Dosimeter Based on YAG: Ce Phosphor via Sol-Gel Method for Online X-ray Radiation Monitoring
Abstract
1. Introduction
2. Materials and Methods
2.1. Powder Synthesis
2.2. Fabrication of Dosimeter
2.3. Detection System
3. Results
3.1. Characterization of XRD
3.2. Optical Properties
3.2.1. Photoluminescence Properties
3.2.2. Fluorescence Lifetime Properties
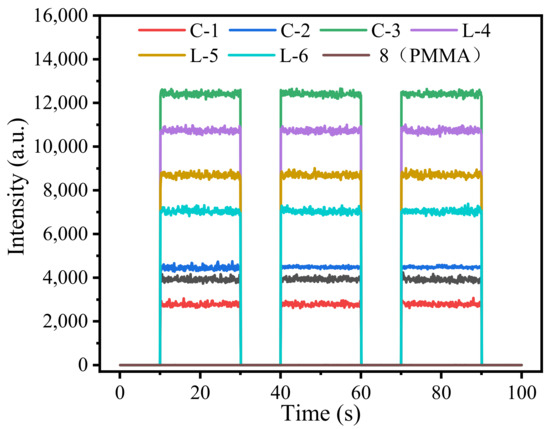
3.3. Radiation Sensing Characteristic
4. Discussion and Conclusion
Author Contributions
Funding
Data Availability Statement
Conflicts of Interest
References
- Nikl, M. Scintillation detectors for X-rays. Meas. Sci. Technol. 2006, 17, R37–R54. [Google Scholar] [CrossRef]
- Skaane, P.; Bandos, A.I.; Gullien, R.; Eben, E.B.; Ekseth, U.; Haakenaasen, U.; Izadi, M.; Jebsen, I.N.; Jahr, G.; Krager, M.; et al. Comparison of digital mammography alone and digital mammography plus tomosynthesis in a population-based screening program. Radiology 2013, 267, 47–56. [Google Scholar] [CrossRef] [PubMed]
- Lee, Y.; Hara, T.; Fujita, H.; Itoh, S.; Ishigaki, T. Automated detection of pulmonary nodules in helical CT images based on an improved template-matching technique. IEEE Trans. Med. Imaging 2001, 20, 595–604. [Google Scholar] [CrossRef] [PubMed]
- Mones, E.; Veronese, I.; Moretti, F.; Fasoli, M.; Loi, G.; Negri, E.; Brambilla, M.; Chiodini, N.; Brambilla, G.; Vedda, A. Feasibility study for the use of Ce3+-doped optical fibres in radiotherapy. Nucl. Instrum. Methods Phys. Res. Sect. A Accel. Spectrometers Detect. Assoc. Equip. 2006, 562, 449–455. [Google Scholar] [CrossRef]
- Siva, S.; MacManus, M.P.; Martin, R.F.; Martin, O.A. Abscopal effects of radiation therapy: A clinical review for the radiobiologist. Cancer Lett. 2015, 356, 82–90. [Google Scholar] [CrossRef] [PubMed]
- Qin, Z.; Xie, T.; Dai, X.; Zhang, B.; Ma, Y.; Khan, I.U.; Zhang, X.; Li, H.; Yan, Y.; Zhao, W.; et al. New model for explaining the over-response phenomenon in percentage of depth dose curve measured using inorganic scintillating materials for optical fiber radiation sensors. Opt. Express 2019, 27, 23693–23706. [Google Scholar] [CrossRef] [PubMed]
- Prasanna, P.G.; Woloschak, G.E.; DiCarlo, A.L.; Buchsbaum, J.C.; Schaue, D.; Chakravarti, A.; Cucinotta, F.A.; Formenti, S.C.; Guha, C.; Hu, D.J.; et al. Low-Dose Radiation Therapy (LDRT) for COVID-19: Benefits or Risks? Radiat. Res. 2020, 194, 452–464. [Google Scholar] [CrossRef] [PubMed]
- Girard, S.; Kuhnhenn, J.; Gusarov, A.; Brichard, B.; van Uffelen, M.; Ouerdane, Y.; Boukenter, A.; Marcandella, C. Radiation Effects on Silica-Based Optical Fibers: Recent Advances and Future Challenges. IEEE Trans. Nucl. Sci. 2013, 60, 2015–2036. [Google Scholar] [CrossRef]
- Adhikari, R.X. Gravitational radiation detection with laser interferometry. Rev. Mod. Phys. 2014, 86, 121–151. [Google Scholar] [CrossRef]
- Almond, P.R.; Svensson, H. Ionization chamber dosimetry for photon and electron beams. Acta Radiol. Ther. Phys. Biol. 1977, 16, 177–186. [Google Scholar] [CrossRef] [PubMed]
- Knoll, G.F. Radiation Detection and Measurement. Proc. IEEE 2010, 69, 495. [Google Scholar]
