω p 2 = q 2 n ε 0 m .
For highly degenerate electron gas, the plasma frequency is estimated as
ω p 2 = q 2 g ( E F )   v F 2   / ( 3 ε 0 ) .
Though the Equation (37) can be expressed in the form of the Equation (36), but it does not mean that all electrons from conduction band at high doping take part in collective oscillations. It is not true because the applied alternate electric field can only change the energy of the free RM electrons, which energy is located near the Fermi level energy, while the other part of electrons (n-neff) which are coupled with the phosphorous ions does not take part both in the conductivity and in the plasma oscillations.

3. Conclusions

This work tries to attract attention to the electron transport properties of degenerate semiconductors on the base of phosphorous doped silicon. The general expressions of the effective density of free randomly moving electrons, its diffusion coefficient, drift mobility, and conductivity. It is shown that the Einstein relation is always fulfilled for one type of free charge carriers in homogeneous materials. It is pointed out that the term all electrons in the conduction band are free must be used with caution because at heavy doping level a large part of electrons in the conduction band are not free, they are coupled with their donor atoms because the lattice vibration energy is insufficient to release them from the donor ion attraction.

Funding

This research received no external funding.

Data Availability Statement

Data are provided in the figures of the article.

Conflicts of Interest

The author declares no conflict of interest.

