Flow Analysis of Hybridized Nanomaterial Liquid Flow in the Existence of Multiple Slips and Hall Current Effect over a Slendering Stretching Surface
Abstract
:1. Introduction
2. Mathematical Formulation
2.1. Model for Hybrid Nanomaterials Liquid and Simple Nanomaterials Liquid
2.2. Similarity Variables
2.3. Physical Quantities
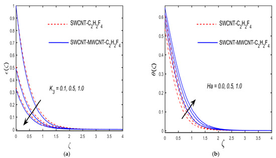
3. Graphical Results and Discussion
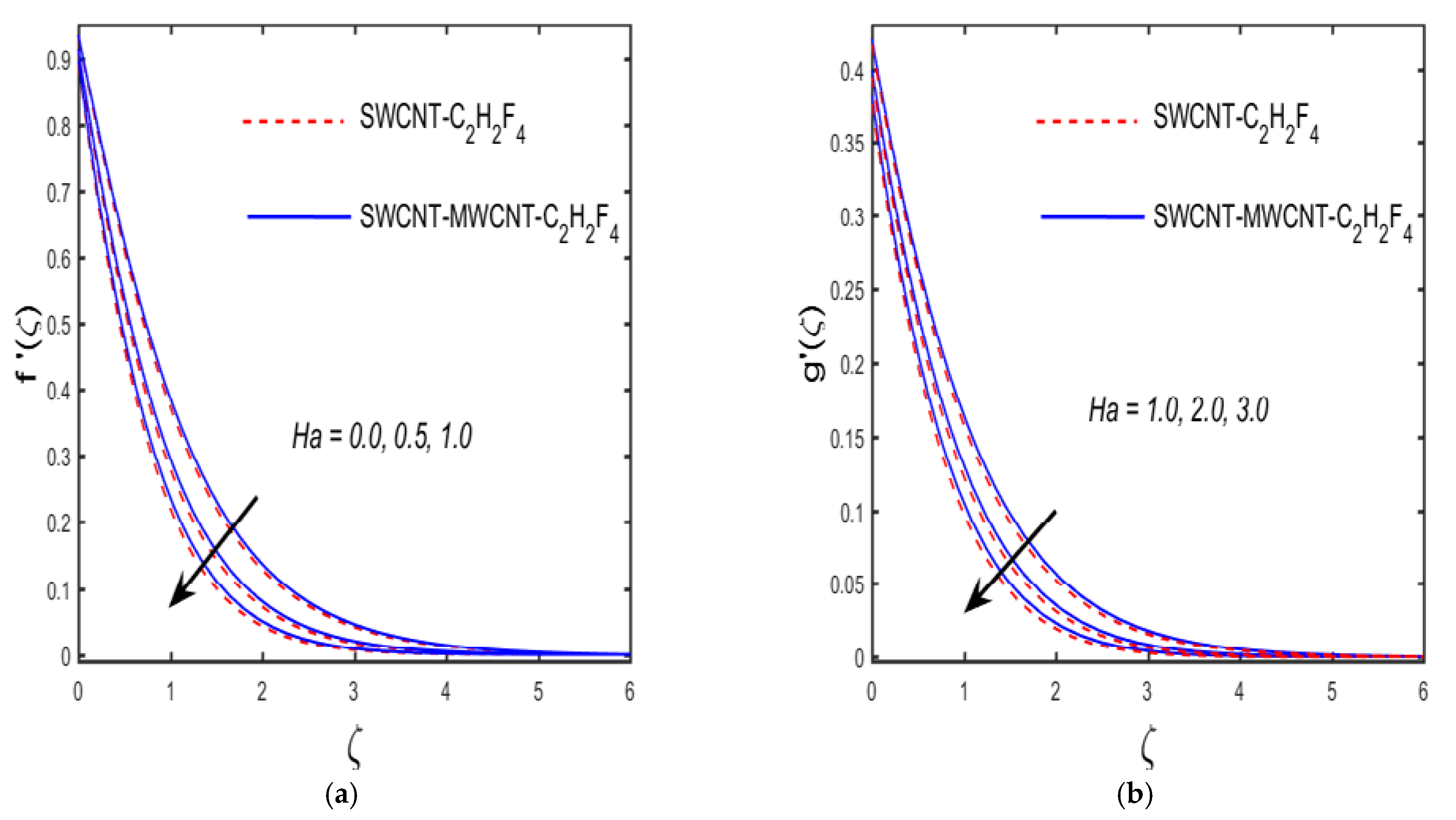
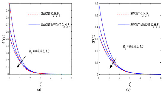
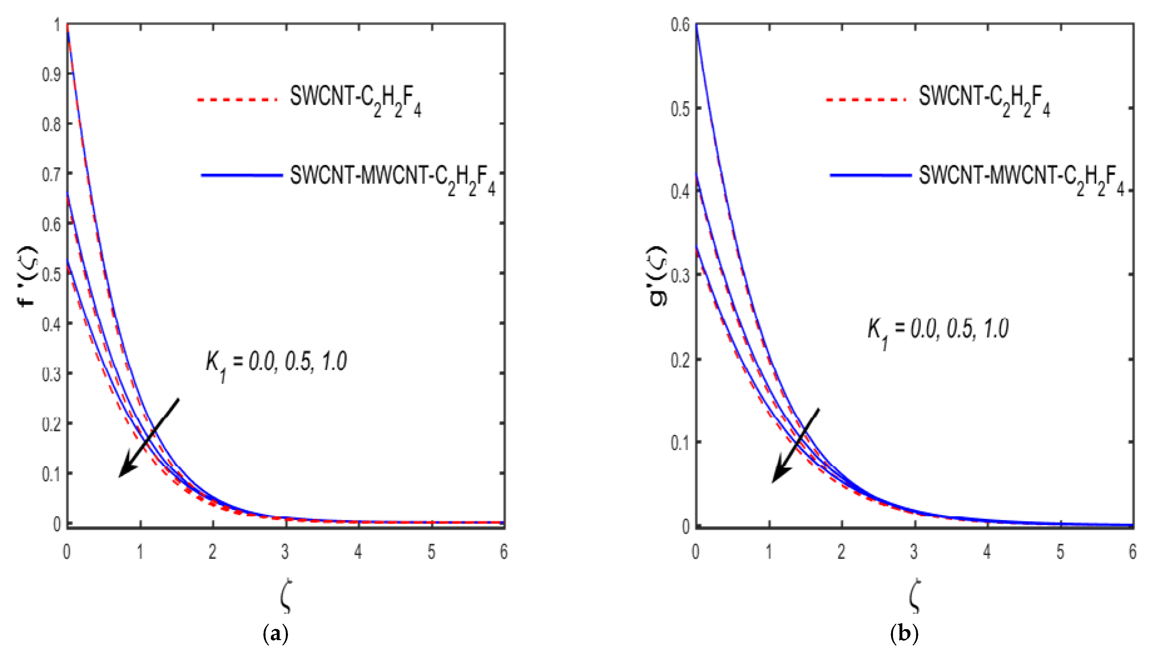