- Robar, J.L.; Clark, B.G. The use of radiographic film for linear accelerator stereotactic radiosurgical dosimetry. Med. Phys. 1999, 26, 2144–2150. [Google Scholar] [CrossRef][Green Version]
- Martens, C.; Claeys, I.; Wagter, C.D.; Neve, W.D. The value of radiographic film for the characterization of intensity-modulated beams. Phys. Med. Biol. 2002, 47, 2221–2234. [Google Scholar] [CrossRef] [PubMed]
- Rikner, G.; Grusell, E.; Kostjuchenko, V.; Lukjashin, V.; Lomanov, M. Radiation damage and dose rate linearity response of a p-Si detector in 70 MeV protons. Nucl. Instrum. Methods Phys. Res. A 1983, 217, 501–505. [Google Scholar] [CrossRef]
- Srinivasan, V.S.S.; Pandya, A. Dosimetry aspects of hafnium oxide metal-oxide-semiconductor (MOS) capacitor. Thin Solid Films 2011, 520, 574–577. [Google Scholar] [CrossRef]
- Veronese, I.; Chiodini, N.; Cialdi, S.; d’Ippolito, E.; Fasoli, M.; Gallo, S.; La Torre, S.; Mones, E.; Vedda, A.; Loi, G. Real-time dosimetry with Yb-doped silica optical fibres. Phys. Med. Biol. 2017, 62, 4218–4236. [Google Scholar] [CrossRef] [PubMed]
- Payne, S.A.; James, R.B.; Franks, L.; Burger, A.; Fiederle, M.; Loi, G.; Vedda, A.; Mones, E.; Fasoli, M.; D’Ippolito, E.; et al. Characterization of Yb-doped silica optical fiber as real-time dosimeter. In Hard X-ray, Gamma-Ray, and Neutron Detector Physics XIX; SPIE: San Diego, CA, USA, 2017. [Google Scholar]
- Savard, N.; Potkins, D.; Beaudry, J.; Jirasek, A.; Duzenli, C.; Hoehr, C. Characteristics of a Ce-Doped silica fiber irradiated by 74 MeV protons. Radiat. Meas. 2018, 114, 19–24. [Google Scholar] [CrossRef]
- Yoo, W.J.; Shin, S.H.; Jeon, D.; Hong, S.; Kim, S.G.; Sim, H.I.; Jang, K.W.; Cho, S.; Lee, B. Simultaneous measurements of pure scintillation and Cerenkov signals in an integrated fiber-optic dosimeter for electron beam therapy dosimetry. Opt. Express 2013, 21, 27770–27779. [Google Scholar] [CrossRef]
- Vedda, A.; Chiodini, N.; Di Martino, D.; Fasoli, M.; Keffer, S.; Lauria, A.; Martini, M.; Moretti, F.; Spinolo, G.; Nikl, M.; et al. Ce3+-doped fibers for remote radiation dosimetry. Appl. Phys. Lett. 2004, 85, 6356–6358. [Google Scholar] [CrossRef]
- Girard, S.; Ouerdane, Y.; Marcandella, C.; Boukenter, A.; Quenard, S.; Authier, N. Feasibility of radiation dosimetry with phosphorus-doped optical fibers in the ultraviolet and visible domain. J. Non-Cryst. Solids 2011, 357, 1871–1874. [Google Scholar] [CrossRef]
- Chen, W.Q.; Jo, D.S.; Song, Y.H.; Masaki, T.; Yoon, D.H. Synthesis and photoluminescence properties of YAG: Ce3+ phosphor using a liquid-phase precursor method. J. Lumin. 2014, 147, 304–309. [Google Scholar] [CrossRef]
- Saat, A.; Harun, A.; Hamzah, Z. Synthesis and characterization of YAG: Ce prepared by solid state reaction method. Malays. J. Anal. Sci. 2011, 15, 101–1050. [Google Scholar]
- You, Z.; Yue, K.; Zhang, J.; Ke, P.; Gu, D.; Guo, Q.; Luo, W. Effects of atmosphere and temperature on luminescence property of YAG: Ce synthesized by co-precipitation method. Optik 2019, 176, 241–245. [Google Scholar] [CrossRef]
