Azimuthal Anchoring Strength in Photopatterned Alignment of a Nematic
Abstract
1. Introduction
2. Materials and Methods
2.1. Cell Preparation
2.2. Photopatterning Method
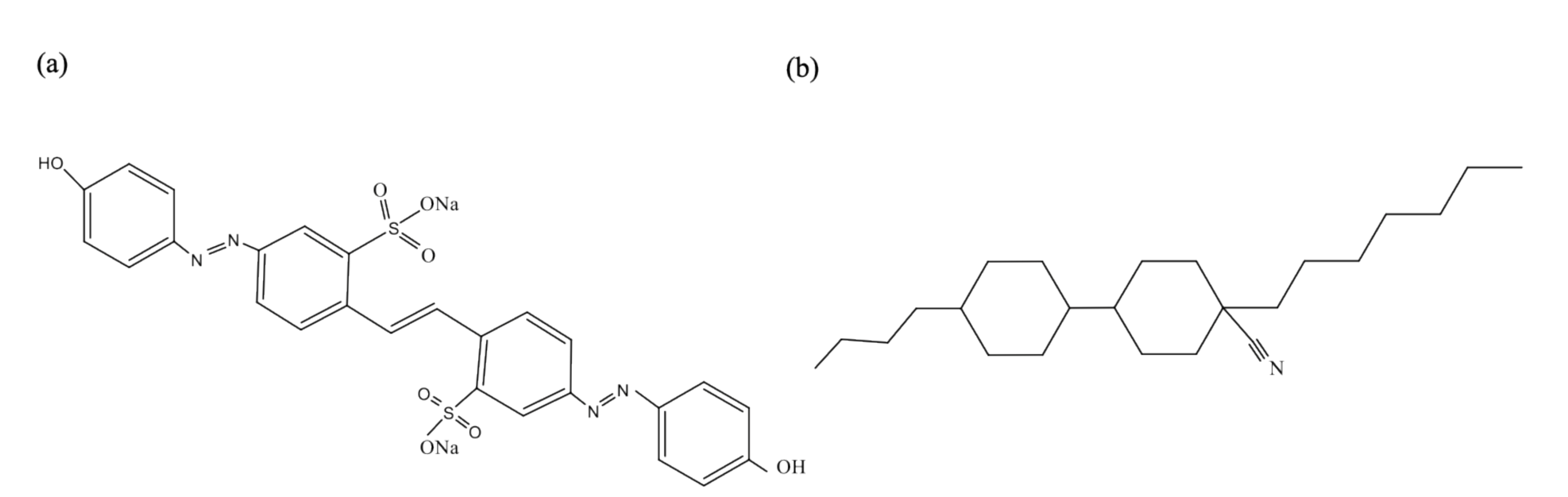
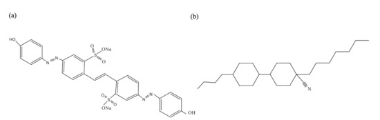
2.3. Nematic Material
2.4. Optical Retardance of the Patterns
3. Results
4. Conclusions
Author Contributions
Funding
Data Availability Statement
Acknowledgments
Conflicts of Interest
References
- Kleman, M.; Lavrentovich, O.D. Soft Matter Physics. An Introduction; Springer: New York, NY, USA, 2003. [Google Scholar]
- Piccirillo, B.; D’Ambrosio, V.; Slussarenko, S.; Marrucci, L.; Santamato, E. Photon spin-to-orbital angular momentum conversion via an electrically tunable q-plate. Appl. Phys. Lett. 2010, 97, 241104. [Google Scholar] [CrossRef]
- Serak, S.V.; Hakobyan, R.S.; Nersisyan, S.R.; Tabiryan, N.V.; White, T.J.; Bunning, T.J.; Steeves, D.M.; Kimball, B.R. All-optical diffractive/transmissive switch based on coupled cycloidal diffractive waveplates. Opt. Express 2012, 20, 5460–5469. [Google Scholar] [CrossRef] [PubMed]
- Kobashi, J.; Yoshida, H.; Ozaki, M. Polychromatic Optical Vortex Generation from Patterned Cholesteric Liquid Crystals. Phys. Rev. Lett. 2016, 116, 253903. [Google Scholar] [CrossRef]
- Jiang, M.; Guo, Y.; Yu, H.; Zhou, Z.; Turiv, T.; Lavrentovich, O.D.; Wei, Q.H. Low f-Number Diffraction-Limited Pancharatnam–Berry Microlenses Enabled by Plasmonic Photopatterning of Liquid Crystal Polymers. Adv. Mater. 2019, 31, 1808028. [Google Scholar] [CrossRef]
- Chigrinov, V.; Sun, J.; Wang, X. Photoaligning and Photopatterning: New LC Technology. Crystals 2020, 10, 323. [Google Scholar] [CrossRef]
- Anquetil-Deck, C.; Cleaver, D.J.; Bramble, J.P.; Atherton, T.J. Independent control of polar and azimuthal anchoring. Phys. Rev. E 2013, 88, 012501. [Google Scholar] [CrossRef] [PubMed]
- Ware, T.H.; McConney, M.E.; Wie, J.J.; Tondiglia, V.P.; White, T.J. Voxelated liquid crystal elastomers. Science 2015, 347, 982–984. [Google Scholar] [CrossRef] [PubMed]
- Mostajeran, C.; Warner, M.; Ware, T.H.; White, T.J. Encoding Gaussian curvature in glassy and elastomeric liquid crystal solids. Proc. R. Soc. A Math. Phys. Eng. Sci. 2016, 472, 20160112. [Google Scholar] [CrossRef]
- Babakhanova, G.; Turiv, T.; Guo, Y.; Hendrikx, M.; Wei, Q.-H.; Schenning, A.P.H.J.; Broer, D.J.; Lavrentovich, O.D. Liquid crystal elastomer coatings with programmed response of surface profile. Nat. Commun. 2018, 9, 456. [Google Scholar] [CrossRef] [PubMed]
- Aharoni, H.; Xia, Y.; Zhang, X.; Kamien, R.D.; Yang, S. Universal inverse design of surfaces with thin nematic elastomer sheets. Proc. Natl. Acad. Sci. USA 2018, 115, 7206–7211. [Google Scholar] [CrossRef]
- Peng, C.; Turiv, T.; Guo, Y.; Wei, Q.H.; Lavrentovich, O.D. Command of active matter by topological defects and patterns. Science 2016, 354, 882–885. [Google Scholar] [CrossRef]
