Structural Phase Transition and Related Thermoelectric Properties in Sn Doped AgBiSe2
Abstract
:1. Introduction
2. Materials and Methods
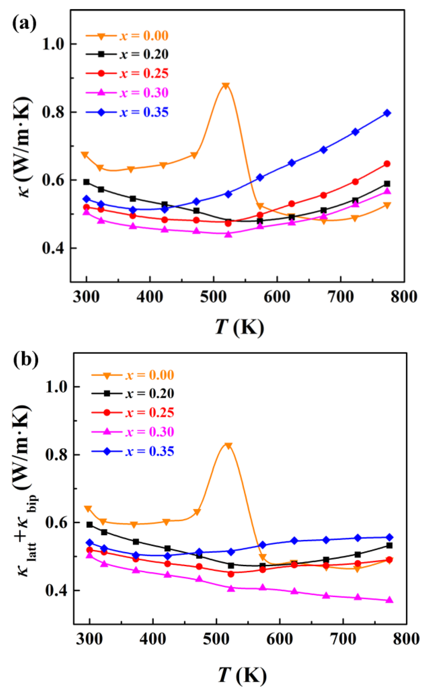
3. Results and Discussion
4. Conclusions
Supplementary Materials
Author Contributions
Funding
Conflicts of Interest
References
- Shi, X.; Chen, L. Thermoelectric materials step up. Nat. Mater. 2016, 15, 691–692. [Google Scholar] [CrossRef]
- Sootsman, J.R.; Chung, D.Y.; Kanatzidis, M.G. New and old concepts in thermoelectric materials. Angew. Chem. Int. Ed. 2009, 48, 8616–8639. [Google Scholar] [CrossRef]
- Zhao, X.; Zhao, L.D. Thermoelectric materials: Energy conversion between heat and electricity. J. Mater. 2015, 1, 92–105. [Google Scholar]
- Liu, K.-F.; Xia, S.-Q. Recent progresses on thermoelectric Zintl phases: Structures, materials and optimization. J. Solid State Chem. 2019, 270, 252–264. [Google Scholar] [CrossRef]
- Brown, S.R.; Kauzlarich, S.M.; Gascoin, F.; Snyder, G.J. Yb14MnSb11: New High Efficiency Thermoelectric Material for Power Generation. Chem. Mater. 2006, 18, 1873–1877. [Google Scholar] [CrossRef]
- Liu, H.; Shi, X.; Xu, F.; Zhang, L.; Zhang, W.; Chen, L.; Li, Q.; Uher, C.; Day, T.; Snyder, G.J. Copper ion liquid-like thermoelectrics. Nat. Mater. 2012, 11, 422–425. [Google Scholar] [CrossRef]
- Bai, H.; Su, X.; Yang, D.; Zhang, Q.; Tan, G.; Uher, C.; Tang, X.; Wu, J. An instant change of elastic lattice strain during Cu2Se phase transition: Origin of abnormal thermoelectric properties. Adv. Funct. Mater. 2021, 31, 2100431. [Google Scholar] [CrossRef]
- Prado-Gonjal, J.; López, C.A.; Pinacca, R.M.; Serrano-Sánchez, F.; Nemes, N.M.; Dura, O.J.; Martínez, J.L.; Fernández-Díaz, M.T.; Alonso, J.A. Correlation between Crystal Structure and Thermoelectric Properties of Sr1−xTi0.9Nb0.1O3−δ Ceramics. Crystals 2020, 10, 100. [Google Scholar] [CrossRef] [Green Version]
- Chen, Y.-X.; Shi, K.-D.; Li, F.; Xu, X.; Ge, Z.-H.; He, J. Highly enhanced thermoelectric performance in BiCuSeO ceramics realized by Pb doping and introducing Cu deficiencies. J. Am. Ceram. Soc. 2019, 102, 5989–5996. [Google Scholar] [CrossRef]
- Valencia-Gálvez, P.; Delgado, D.; López, M.L.; Álvarez-Serrano, I.; Moris, S.; Galdámez, A. AgSn[Bi1−xSbx]Se3: Synthesis, Structural Characterization, and Electrical Behavior. Crystals 2021, 11, 864. [Google Scholar] [CrossRef]
- Hoang, K.; Mahanti, S.D. Atomic and electronic structures of I-V-VI2 ternary chalcogenides. J. Sci. Adv. Mater. Dev. 2016, 1, 51–56. [Google Scholar] [CrossRef] [Green Version]
- Morelli, D.T.; Jovovic, V.; Heremans, J.P. Intrinsically Minimal Thermal Conductivity in Cubic I−V−VI2 Semiconductors. Phys. Rev. Lett. 2008, 101, 035901. [Google Scholar] [CrossRef]
- Skoug, E.J.; Morelli, D.T. Role of Lone-Pair Electrons in Producing Minimum Thermal Conductivity in Nitrogen-Group Chalcogenide Compounds. Phys. Rev. Lett. 2011, 107, 235901. [Google Scholar] [CrossRef] [Green Version]
- Du, B.; Zhang, R.; Chen, K.; Mahajan, A.; Reece, M.J. The impact of lone-pair electrons on the lattice thermal conductivity of the thermoelectric compound CuSbS2. J. Mater. Chem. A 2017, 5, 3249–3259. [Google Scholar] [CrossRef] [Green Version]