- Zhang, L.; Lu, Z.; Zhu, J.; Yang, H.; Han, P.; Chen, Y.; Zhang, Q. Citrate sol-gel combustion preparation and photoluminescence properties of YAG: Ce phosphors. J. Rare Earths 2012, 30, 289–296. [Google Scholar] [CrossRef]
- Guo, Q.; Li, M.; Yue, K.; Yan, Y.; Xie, F.; Zhang, C.; Mou, C.; Peng, G.D. Characterization of YAG: Ce phosphor dosimeter by the co-precipitation method for radiotherapy. Appl. Opt. 2021, 60, 3044–3048. [Google Scholar] [CrossRef]
- Guo, Q.; Li, M.; Gu, D.; Yan, Y.; Yue, K.; Xie, F.; Zhang, C.; Mou, C.; Peng, G.-D.; Wang, T. Luminescence characterizations of YAG: Ce crystal via sol-gel method for radiotherapy. Opt. Mater. 2020, 109, 110297. [Google Scholar] [CrossRef]
- Drits, V.; Środoń, J.; Eberl, D.D. XRD Measurement of Mean Crystallite Thickness of Illite and Illite/Smectite: Reappraisal of the Kubler Index and the Scherrer Equation. Clays Clay Miner. 1997, 45, 461–475. [Google Scholar] [CrossRef]
- Zhang, Z.; Zhou, F.; Lavernia, E.J. On the analysis of grain size in bulk nanocrystalline materials via X-ray diffraction. Metall. Mater. Trans. A 2003, 34, 1349–1355. [Google Scholar] [CrossRef]
- Goonewardene, A.; Guo, X.; Guo, X.Z.; Jia, D.; Jia, W.; Li, K.K.; Shaffer, C.V.; Wang, Y.; Weyant, J.E.; Zou, Y.K. YAG: Ce3+ Nanophosphor Synthesized with Salted Sol-Gel Method. In Proceedings of the 2006 NSTI Nanotechnology Conference and Trade Show, Boston, MA, USA, 7–11 May 2006; Volume 1, pp. 339–342. [Google Scholar]
- Rai, P.; Song, M.-K.; Song, H.-M.; Kim, J.-H.; Kim, Y.-S.; Lee, I.-H.; Yu, Y.-T. Synthesis, growth mechanism and photoluminescence of monodispersed cubic shape Ce doped YAG nanophosphor. Ceram. Int. 2012, 38, 235–242. [Google Scholar] [CrossRef]
- He, X.; Liu, X.; Li, R.; Yang, B.; Yu, K.; Zeng, M.; Yu, R. Effects of local structure of Ce(3+) ions on luminescent properties of Y3Al5O12: Ce nanoparticles. Sci. Rep. 2016, 6, 22238. [Google Scholar] [CrossRef] [PubMed]
- Lee, Y.-W.; Wu, S.-H. Fabrication and performance assessment of coprecipitation-based YAG: Ce nanopowders for white LEDs. Microelectron. Eng. 2018, 199, 24–30. [Google Scholar] [CrossRef]
- Veith, M.; Mathur, S.; Kareiva, A.; Jilavi, M.; Zimmer, M.; Huch, V. Low temperature synthesis of nanocrystalline Y3Al5O12 (YAG) and Ce-doped Y3Al5O12via different sol–gel methods. J. Mater. Chem. 1999, 9, 3069–3079. [Google Scholar] [CrossRef]
- Jacobs, R.R.; Krupke, W.F.; Weber, M.J. Measurement of excited-state-absorption loss for Ce3+ in Y3Al5O12 and implications for tunable 5d→4f rare-earth lasers. Appl. Phys. Lett. 1978, 33, 410–412. [Google Scholar] [CrossRef]
- Huang, S.H.; Lou, L.R. Concentration dependence of sensitizer fluorescence intensity in energy transfer. Chin. J. Lumin 1990, 11, 1–7. [Google Scholar]
- Dai, Q.; Song, H.; Wang, M.; Bai, X.; Zhang, H. Size and Concentration Effects on the Photoluminescence of La2O2S: Eu3+ Nanocrystals. J. Phys. Chem. C 2008, 112, 19399–19404. [Google Scholar] [CrossRef]
- Dexter, D.L.; Schulman, J.H. Theory of Concentration Quenching in Inorganic Phosphors. J. Chem. Phys. 1954, 22, 1063–1070. [Google Scholar] [CrossRef]
