Pyrolysis Preparation Process of CeO2 with the Addition of Citric Acid: A Fundamental Study
Abstract
:1. Introduction
2. Modelling
3. Results and Discussion
3.1. The Selection of Monitoring Line and Area
3.2. Effects of Added Citric Acid on Various Parameters
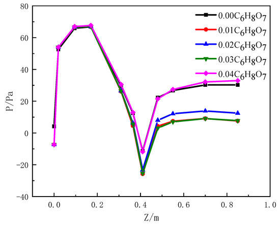
3.2.1. Reactor Pressure
3.2.2. Temperature Distribution
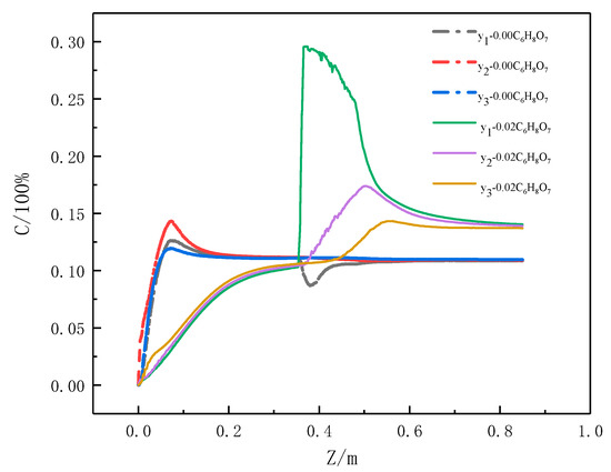
3.2.3. CO2 Concentration
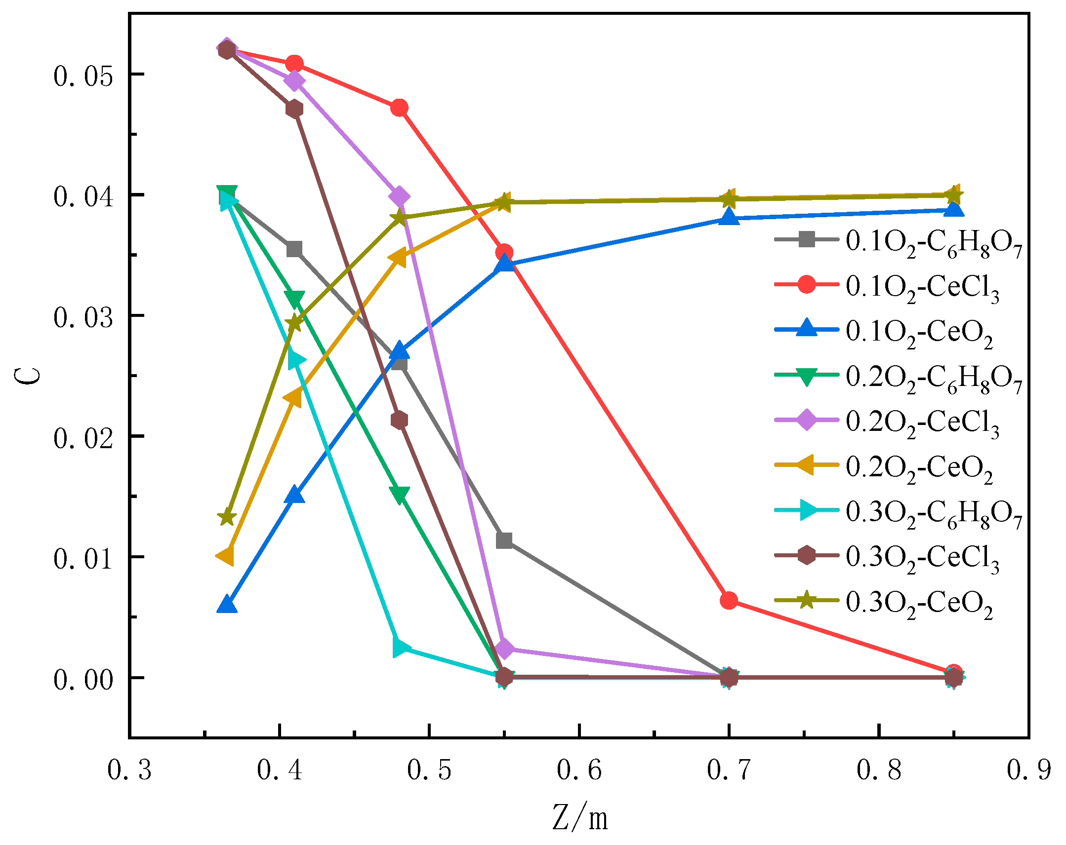
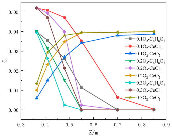
3.3. Effects of O2 Concentration on CeO2 Pyrolysis
3.3.1. Temperature
3.3.2. Distribution of Solid Particles
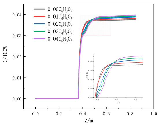
3.4. Effects of Citric Acid Content on CeO2 Pyrolysis
3.4.1. Pressure
3.4.2. CeO2 Concentration
3.4.3. Characterization of CeO2
4. Conclusions
Author Contributions
Funding
Institutional Review Board Statement
Informed Consent Statement
Data Availability Statement
Conflicts of Interest
References
- Carvajal, S.; Perramón, M.; Casals, G.; Oró, D.; Ribera, J.; Morales-Ruiz, M.; Casals, E.; Casado, P.; Melgar-Lesmes, P.; Fernández-Varo, G.; et al. Cerium Oxide Nanoparticles Protect against Oxidant Injury and Interfere with Oxidative Mediated Kinase Signaling in Human-Derived Hepatocytes. Int. J. Mol. Sci. 2019, 20, 5959. [Google Scholar] [CrossRef] [PubMed] [Green Version]
- Kosynkin, V.D.; Arzgatkina, A.A.; Ivanov, E.N.; Chtoutsa, M.G.; Grabko, A.I.; Kardapolov, A.V.; Sysina, N.A. The study of process production of polishing powder based on cerium dioxide. J. Alloys Compd. 2000, 303–304, 421–425. [Google Scholar] [CrossRef]
- Chueh, W.C.; Hao, Y.; Jung, W.; Haile, S.M. High electrochemical activity of the oxide phase in model ceria-Pt and ceria-Ni composite anodes. Nat. Mater. 2012, 11, 155–161. [Google Scholar] [CrossRef] [PubMed] [Green Version]
- Lv, C.; Dou, Z.; Zhao, Q. Simulation of Process and Reactor Structure Optimization for CeO2 Preparation from Jet-Flow Pyrolysis. JOM 2019, 71, 1660–1666. [Google Scholar] [CrossRef]
- Chen, C.Y.; Tseng, T.K.; Tsai, S.C.; Lin, C.K.; Lin, H.M. Effect of precursor characteristics on zirconia and ceria particle morphology in spray pyrolysis. Ceram. Int. 2008, 34, 409–416. [Google Scholar] [CrossRef]