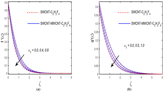
3.1. Variation of Distinct Characteristics on the Distribution of Velocity
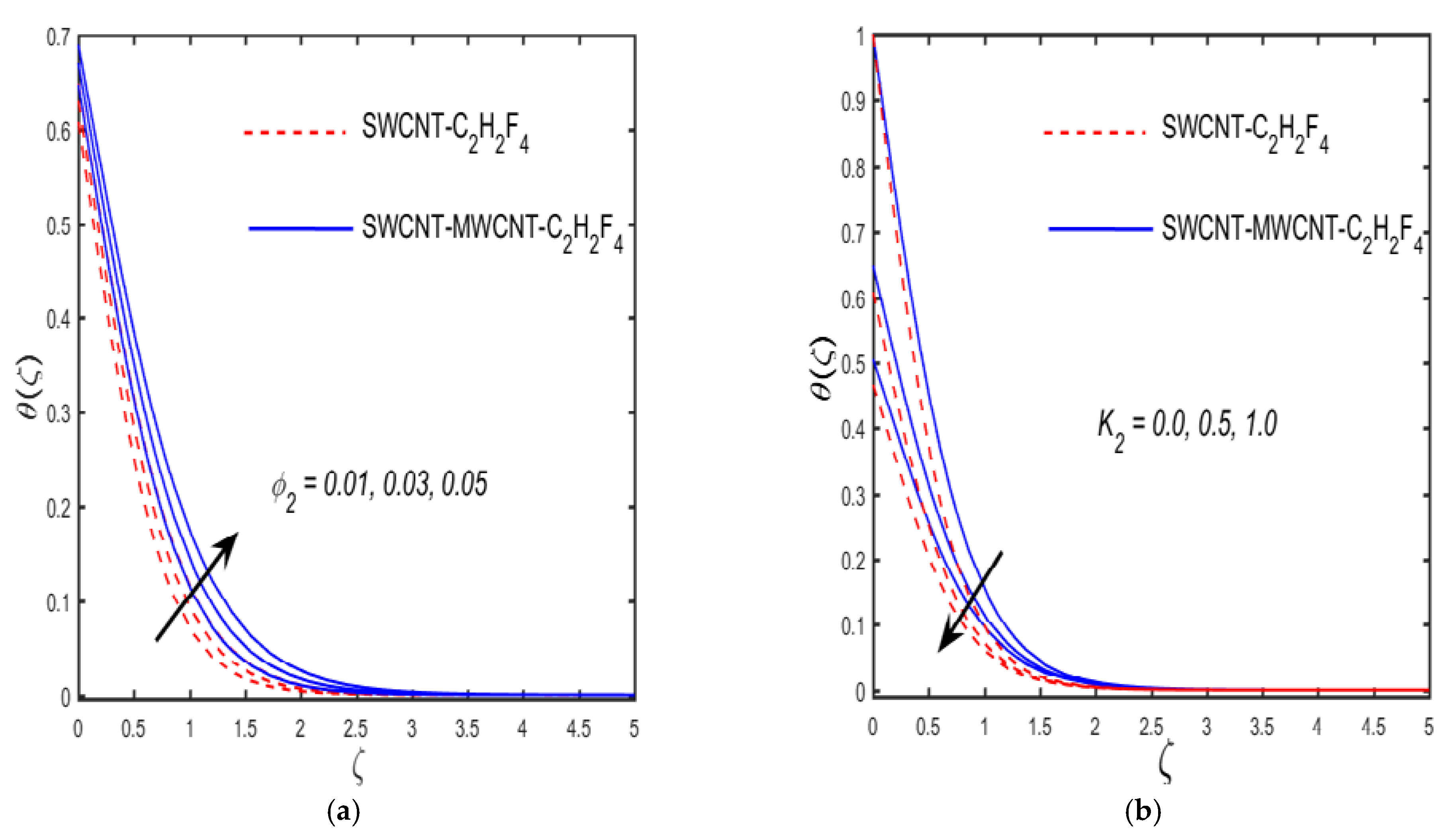