- Lisitsyn, V.; Lisitsyna, L.; Tulegenova, A.; Ju, Y.; Polisadova, E.; Lipatov, E.; Vaganov, V. Nanodefects in YAG: Ce-Based Phosphor Microcrystals. Crystals 2019, 9, 476. [Google Scholar] [CrossRef]
- Gorbenko, V.; Zorenko, T.; Witkiewicz-Łukaszek, S.; Shakhno, A.; Osvet, A.; Batentschuk, M.; Fedorov, A.; Zorenko, Y. Crystallization and Investigation of the Structural and Optical Properties of Ce3+-Doped Y3−xCaxAl5−ySiyO12 Single Crystalline Film Phosphors. Crystals 2021, 11, 788. [Google Scholar] [CrossRef]
- Suchowerska, N.; Hoban, P.; Butson, M.; Davison, A.; Metcalfe, P. Directional dependence in film dosimetry: Radiographic and radiochromic film. Phys. Med. Biol. 2001, 46, 1391–1397. [Google Scholar] [CrossRef] [PubMed]
- Hosokai, Y.; Matsumoto, K.; Kozakai, M.; Takahashi, K.; Usui, A.; Win, T.P.; Muroi, K.; Saito, H. Development of Real-Time Radiation Exposure Dosimetry System Using Synthetic Ruby for Interventional Radiology. Radiat. Prot. Dosim. 2017, 175, 517–522. [Google Scholar] [CrossRef]













| No. | Material | Method | Concentration (mg/cm) | Length (cm) | Diameter (mm) |
|---|---|---|---|---|---|
| C-1 | YAG: Ce | sol-gel | 50 | 1 | 1.5 |
| C-2 | YAG: Ce | sol-gel | 100 | 1 | 1.5 |
| C-3 | YAG: Ce | sol-gel | 150 | 1 | 1.5 |
| L-4 | YAG: Ce | sol-gel | 50 | 1.5 | 1.5 |
| L-5 | YAG: Ce | sol-gel | 50 | 2 | 1.5 |
| L-6 | YAG: Ce | sol-gel | 50 | 2.5 | 1.5 |
| 8 | PMMA | commercial | / | / | 1 |
| Material | Method | Atmosphere | Temperature (°C) | Grain Size (nm) |
|---|---|---|---|---|
| YAG: Ce | sol-gel | nitrogen | 1100 | 73.8 |
| YAG: Ce | sol-gel | nitrogen | 1200 | 64.5 |
| YAG: Ce | sol-gel | nitrogen | 1300 | 70.1 |
| YAG: Ce | sol-gel | nitrogen | 1400 | 57.3 |
Publisher’s Note: MDPI stays neutral with regard to jurisdictional claims in published maps and institutional affiliations. |
© 2021 by the authors. Licensee MDPI, Basel, Switzerland. This article is an open access article distributed under the terms and conditions of the Creative Commons Attribution (CC BY) license (https://creativecommons.org/licenses/by/4.0/).
Share and Cite
Yan, Y.; Zhang, C.; Zheng, L.; Wang, T.; Li, M.; Xie, F.; Guo, Q.; Peng, G. Dosimeter Based on YAG: Ce Phosphor via Sol-Gel Method for Online X-ray Radiation Monitoring. Crystals 2021, 11, 1567. https://doi.org/10.3390/cryst11121567
Yan Y, Zhang C, Zheng L, Wang T, Li M, Xie F, Guo Q, Peng G. Dosimeter Based on YAG: Ce Phosphor via Sol-Gel Method for Online X-ray Radiation Monitoring. Crystals. 2021; 11(12):1567. https://doi.org/10.3390/cryst11121567
Chicago/Turabian StyleYan, Yuheng, Changfeng Zhang, Luchuan Zheng, Taiqi Wang, Mao Li, Feiyang Xie, Qiang Guo, and Gangding Peng. 2021. "Dosimeter Based on YAG: Ce Phosphor via Sol-Gel Method for Online X-ray Radiation Monitoring" Crystals 11, no. 12: 1567. https://doi.org/10.3390/cryst11121567
APA StyleYan, Y., Zhang, C., Zheng, L., Wang, T., Li, M., Xie, F., Guo, Q., & Peng, G. (2021). Dosimeter Based on YAG: Ce Phosphor via Sol-Gel Method for Online X-ray Radiation Monitoring. Crystals, 11(12), 1567. https://doi.org/10.3390/cryst11121567