References

  1. El-Kareh, B.; Hutter, L.N. Review of single-crystal silicon properties. In Silicon Analog Components; Springer: Berlin/Heidelberg, Germany, 2019; pp. 25–63. [Google Scholar]
  2. Hasan, M.; Huq, F.; Mahmood, Z.H. A review on electronic and optical properties of silicon nanowire and its different growth techniques. SpringerPlus 2013, 2, 1–9. [Google Scholar] [CrossRef] [PubMed]
  3. Kaiblinger-Grujin, G.; Kosina, H.; Selberherr, S. Monte Carlo simulation of electron transport in doped silicon. In Proceedings of the High Performance Computing on the Information Superhighway HPC Asia ‘97, Seoul, Korea, 28 April–2 May 1997; pp. 444–449. [Google Scholar]
  4. Balarin, M. INSPEC: Properties of Silicon; EMIS Data Series No. 4; INSPEC, The Institute of Electrical Engineering: London, UK; New York, NY, USA, 1998. [Google Scholar]
  5. Lin, J.F.; Li, S.S.; Linare, L.C.; Teng, K.W. Theoretical analysis of Hall factor and Hall mobility in p-type silicon. Solid-State Electron. 1983, 26, 1157–1166. [Google Scholar] [CrossRef]
  6. Ingole, S.; Manandhar, P.; Chikkannanavar, S.B.; Akhadov, E.A.; Picraux, S.T. Charge transport characteristics in boron-doped silicon nanowires. IEEE Trans. Electron. Devices 2008, 55, 2931–2938. [Google Scholar] [CrossRef]
  7. Baker-Finch, S.C.; McIntosh, K.R.; Yan, D.; Fong, K.C.; Kho, T.C. Near-infrared free carrier absorption in heavily doped silicon. J. Appl. Phys. 2014, 116, 063106. [Google Scholar] [CrossRef]
  8. Thobel, J.L.; Sleiman, A.; Fauquembergue, R. Determination of diffusion coefficients in degenerate electron gas using Monte Carlo simulation. J. Appl. Phys. 1997, 82, 1220–1226. [Google Scholar] [CrossRef]
  9. Xiao, Z.-X.; Wei, T.-L. Modification of Einstein equation of majority- and minority-carriers with band gap narrowing effect in n-type degenerate silicon with degenerate approximation and with non-parabolic energy bands. IEEE Trans. Electron. Devices 1997, 44, 913–914. [Google Scholar] [CrossRef]
  10. Ristić, S.D. An approximation of the Einstein relation for heavily doped silicon. Phys. Status Solidi 1979, 52, K129–K132. [Google Scholar] [CrossRef]
  11. Van Overstraeten, R.J.; DeMan, H.J.; Mertens, R.P. Transport equation in heavily doped silicon. IEEE Trans. Electron. Devices 1973, 20, 290–298. [Google Scholar] [CrossRef]
  12. Ghatak, K.P.; Mondal, M. The diffusivity-mobility relation in non-parabolic materials. J. Appl. Phys. 1992, 71, 1277–1283. [Google Scholar] [CrossRef]
  13. Bennett, H. Hole and electron mobilities in heavily doped silicon: Comparison of theory an experiment. Solid-State Electron. 1981, 24, 827–833. [Google Scholar] [CrossRef]
  14. Bennett, H.; Lowney, J. Calculated majority- and minority-carrier mobilities in heavily doped silicon and comparison with experiment. J. Appl. Phys. 1979, 35, 170–172. [Google Scholar] [CrossRef]
  15. Jain, R.K. Calculation of the Fermi level, minority carrier concentration, effective intrinsic concentration, and Einstein relation in n- and p-type germanium and silicon. Phys. Status Solidi 1977, 42, 221–226. [Google Scholar] [CrossRef]
  16. Palenskis, V. Drift mobility, diffusion coefficient of randomly moving charge carriers in metals and other materials with degenerate electron gas. World J. Cond. Mat. Phys. 2013, 3, 73–81. [Google Scholar]
  17. Palenskis, V. The effective density of randomly moving electrons and related characteristics of materials with degenerate electron gas. AIP Adv. 2014, 4, 047119. [Google Scholar] [CrossRef]
  18. Palenskis, V.; Žitkevičius, E. Summary of new Insight into electron transport in metals. Crystals 2021, 11, 622. [Google Scholar] [CrossRef]
  19. Ashcroft, N.; Mermin, N. Solid State Physics; Harcourt College Publishers: New York, NY, USA, 1976. [Google Scholar]
  20. Blakemore, J.S. Solid State Physics; Cambridge University Press: Cambridge, UK, 1985. [Google Scholar]
  21. Ibach, H.; Lüth, H. Solid-State Physics, 5th ed.; Springer: Berlin/Heidelberg, Germany, 2009. [Google Scholar]
  22. Alloul, H. Introduction to the Physics of Electrons in Solids; Springer: Berlin/Heidelberg, Germany, 2011. [Google Scholar]
  23. Pearson, G.L.; Bardeen, J. Electrical properties of pure silicon and silicon alloys containing boron and phosphorous. Phys. Rev. 1949, 75, 865–883. [Google Scholar] [CrossRef]
  24. Kobayashi, N.; Ikehata, S.; Kobayashi, S.; Sasaki, W. Specific heat study of heavily P doped Si. Solid State Commun. 1977, 24, 67–70. [Google Scholar] [CrossRef]
  25. Dugdale, J.S. The Electrical Properties of Disordered Metals; Cambridge University Press: Cambridge, UK, 2010. [Google Scholar]
  26. Jacoboni, C.; Canali, C.; Ottaviani, G.; Quaranta, A.A. A review of some transport properties of silicon. Solid-State Electron. 1997, 20, 77–89. [Google Scholar] [CrossRef]
  27. Smith, R.A. Semiconductors, 2nd ed.; Cambridge University Press: Cambridge, UK, 1987. [Google Scholar]
Figure 1. Illustration of DOS g(E) (green solid line) dependent functions: g(E)f(E) (blue dash lines), and g(E)f(E)[1 − f(E)] (black solid lines) for various η values: 0; 5; 10; 15. The area under the curve g(E)f(E) (shaded by light grey color) represents the total density of electrons in the conduction band n (Equation (3)), and the area under the curve g(E)f(E)[1 − f(E)] (shaded by red color) represents the effective density of randomly moving electrons neff (Equation (1)). Here DOS is described by Equation (5) by changing EF to E.
