Polymer-Stabilized Blue Phase and Its Application to a 1.5 µm Band Wavelength Selective Filter
Abstract
1. Introduction
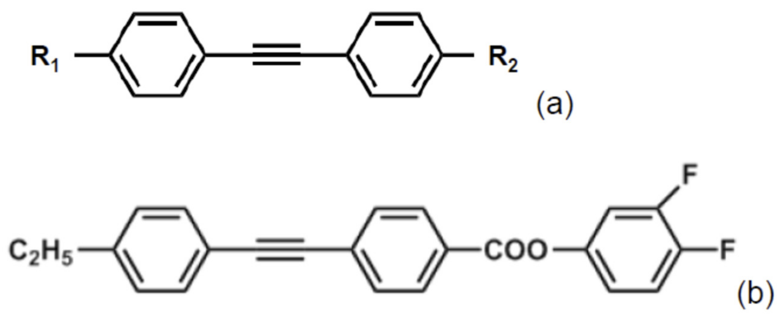
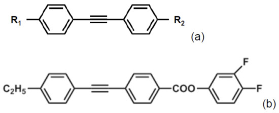
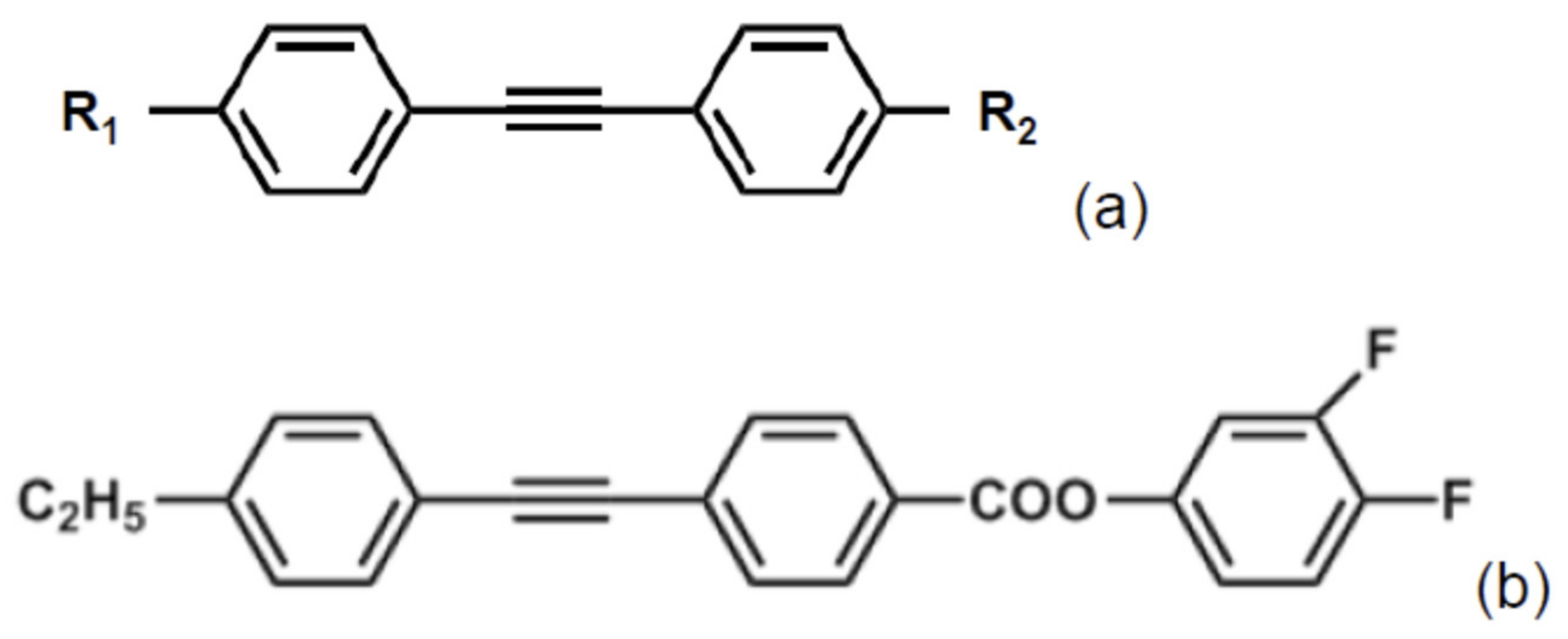
2. Preparation and Measurement of Mixture
3. Experiments of a Variable Wavelength Filter
4. Discussion
5. Conclusions
Author Contributions
Funding
Data Availability Statement
Acknowledgments
Conflicts of Interest
References
- Basch, E.B.; Egorov, R.; Gringeri, S.; Elby, S. Architectural tradeoffs for reconfigurable dense wavelength-division multiplexing systems. IEEE J. Sel. Top. Quantum Electron. 2006, 12, 615–626. [Google Scholar] [CrossRef]
- Gringeri, S.; Basch, B.; Shkia, V.; Egorov, R.; Xia, T.J. Flexible architecture for optical transport nodes and networks. IEEE Commun. Mag. 2010, 48, 40–50. [Google Scholar] [CrossRef]
- Tasaki, K.; Tokumaru, M.; Watanabe, T.; Nagayama, T.; Fukushima, S. Nested Mach-Zender interferometer optical switch with phase generating couplers. Jpn. J. Appl. Phys. 2020, 59, SOOB04. [Google Scholar] [CrossRef]
- Hattori, K.; Nakagawa, M.; Katayama, M.; Kani, J. Passive optical metro network based on NG-PON2 system to support cloud edges. IEICE Trans. Commun. 2019, E102B, 88–96. [Google Scholar] [CrossRef]
- Lin, L.Y.; Shen, J.L.; Lee, S.S.; Wu, M.C.; Sergent, A.M. Tunable three-dimensional solid Fabry-Perot etalons fabricated by surface-micromachining. IEEE Photon. Technol. Lett. 1996, 8, 101–103. [Google Scholar] [CrossRef][Green Version]
- Domash, L.; Wu, M.; Nemchuk, N.; Ma, E. Tunable and switchable multiple-cavity thin film filters. J. Lightwave Technol. 2004, 22, 126–138. [Google Scholar] [CrossRef]
- Sneh, A.; Johnson, K.M. High-speed continuously tunable liquid crystal filter for WDM networks. J. Lightwave Technol. 1996, 14, 1067–1080. [Google Scholar] [CrossRef]
- Yamazaki, H.; Fukushima, S. Holographic switch with a ferroelectric liquid-crystal spatial light modulator for a large-scale switch. Appl. Opt. 1995, 34, 8137–8143. [Google Scholar] [CrossRef] [PubMed]
- Fukushima, S.; Ariki, K.; Yoshinaga, K.; Higuchi, H.; Kikuchi, H. Infrared extinction of a dye-doped (polymer/liquid crystal) composite film. Crystals 2015, 5, 163–171. [Google Scholar] [CrossRef]
- Kikuchi, H.; Yokota, M.; Hisakado, Y.; Yang, H.; Kajiyama, T. Polymer-stabilized liquid crystal blue phases. Nat. Mater. 2002, 1, 64–68. [Google Scholar] [CrossRef] [PubMed]
- Morishita, T.; Higuchi, H.; Tazawa, H.; Fukushima, S.; Okumura, Y.; Kikuchi, H. Polymer-stablized blue phases including tolane-type liquid crystal molecules for large Kerr effect. In Proceedings of the International Liquid Crystal Conference (ILCC 2018), Kyoto, Japan, 22–27 July 2018. paper PI-C2–38. [Google Scholar]