- Turiv, T.; Koizumi, R.; Thijssen, K.; Genkin, M.M.; Yu, H.; Peng, C.; Wei, Q.H.; Yeomans, J.M.; Aranson, I.S.; Doostmohammadi, A.; et al. Polar jets of swimming bacteria condensed by a patterned liquid crystal. Nat. Phys. 2020, 16, 481–487. [Google Scholar] [CrossRef]
- Turiv, T.; Krieger, J.; Babakhanova, G.; Yu, H.; Shiyanovskii, S.V.; Wei, Q.-H.; Kim, M.-H.; Lavrentovich, O.D. Topology control of human fibroblast cells monolayer by liquid crystal elastomer. Sci. Adv. 2020, 6, eaaz6485. [Google Scholar] [CrossRef]
- Yaroshchuk, O.; Reznikov, Y. Photoalignment of liquid crystals: Basics and current trends. J. Mater. Chem. 2012, 22, 286–300. [Google Scholar] [CrossRef]
- Kim, J.-H.; Yoneya, M.; Yamamoto, J.; Yokoyama, H. Surface alignment bistability of nematic liquid crystals by orientationally frustrated surface patterns. Appl. Phys. Lett. 2001, 78, 3055–3057. [Google Scholar] [CrossRef]
- Wen, B.; Petschek, R.G.; Rosenblatt, C. Nematic liquid-crystal polarization gratings by modification of surface alignment. Appl. Opt. 2002, 41, 1246–1250. [Google Scholar] [CrossRef] [PubMed]
- Ichimura, K. Photoalignment of Liquid-Crystal Systems. Chem. Rev. 2000, 100, 1847–1874. [Google Scholar] [CrossRef]
- Fang, G.J.; Maclennan, J.E.; Yi, Y.; Glaser, M.A.; Farrow, M.; Korblova, E.; Walba, D.M.; Furtak, T.E.; Clark, N.A. Athermal photofluidization of glasses. Nat. Commun. 2013, 4, 1521. [Google Scholar] [CrossRef]
- McConney, M.E.; Martinez, A.; Tondiglia, V.P.; Lee, K.M.; Langley, D.; Smalyukh, I.I.; White, T.J. Topography from topology: Photoinduced surface features generated in liquid crystal polymer networks. Adv. Mater. 2013, 25, 5880–5885. [Google Scholar] [CrossRef]
- Nersisyan, S.; Tabiryan, N.; Steeves, D.M.; Kimball, B.R. Fabrication of liquid crystal polymer axial waveplates for UV-IR wavelengths. Opt. Express 2009, 17, 11926–11934. [Google Scholar] [CrossRef] [PubMed]
- Cardano, F.; Karimi, E.; Slussarenko, S.; Marrucci, L.; Lisio, C.D.; Santamato, E. Polarization pattern of vector vortex beams generated by q-plates with different topological charges. Appl. Opt. 2012, 51, C1–C6. [Google Scholar] [CrossRef] [PubMed]
- Huang, Y.H.; Li, M.S.; Ko, S.W.; Fuh, A.Y.G. Helical wavefront and beam shape modulated by advanced liquid crystal q-plate fabricated via photoalignment and analyzed by Michelson’s interference. Appl. Opt. 2013, 52, 6557–6561. [Google Scholar] [CrossRef]
- Huang, Y.-H.; Ko, S.-W.; Li, M.-S.; Chu, S.-C.; Fuh, A.Y.-G. Modulation of shape and polarization of beam using a liquid crystal q-plate that is fabricated via photo-alignment. Opt. Express 2013, 21, 10954–10961. [Google Scholar] [CrossRef]
- Culbreath, C.; Glazar, N.; Yokoyama, H. Note: Automated maskless micro-multidomain photoalignment. Rev. Sci. Instrum. 2011, 82, 126107. [Google Scholar] [CrossRef]