Figure 1. Illustration of DOS g(E) (green solid line) dependent functions: g(E)f(E) (blue dash lines), and g(E)f(E)[1 − f(E)] (black solid lines) for various η values: 0; 5; 10; 15. The area under the curve g(E)f(E) (shaded by light grey color) represents the total density of electrons in the conduction band n (Equation (3)), and the area under the curve g(E)f(E)[1 − f(E)] (shaded by red color) represents the effective density of randomly moving electrons neff (Equation (1)). Here DOS is described by Equation (5) by changing EF to E.
Crystals 12 01666 g001
Figure 2. The effective free RM electron density neff dependence on the total electron density n in the conduction band of phosphorous doped silicon at T = 300 K.
Figure 2. The effective free RM electron density neff dependence on the total electron density n in the conduction band of phosphorous doped silicon at T = 300 K.
Crystals 12 01666 g002
Figure 3. The total electron density in the conduction band n (left scale), and the Fermi level energy EF dependence on temperature at three phosphorous doping densities nd in silicon, in cm−3: 1013; 1015; 1017 (the donor energy decrease with doping level increase is taken into account).
Figure 3. The total electron density in the conduction band n (left scale), and the Fermi level energy EF dependence on temperature at three phosphorous doping densities nd in silicon, in cm−3: 1013; 1015; 1017 (the donor energy decrease with doping level increase is taken into account).
Crystals 12 01666 g003
Figure 4. The conduction band state filling function g(E)f(E) dependence on energy for three phosphorous doping densities, in cm−3: 1—1013; 2—1015; 3—1017. The densities of electrons below the curves are equal to the ionized phosphorous donor densities.
Figure 4. The conduction band state filling function g(E)f(E) dependence on energy for three phosphorous doping densities, in cm−3: 1—1013; 2—1015; 3—1017. The densities of electrons below the curves are equal to the ionized phosphorous donor densities.
Crystals 12 01666 g004
Figure 5. The relative densities of the effective free RM electrons (solid line) and neutral (non-ionized) phosphorous donors (dash line) dependences on the donor doping density at T = 300 K.
Figure 5. The relative densities of the effective free RM electrons (solid line) and neutral (non-ionized) phosphorous donors (dash line) dependences on the donor doping density at T = 300 K.
Crystals 12 01666 g005
Figure 6. The Fermi level energy EF and average kinetic energy <E> of the free RM electron dependences on the donor density.
Figure 6. The Fermi level energy EF and average kinetic energy <E> of the free RM electron dependences on the donor density.
Crystals 12 01666 g006
Figure 7. The resistivity dependence on the donor density in silicon at room temperature. Here the dots are the experimental data [4,26], the solid line is the calculated curve by using neff and <E>.
Figure 7. The resistivity dependence on the donor density in silicon at room temperature. Here the dots are the experimental data [4,26], the solid line is the calculated curve by using neff and <E>.
Crystals 12 01666 g007
Figure 8. Comparison of the diffusion coefficient and the drift mobility of the free RM electrons as a function of the phosphorous doping level in silicon at room temperature.
Figure 8. Comparison of the diffusion coefficient and the drift mobility of the free RM electrons as a function of the phosphorous doping level in silicon at room temperature.
Crystals 12 01666 g008
Figure 9. The Hall mobility [26] and drift mobility (Equation (14)) dependences on the donor density in silicon at room temperature.
Figure 9. The Hall mobility [26] and drift mobility (Equation (14)) dependences on the donor density in silicon at room temperature.
Crystals 12 01666 g009
Figure 10. Mobility factor r μ dependence on the donor density in silicon at room temperature.
Figure 10. Mobility factor r μ dependence on the donor density in silicon at room temperature.
Crystals 12 01666 g010
Publisher’s Note: MDPI stays neutral with regard to jurisdictional claims in published maps and institutional affiliations.

Share and Cite

MDPI and ACS Style

Palenskis, V. Summary of the Basic Free Electron Transport Characteristics in Donor Doped Silicon. Crystals 2022, 12, 1666. https://doi.org/10.3390/cryst12111666

AMA Style

Palenskis V. Summary of the Basic Free Electron Transport Characteristics in Donor Doped Silicon. Crystals. 2022; 12(11):1666. https://doi.org/10.3390/cryst12111666

Chicago/Turabian Style

Palenskis, Vilius. 2022. "Summary of the Basic Free Electron Transport Characteristics in Donor Doped Silicon" Crystals 12, no. 11: 1666. https://doi.org/10.3390/cryst12111666

APA Style

Palenskis, V. (2022). Summary of the Basic Free Electron Transport Characteristics in Donor Doped Silicon. Crystals, 12(11), 1666. https://doi.org/10.3390/cryst12111666

Note that from the first issue of 2016, this journal uses article numbers instead of page numbers. See further details here.

Article Metrics

Back to TopTop