- Mercadelli, E.; Ghetti, G.; Sanson, A.; Bonelli, R.; Albonetti, S. Synthesis of CeO2 nanoaggregates of complex morphology. Ceram. Int. 2013, 39, 629–634. [Google Scholar] [CrossRef]
- Rood, S.C.; Ahmet, H.B.; Gomez-Ramon, A.; Torrente-Murciano, L.; Reina, T.R.; Eslava, S. Enhanced ceria nanoflakes using graphene oxide as a sacrificial template for CO oxidation and dry reforming of methane. Appl. Catal. B Environ. 2019, 242, 358–368. [Google Scholar] [CrossRef]
- Peedikakkandy, L.; Kalita, L.; Kavle, P.; Kadam, A.; Gujar, V.; Arcot, M.; Bhargava, P. Preparation of spherical ceria coated silica nanoparticle abrasives for CMP application. Appl. Surf. Sci. 2015, 357, 1306–1312. [Google Scholar] [CrossRef]
- Francesco, C.; Alberto, C.; Danilo, L. Thermally stable surfactant-free ceria nanocubes in silica aerogel. J. Colloid Interface Sci. 2021, 583, 376–384. [Google Scholar]
- Xi, Z.Q.; Chen, Y. Effect of zinc acetate on morphology and polishing properties of cerium oxide. Modem Chem. Ind. 2019, 39, 120–123. [Google Scholar]
- Mädler, L.; Stark, W.J.; Pratsinis, S.E. Flame-made ceriananoparticles. J. Res. 2002, 17, 1356–1362. [Google Scholar]
- Yang, G.S.; Bian, X.; Cui, L.X.; Xie, B.; Wu, W.Y. Study on Preparation of Nano Cerium Oxide Powder by Spray Roasting of Cerium Chloride Solution. Chin. Rare Earths 2017, 38, 72–78. [Google Scholar]
- Lv, C.; Zhang, T.A.; Dou, Z.H.; Zhao, Q.Y. Numerical simulation of preparation of ultrafine cerium oxides using jet-flow pyrolysis Rare. Metals 2019, 38, 1160–1168. [Google Scholar]
- Lv, C.; Zhang, T.A.; Hao, B. Simulation of the Scale-Up Process of a Venturi Jet Pyrolysis Reactor. Metals 2019, 9, 979. [Google Scholar] [CrossRef] [Green Version]
- Izu, N.; Uchida, T.; Matsubara, I.; Itoh, T.; Shin, W.; Nishibori, M. Formation mechanism of monodispersed spherical core–shell ceria/polymer hybrid nanoparticles. Mater. Res. Bull. 2011, 46, 1168–1176. [Google Scholar] [CrossRef]
- Wu, W.Y.; Xue, S.F.; Bian, X.; Wang, Z.F. Study on the Preparation Process for CeO2 Superfine Powder. J. Northeast. Univ. (Nat. Sci.) 2015, 36, 800–804. [Google Scholar]