- Guo, Y.; Jiang, M.; Peng, C.; Sun, K.; Yaroshchuk, O.; Lavrentovich, O.; Wei, Q.H. High-Resolution and High-Throughput Plasmonic Photopatterning of Complex Molecular Orientations in Liquid Crystals. Adv. Mater. 2016, 28, 2353–2358. [Google Scholar] [CrossRef]
- Guo, Y.; Jiang, M.; Peng, C.; Sun, K.; Yaroshchuk, O.; Lavrentovich, O.D.; Wei, Q.-H. Designs of Plasmonic Metamasks for Photopatterning Molecular Orientations in Liquid Crystals. Crystals 2017, 7, 8. [Google Scholar] [CrossRef]
- Peng, C.; Guo, Y.; Turiv, T.; Jiang, M.; Wei, Q.H.; Lavrentovich, O.D. Patterning of Lyotropic Chromonic Liquid Crystals by Photoalignment with Photonic Metamasks. Adv. Mater. 2017, 29, 1606112. [Google Scholar] [CrossRef] [PubMed]
- Voloshchenko, D.; Khyzhnyak, A.; Reznikov, Y.; Reshetnyak, V. Control of an easy-axis on nematic-polymer interface by light action to nematic bulk. Jpn. J. Appl. Phys. 1995, 34, 566–571. [Google Scholar] [CrossRef]
- Andrienko, D.; Dyadyusha, A.; Iljin, A.; Kurioz, Y.; Reznikov, Y. Measurement of Azimuthal Anchoring Energy of Nematic Liquid Crystal on Photoaligning Polymer Surface. Mol. Cryst. Liq. Cryst. Sci. Technol. Sect. A Mol. Cryst. Liq. Cryst. 1998, 321, 271–281. [Google Scholar] [CrossRef]
- Okubo, K.; Kimura, M.; Akahane, T. Measurement of Genuine Azimuthal Anchoring Energy in Consideration of Liquid Crystal Molecular Adsorption on Alignment Film. Jpn. J. Appl. Phys. 2003, 42, 6428–6433. [Google Scholar] [CrossRef]
- Faetti, S.; Mutinati, G.; Gerus, I. Measurements of the azimuthal anchoring energy at the interface between a nematic liquid crystal and photosensitive polymers. Mol. Cryst. Liq. Cryst. 2004, 421, 81–93. [Google Scholar] [CrossRef]
- Fedorenko, D.; Ouskova, E.; Reshetnyak, V.; Reznikov, Y. Evolution of light-induced anchoring in dye-doped nematics: Experiment and model. Phys. Rev. E 2006, 73, 031701. [Google Scholar] [CrossRef]
- Shen, Y.; Dierking, I. Dynamic dissipative solitons in nematics with positive anisotropies. Soft Matter 2020, 16, 5325–5333. [Google Scholar] [CrossRef] [PubMed]
- Cladis, P.E.; Kléman, M. Non-singular disclinations of strength S = + 1 in nematics. J. Phys. Fr. 1972, 33, 591–598. [Google Scholar] [CrossRef]
- Meyer, R.B. On the existence of even indexed disclinations in nematic liquid crystals. Philos. Mag. A J. Theor. Exp. Appl. Phys. 1973, 27, 405–424. [Google Scholar] [CrossRef]
- Chiccoli, C.; Feruli, I.; Lavrentovich, O.D.; Pasini, P.; Shiyanovskii, S.V.; Zannoni, C. Topological defects in schlieren textures of biaxial and uniaxial nematics. Phys. Rev. E Stat. Phys. Plasmas Fluids Relat. Interdiscip. Top. 2002, 66, 030701(R). [Google Scholar] [CrossRef] [PubMed]