- Hirabayashi, K.; Tsuda, H.; Kurokawa, T. Tunable liquid-crystal Fabry-Perot interferometer filter for wavelength-division multiplexing communication systems. J. Lightwave Technol. 1993, 11, 2033–2043. [Google Scholar] [CrossRef]
- Born, M.; Wolf, E. Principles of Optics, 7th ed.; Cambridge University Press: Cambridge, UK, 1999. [Google Scholar]
- Tsuda, H.; Fukushima, S.; Kurokawa, T. Optical triode operation characteristics of nonlinear etalons. Appl. Opt. 1991, 30, 5136–5142. [Google Scholar] [CrossRef] [PubMed]
- Fukushima, S.; Kurokawa, T.; Ohno, M. Ferroelectric liquid-crystal spatial light modulator achieving bipolar image operation and cascadability. Appl. Opt. 1992, 31, 6859–6868. [Google Scholar] [CrossRef] [PubMed]








| Mixture | Chemical Material | wt% |
|---|---|---|
| Host LC (92 wt%) | NLC: E8 (Merck) | x |
| NLC: TE-2FF | 92.5 − x | |
| Chiral dopant: s-[4’-(hexyloxy)-phenyl-4-carbonyl]-1,4;3,6- dianhydride-D-sorbitol(ISO-(6OBA)2 | 7.5 | |
| Polymer (8 wt%) | Mono-functional monomer: Dodecyl acrylate (C12A, Wako) | 38.4 |
| Bi-functional monomer: 2-methyl-1,4-phenylene-bis(4-(3-(acryloyloxy)propyloxy)benzoate) (RM257, Merck) | 57.6 | |
| Photo initiator: 2,2-dimethoxy-2-phenylacetophenone (DMPAP, Aldrich) | 4.0 |
Publisher’s Note: MDPI stays neutral with regard to jurisdictional claims in published maps and institutional affiliations. |
© 2021 by the authors. Licensee MDPI, Basel, Switzerland. This article is an open access article distributed under the terms and conditions of the Creative Commons Attribution (CC BY) license (https://creativecommons.org/licenses/by/4.0/).
Share and Cite
Fukushima, S.; Tokunaga, K.; Morishita, T.; Higuchi, H.; Okumura, Y.; Kikuchi, H.; Tazawa, H. Polymer-Stabilized Blue Phase and Its Application to a 1.5 µm Band Wavelength Selective Filter. Crystals 2021, 11, 1017. https://doi.org/10.3390/cryst11091017
Fukushima S, Tokunaga K, Morishita T, Higuchi H, Okumura Y, Kikuchi H, Tazawa H. Polymer-Stabilized Blue Phase and Its Application to a 1.5 µm Band Wavelength Selective Filter. Crystals. 2021; 11(9):1017. https://doi.org/10.3390/cryst11091017
Chicago/Turabian StyleFukushima, Seiji, Kakeru Tokunaga, Takuya Morishita, Hiroki Higuchi, Yasushi Okumura, Hirotsugu Kikuchi, and Hidehisa Tazawa. 2021. "Polymer-Stabilized Blue Phase and Its Application to a 1.5 µm Band Wavelength Selective Filter" Crystals 11, no. 9: 1017. https://doi.org/10.3390/cryst11091017
APA StyleFukushima, S., Tokunaga, K., Morishita, T., Higuchi, H., Okumura, Y., Kikuchi, H., & Tazawa, H. (2021). Polymer-Stabilized Blue Phase and Its Application to a 1.5 µm Band Wavelength Selective Filter. Crystals, 11(9), 1017. https://doi.org/10.3390/cryst11091017