- Akroyd, J.; Smith, A.J.; Shirley, R.; McGlashan, L.R.; Kraft, M. A coupled CFD-population balance approach for nanoparticle synthesis in turbulent reacting flows. Chem. Eng. Sci. 2011, 66, 3792–3805. [Google Scholar] [CrossRef]
- Sung, Y.; Raman, V.; Fox, R.O. Large-eddy-simulation-based multiscale modeling of TiO2 nucleation chemistry. Chem. Eng. Sci. 2011, 66, 4370–4381. [Google Scholar] [CrossRef]
- Li, X.G.; Ma, B.G.; Wu, B.; Jian, S.W.; Luo, Z.T. Numerical simulation and optimization of cold air flow field in sprayed calciners. J. Harbin Inst. Technol. 2009, 41, 226–228. [Google Scholar]
- Lv, C. Numerical Simulation of Pyrolysis Process of Metal Chlorides; Northeastern University: Shen Yang, China, 2017. [Google Scholar]














| Experimental Value | Simulation Value | Error Rate/% | |
|---|---|---|---|
| Mixture flow rate at the materials inlet (m/s) | 0.03 | 0.03 | 0 |
| Outlet solid-phase flow rate (m/s) | 2.89 | 2.77 | 4.33 |
| Outlet gas-phase flow rate (m/s) | 2.85 | 2.77 | 2.81 |
Publisher’s Note: MDPI stays neutral with regard to jurisdictional claims in published maps and institutional affiliations. |
© 2021 by the authors. Licensee MDPI, Basel, Switzerland. This article is an open access article distributed under the terms and conditions of the Creative Commons Attribution (CC BY) license (https://creativecommons.org/licenses/by/4.0/).
Share and Cite
Lv, C.; Sun, M.-H.; Yin, H.-X.; Wang, Z.-F.; Xia, T.-Y. Pyrolysis Preparation Process of CeO2 with the Addition of Citric Acid: A Fundamental Study. Crystals 2021, 11, 912. https://doi.org/10.3390/cryst11080912
Lv C, Sun M-H, Yin H-X, Wang Z-F, Xia T-Y. Pyrolysis Preparation Process of CeO2 with the Addition of Citric Acid: A Fundamental Study. Crystals. 2021; 11(8):912. https://doi.org/10.3390/cryst11080912
Chicago/Turabian StyleLv, Chao, Ming-He Sun, Hong-Xin Yin, Zhen-Feng Wang, and Tian-Yuan Xia. 2021. "Pyrolysis Preparation Process of CeO2 with the Addition of Citric Acid: A Fundamental Study" Crystals 11, no. 8: 912. https://doi.org/10.3390/cryst11080912
APA StyleLv, C., Sun, M.-H., Yin, H.-X., Wang, Z.-F., & Xia, T.-Y. (2021). Pyrolysis Preparation Process of CeO2 with the Addition of Citric Acid: A Fundamental Study. Crystals, 11(8), 912. https://doi.org/10.3390/cryst11080912