- Zawadzki, A.; Walton, H.G. Measurements of the splay and bend elastic constants of 4′-butyl-4-heptyl-bicyclohexyl-4-carbononitrile, CCN47. Mol. Cryst. Liq. Cryst. 2012, 569, 10–14. [Google Scholar] [CrossRef]
- Mikulich, V.S.; Murauski, A.A.; Muravsky, A.A.; Agabekov, V.E. Effect of temperature on the photoalignment of azo dyes in thin films. Russ. J. Phys. Chem. A 2016, 90, 675–682. [Google Scholar] [CrossRef]
- Wang, J.; McGinty, C.; West, J.; Bryant, D.; Finnemeyer, V.; Reich, R.; Berry, S.; Clark, H.; Yaroshchuk, O.; Bos, P. Effects of humidity and surface on photoalignment of brilliant yellow. Liq. Cryst. 2017, 44, 863–872. [Google Scholar] [CrossRef]
- Iimura, Y.; Kobayashi, N.; Kobayashi, S. Measurement of Temperature Behavior of Azimuthal Anchoring Energy at Liquid Crystal/SiO Interface Using New Method. Jpn. J. Appl. Phys. 1995, 34, 1935–1936. [Google Scholar] [CrossRef]
- Taylor, J. Introduction to Error Analysis, the Study of Uncertainties in Physical Measurements, 2nd ed.; University Science Books: New York, NY, USA, 1997. [Google Scholar]
- Clark, N.A. Surface memory effects in liquid crystals: Influence of surface composition. Phys. Rev. Lett. 1985, 55, 292–295. [Google Scholar] [CrossRef]
- Faetti, S.; Palleschi, V.; Schirone, A. A reflectometric method to measure the azimuthal anchoring energy of a nematic liquid crystal. Il Nuovo Cim. D 1988, 10, 1313–1324. [Google Scholar] [CrossRef]
- Iimura, Y.; Kobayashi, N.; Kobayashi, S. A New Method for Measuring the Azimuthal Anchoring Energy of a Nematic Liquid Crystal. Jpn. J. Appl. Phys. 1994, 33, L434–L436. [Google Scholar] [CrossRef]
- Yang, F.; Sambles, J.R.; Bradberry, G.W. Half-leaky guided wave determination of azimuthal anchoring energy and twist elastic constant of a homogeneously aligned nematic liquid crystal. J. Appl. Phys. 1999, 85, 728–733. [Google Scholar] [CrossRef]
- Fonseca, J.G.; Galerne, Y. Simple method for measuring the azimuthal anchoring strength of nematic liquid crystals. Appl. Phys. Lett. 2001, 79, 2910–2912. [Google Scholar] [CrossRef]
- Vilfan, M.; Mertelj, A.; Čopič, M. Dynamic light scattering measurements of azimuthal and zenithal anchoring of nematic liquid crystals. Phys. Rev. E 2002, 65, 041712. [Google Scholar] [CrossRef]
- Ryu, D.G.; Huh, J.-H.; Kim, Y.-K.; Gwag, J.S. Characterization of surface anchoring energy of nematic liquid crystals via electrohydrodynamic instability. Phys. Rev. E 2020, 101, 062703. [Google Scholar] [CrossRef]
- Pavlov, I.; Candemir, O.; Rybak, A.; Dobrovolskiy, A.; Kadan, V.; Blonskiy, I.; Lytvyn, P.; Korchovyi, A.; Tytarenko, P.; Kazantseva, Z.; et al. Azimuthal and polar anchoring energies of aligning layers structured by nonlinear laser lithography. Liq. Cryst. 2021, 48, 131–149. [Google Scholar] [CrossRef]
- Lyuksyutov, I.F. Topological instability of singularities at small distances in nematics. Sov. Phys. JETP 1978, 48, 178–179. [Google Scholar]