- Wang, H.; Li, J.-F.; Zou, M.; Sui, T. Synthesis and transport property of AgSbTe2 as a promising thermoelectric compound. Appl. Phys. Lett. 2008, 93, 202106. [Google Scholar] [CrossRef]
- Liu, X.-C.; Wang, Y.-M.; Qi, M.-L.; Pan, M.-Y. Enhanced thermoelectric properties in Ag-rich AgSbSe2. J. Solid State Chem. 2020, 288, 121454. [Google Scholar] [CrossRef]
- Hong, M.; Chen, Z.-G.; Yang, L.; Liao, Z.-M.; Zou, Y.-C.; Chen, Y.-H.; Matsumura, S.; Zou, J. Achieving zT > 2 in p-Type AgSbTe2−xSex Alloys via Exploring the Extra Light Valence Band and Introducing Dense Stacking Faults. Adv. Energy Mater. 2018, 8, 1702333. [Google Scholar] [CrossRef]
- Guin, S.N.; Chatterjee, A.; Negi, D.S.; Datta, R.; Biswas, K. High thermoelectric performance in tellurium free p-type AgSbSe2. Energy Environ. Sci. 2013, 6, 2603–2608. [Google Scholar] [CrossRef]
- Zhou, J.; Bian, G.; Zhu, Q.; Zhang, Y.; Li, C.; Dai, J. Solvothermal crystal growth of CuSbQ2 (Q = S, Se) and the correlation between macroscopic morphology and microscopic structure. J. Solid State Chem. 2009, 182, 259–264. [Google Scholar] [CrossRef]
- Kyono, A.; Kimata, M. Crystal structures of chalcostibite (CuSbS2) and emplectite (CuBiS2): Structural relationship of stereochemical activity between chalcostibite and emplectite. Am. Mineral. 2005, 90, 162–165. [Google Scholar] [CrossRef]
- Geller, S.; Wernick, J.H. Ternary semiconducting compounds with sodium chloride-like structure: AgSbSe2, AgSbTe2, AgBiS2, AgBiSe2. Acta Crystallogr. 1959, 12, 46–54. [Google Scholar] [CrossRef]
- Pinsker, Z.G.; Imamov, R.M. Electron diffraction study of the compound AgBiTe2. Sov. Phys. Crystallogr. 1964, 9, 277–280. [Google Scholar]
- Glatz, A.C.; Pinella, A. X-ray and neutron diffraction studies of the high-temperature beta-phase of the AgBiSe2/AgBiS2 system. J. Mater. Sci. 1968, 3, 498–501. [Google Scholar] [CrossRef]
- Pringle, G.J.; Thorpe, R.I. Bohdanowiczite, junoite and laitakarite from the Kidd Creek mine, Timmins, Ontario. Can. Mineral. 1980, 18, 353–360. [Google Scholar]
- Bayliss, P. Crystal chemistry and crystallography of some minerals in the tetradymite group. Am. Mineral. 1991, 76, 257–265. [Google Scholar]
- Liu, X.; Jin, D.; Liang, X. Enhanced thermoelectric performance of n-type transformable AgBiSe2 polymorphs by indium doping. Appl. Phys. Lett. 2016, 109, 133901. [Google Scholar] [CrossRef]
- Pan, L.; Bérardan, D.; Dragoe, N. High Thermoelectric Properties of n-Type AgBiSe2. J. Am. Chem. Soc. 2013, 135, 4914–4917. [Google Scholar] [CrossRef]
- Wu, H.-J.; Wei, P.-C.; Cheng, H.-Y.; Deng, J.-R.; Chen, Y.-Y. Ultralow thermal conductivity in n-type Ge-doped AgBiSe2 thermoelectric materials. Acta Mater. 2017, 141, 217–229. [Google Scholar] [CrossRef]
- Guin, S.N.; Srihari, V.; Biswas, K. Promising thermoelectric performance in n-type AgBiSe2: Effect of aliovalent anion doping. J. Mater. Chem. A 2015, 3, 648–655. [Google Scholar] [CrossRef]
- Parker, D.S.; May, A.F.; Singh, D.J. Benefits of Carrier-Pocket Anisotropy to Thermoelectric Performance: The Case of p-Type AgBiSe2. Phys. Rev. Appl. 2015, 3, 064003. [Google Scholar] [CrossRef] [Green Version]
- Li, S.; Feng, Z.; Tang, Z.; Zhang, F.; Cao, F.; Liu, X.; Singh, D.J.; Mao, J.; Ren, Z.; Zhang, Q. Defect Engineering for Realizing p-Type AgBiSe2 with a Promising Thermoelectric Performance. Chem. Mater. 2020, 32, 3528–3536. [Google Scholar] [CrossRef]