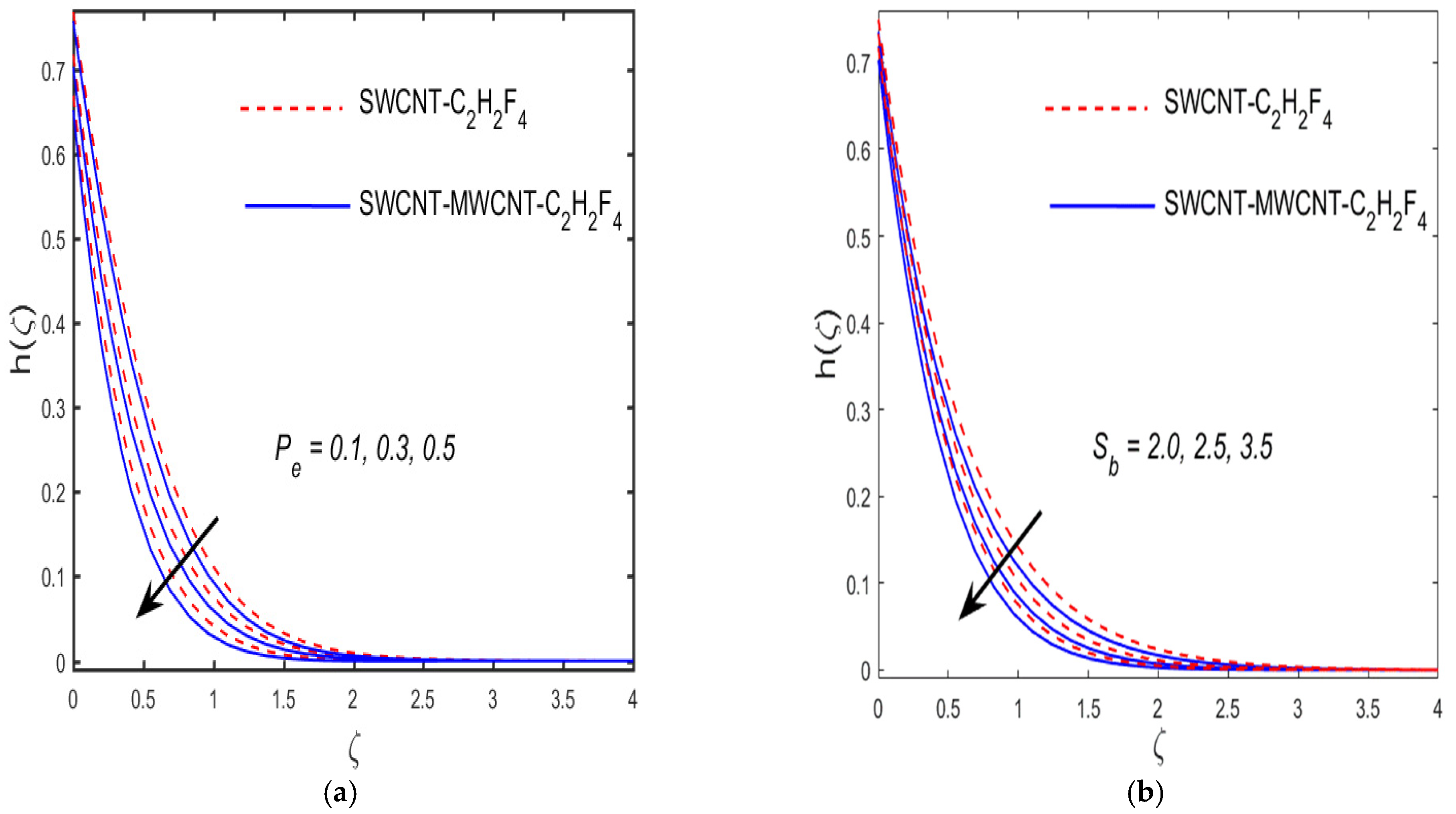
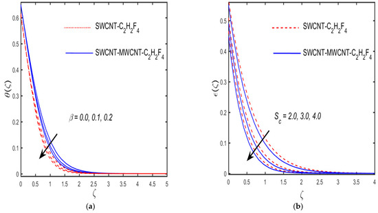
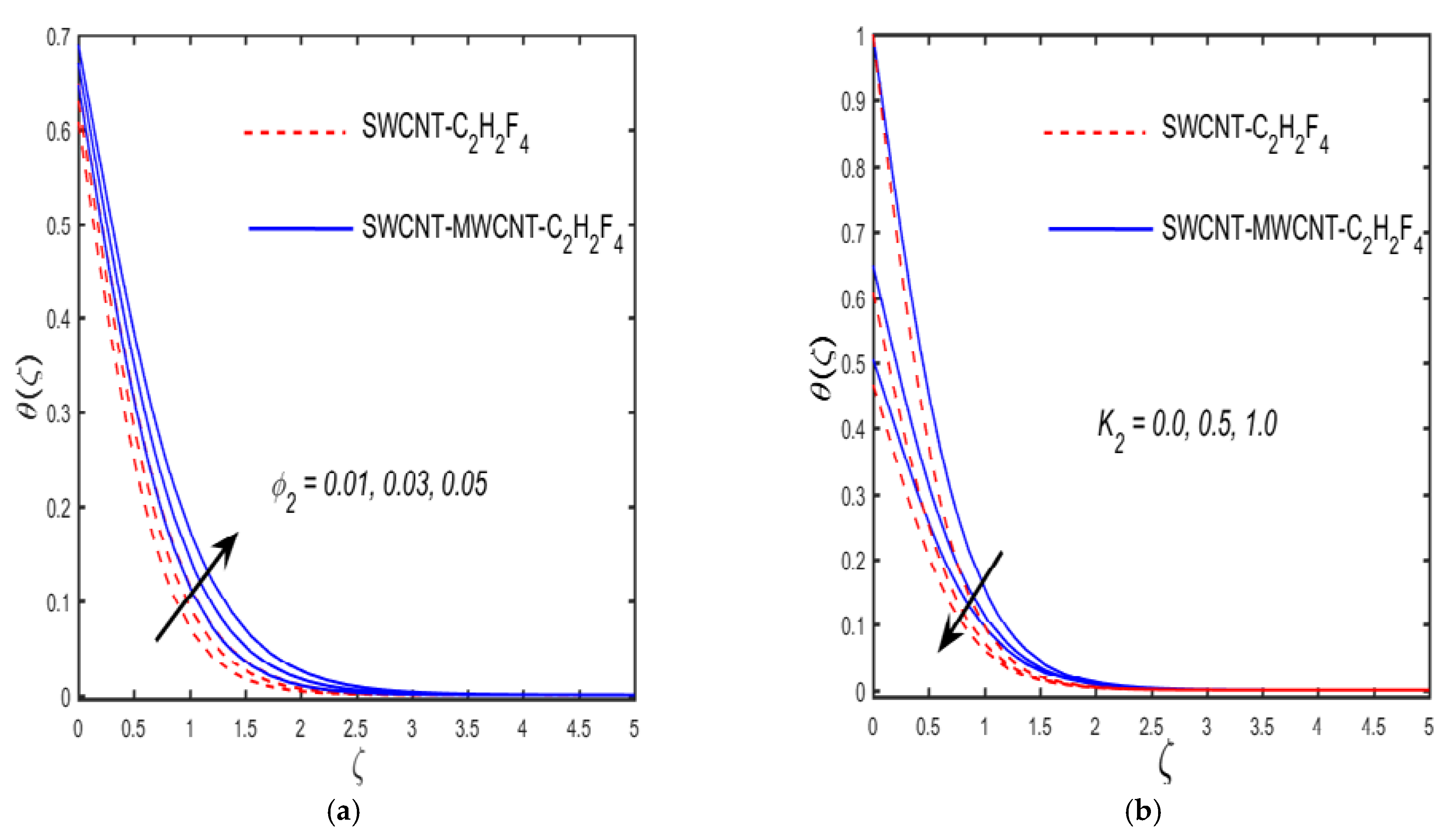