- Schopohl, N.; Sluckin, T.J. Defect Core Structure in Nematic Liquid Crystals. Phys. Rev. Lett. 1987, 59, 2582–2584. [Google Scholar] [CrossRef]
- Zhou, S.; Shiyanovskii, S.V.; Park, H.-S.; Lavrentovich, O.D. Fine structure of the topological defect cores studied for disclinations in lyotropic chromonic liquid crystals. Nat. Commun. 2017, 8, 14974. [Google Scholar] [CrossRef] [PubMed]
- Borshch, V.; Shiyanovskii, S.V.; Lavrentovich, O.D. Nanosecond Electro-Optic Switching of a Liquid Crystal. Phys. Rev. Lett. 2013, 111, 107802. [Google Scholar] [CrossRef]
- Clare, B.H.; Guzmán, O.; de Pablo, J.J.; Abbott, N.L. Measurement of the azimuthal anchoring energy of liquid crystals in contact with oligo(ethylene glycol)-terminated self-assembled monolayers supported on obliquely deposited gold films. Langmuir 2006, 22, 4654–4659. [Google Scholar] [CrossRef]
- Yang, F.Z.; Cheng, H.F.; Gao, H.J.; Sambles, J.R. Technique for characterizing azimuthal anchoring of twisted nematic liquid crystals using half-leaky guided modes. J. Opt. Soc. Am. B 2001, 18, 994–1002. [Google Scholar] [CrossRef]
- Ramdane, O.O.; Auroy, P.; Forget, S.; Raspaud, E.; Martinot-Lagarde, P.; Dozov, I. Memory-Free Conic Anchoring of Liquid Crystals on a Solid Substrate. Phys. Rev. Lett. 2000, 84, 3871–3874. [Google Scholar] [CrossRef] [PubMed]
- Smalyukh, I.I.; Lavrentovich, O.D. Anchoring-Mediated Interaction of Edge Dislocations with Bounding Surfaces in Confined Cholesteric Liquid Crystals. Phys. Rev. Lett. 2003, 90, 085503. [Google Scholar] [CrossRef] [PubMed]





Publisher’s Note: MDPI stays neutral with regard to jurisdictional claims in published maps and institutional affiliations. |
© 2021 by the authors. Licensee MDPI, Basel, Switzerland. This article is an open access article distributed under the terms and conditions of the Creative Commons Attribution (CC BY) license (https://creativecommons.org/licenses/by/4.0/).
Share and Cite
Padmini, H.N.; Rajabi, M.; Shiyanovskii, S.V.; Lavrentovich, O.D. Azimuthal Anchoring Strength in Photopatterned Alignment of a Nematic. Crystals 2021, 11, 675. https://doi.org/10.3390/cryst11060675
Padmini HN, Rajabi M, Shiyanovskii SV, Lavrentovich OD. Azimuthal Anchoring Strength in Photopatterned Alignment of a Nematic. Crystals. 2021; 11(6):675. https://doi.org/10.3390/cryst11060675
Chicago/Turabian StylePadmini, H. Nilanthi, Mojtaba Rajabi, Sergij V. Shiyanovskii, and Oleg D. Lavrentovich. 2021. "Azimuthal Anchoring Strength in Photopatterned Alignment of a Nematic" Crystals 11, no. 6: 675. https://doi.org/10.3390/cryst11060675
APA StylePadmini, H. N., Rajabi, M., Shiyanovskii, S. V., & Lavrentovich, O. D. (2021). Azimuthal Anchoring Strength in Photopatterned Alignment of a Nematic. Crystals, 11(6), 675. https://doi.org/10.3390/cryst11060675