- Zhu, H.; Zhao, T.; Zhang, B.; An, Z.; Mao, S.; Wang, G.; Han, X.; Lu, X.; Zhang, J.; Zhou, X. Entropy Engineered Cubic n-Type AgBiSe2 Alloy with High Thermoelectric Performance in Fully Extended Operating Temperature Range. Adv. Energy Mater. 2021, 11, 2003304. [Google Scholar] [CrossRef]
- Sudo, K.; Goto, Y.; Sogabe, R.; Hoshi, K.; Miura, A.; Moriyoshi, C.; Kuroiwa, Y.; Mizuguchi, Y. Doping-Induced Polymorph and Carrier Polarity Changes in Thermoelectric Ag(Bi,Sb)Se2 Solid Solution. Inorg. Chem. 2019, 58, 7628–7633. [Google Scholar] [CrossRef]
- Bernges, T.; Peilstöcker, J.; Dutta, M.; Ohno, S.; Culver, S.P.; Biswas, K.; Zeier, W.G. Local Structure and Influence of Sb Substitution on the Structure–Transport Properties in AgBiSe2. Inorg. Chem. 2019, 58, 9236–9245. [Google Scholar] [CrossRef] [PubMed]
- Li, J.; Pan, Y.; Wu, C.; Sun, F.; Wei, T. Processing of advanced thermoelectric materials. Sci. China Technol. Sci. 2017, 60, 1347–1364. [Google Scholar] [CrossRef]
- Atsushi, O.; Ikuhiko, U. The Crystal Structure of Stannous Selenide SnSe. J. Phys. Soc. Jpn. 1956, 11, 470. [Google Scholar]
- Rodríguez-Carvajal, J. Recent Advances in Magnetic Structure Determination by Neutron Powder Diffraction. Phys. B 1993, 192, 55–69. [Google Scholar] [CrossRef]
- Shannon, R.D. Revised Effective Ionic Radii and Systematic Studies of Interatomie Distances in Halides and Chaleogenides. Acta Cryst. 1976, A32, 751. [Google Scholar] [CrossRef]
- Mariano, A.N.; Chopra, K.L. Polymorphism in some IV-VI compounds induced by high pressure and thin epitaxial growth. Appl. Phys. Lett. 1967, 10, 282–284. [Google Scholar] [CrossRef]
- Voroshilov, Y.V.; Cholovej, M.I.; Potorii, M.V. The X-ray analysis of the combinations AgAsSe2 and Ag3AsSe3. Kristallografiya 1976, 21, 585–586. [Google Scholar]
- May, A.F.; Singh, D.J.; Snyder, G.J. Influence of band structure on the large thermoelectric performance of lanthanum telluride. Phys. Rev. B 2009, 79, 153101. [Google Scholar] [CrossRef]







Publisher’s Note: MDPI stays neutral with regard to jurisdictional claims in published maps and institutional affiliations. |
© 2021 by the authors. Licensee MDPI, Basel, Switzerland. This article is an open access article distributed under the terms and conditions of the Creative Commons Attribution (CC BY) license (https://creativecommons.org/licenses/by/4.0/).
Share and Cite
Liu, X.-C.; Pan, M.-Y. Structural Phase Transition and Related Thermoelectric Properties in Sn Doped AgBiSe2. Crystals 2021, 11, 1016. https://doi.org/10.3390/cryst11091016
Liu X-C, Pan M-Y. Structural Phase Transition and Related Thermoelectric Properties in Sn Doped AgBiSe2. Crystals. 2021; 11(9):1016. https://doi.org/10.3390/cryst11091016
Chicago/Turabian StyleLiu, Xiao-Cun, and Ming-Yan Pan. 2021. "Structural Phase Transition and Related Thermoelectric Properties in Sn Doped AgBiSe2" Crystals 11, no. 9: 1016. https://doi.org/10.3390/cryst11091016
APA StyleLiu, X.-C., & Pan, M.-Y. (2021). Structural Phase Transition and Related Thermoelectric Properties in Sn Doped AgBiSe2. Crystals, 11(9), 1016. https://doi.org/10.3390/cryst11091016