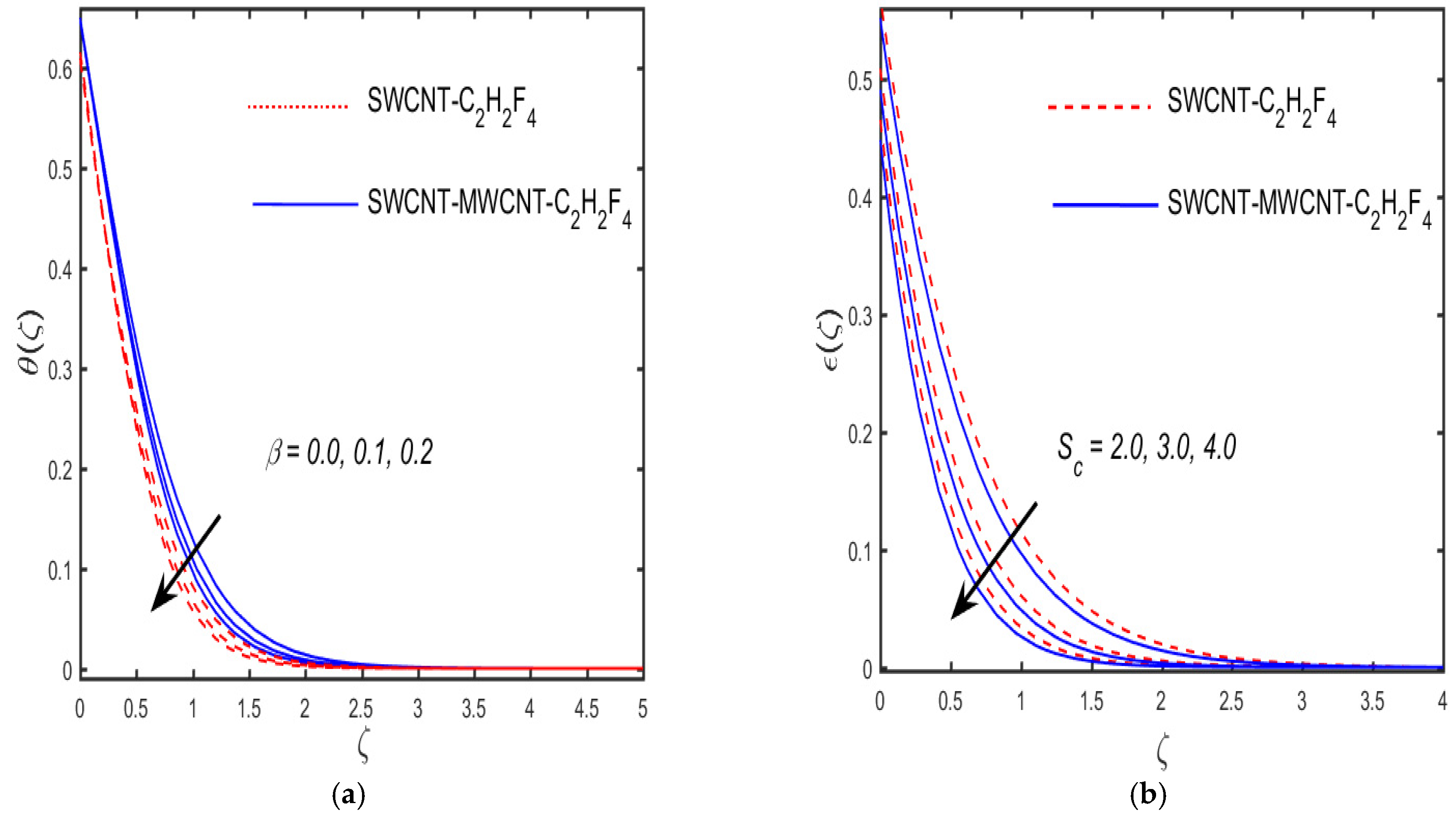
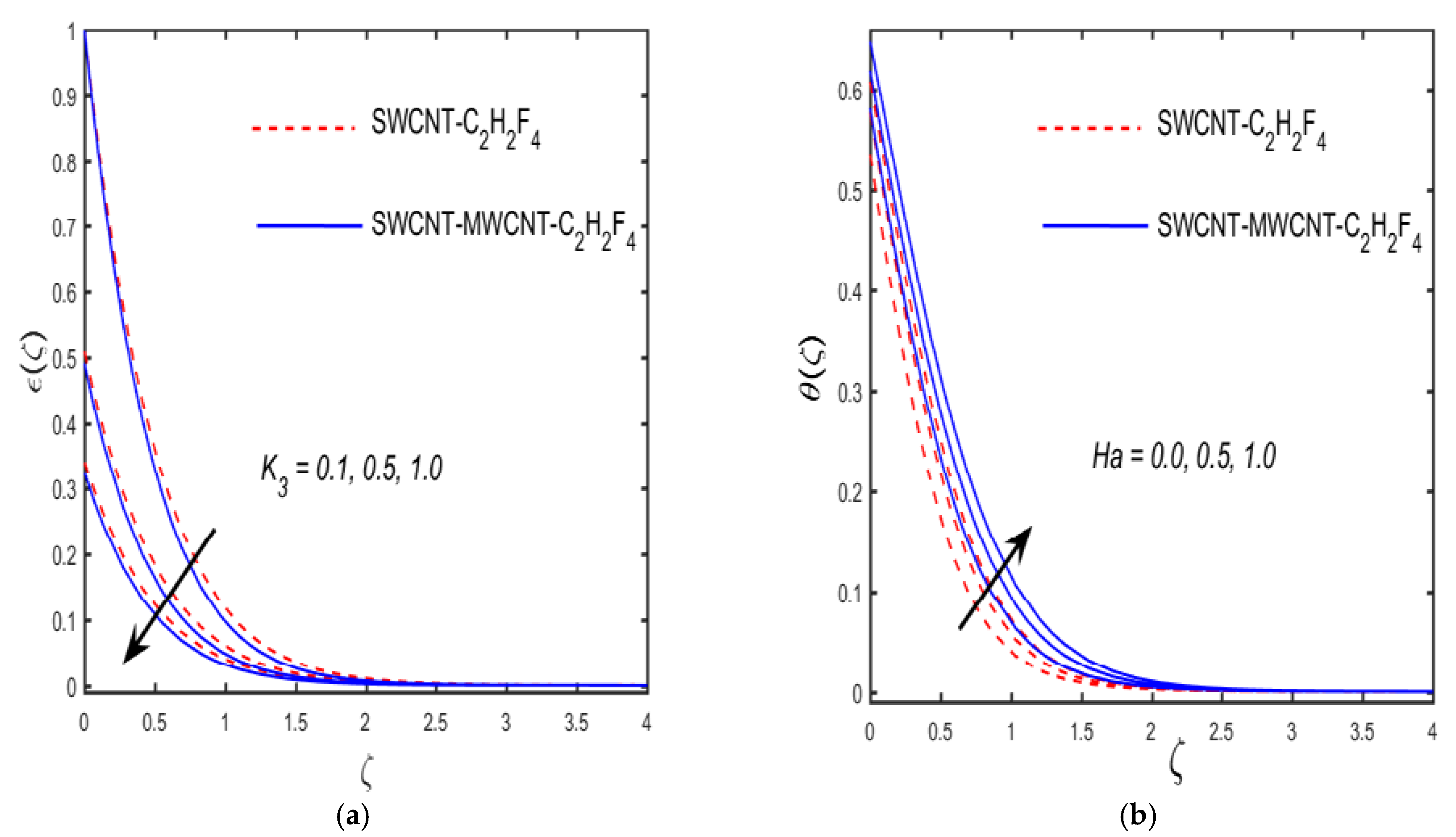
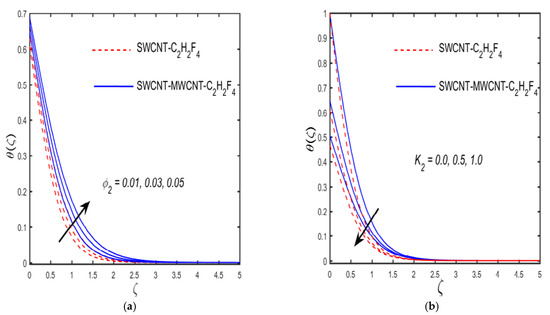
3.2. Variation in and Plots against Various Parameter
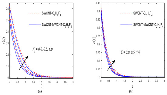
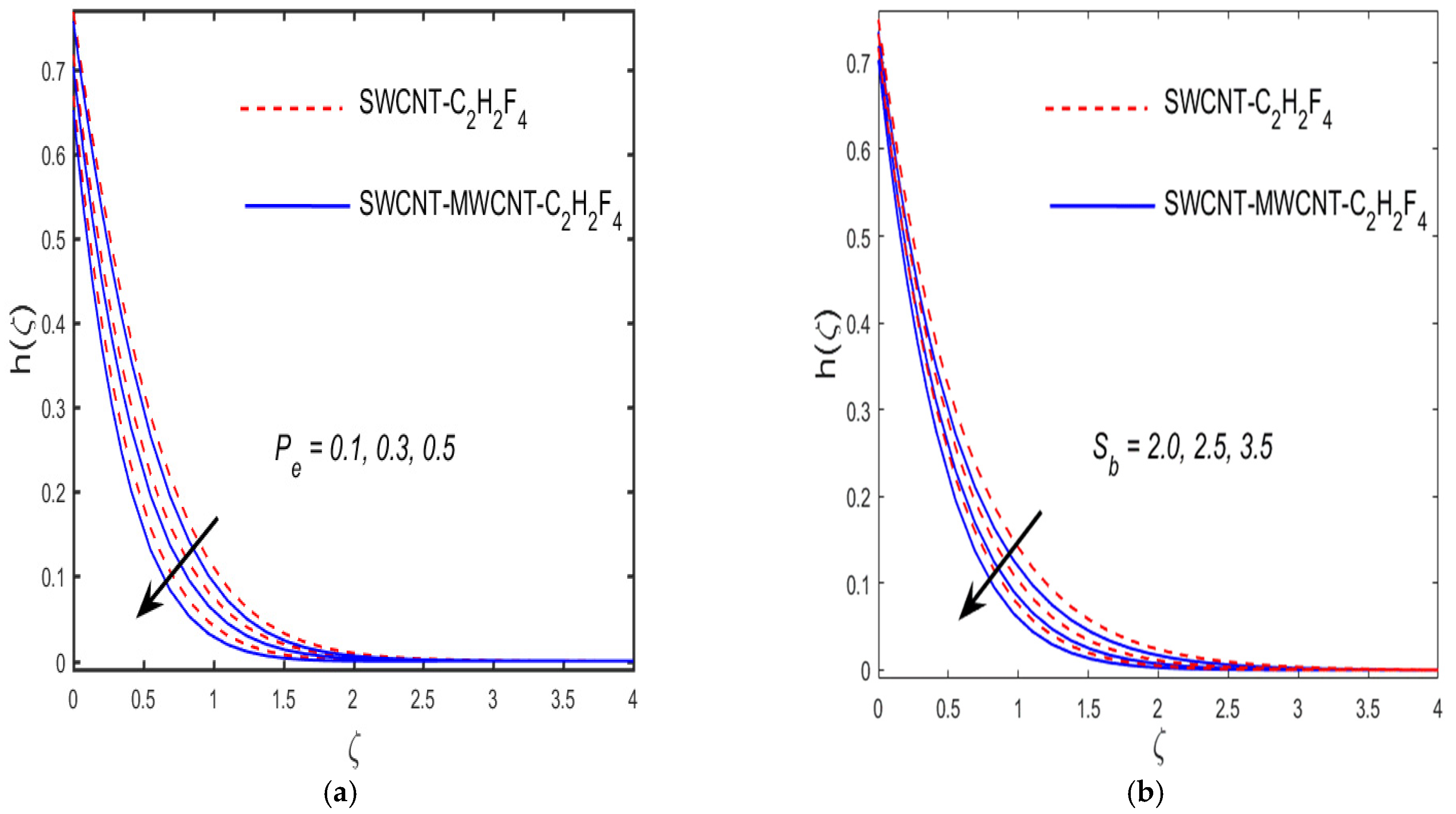
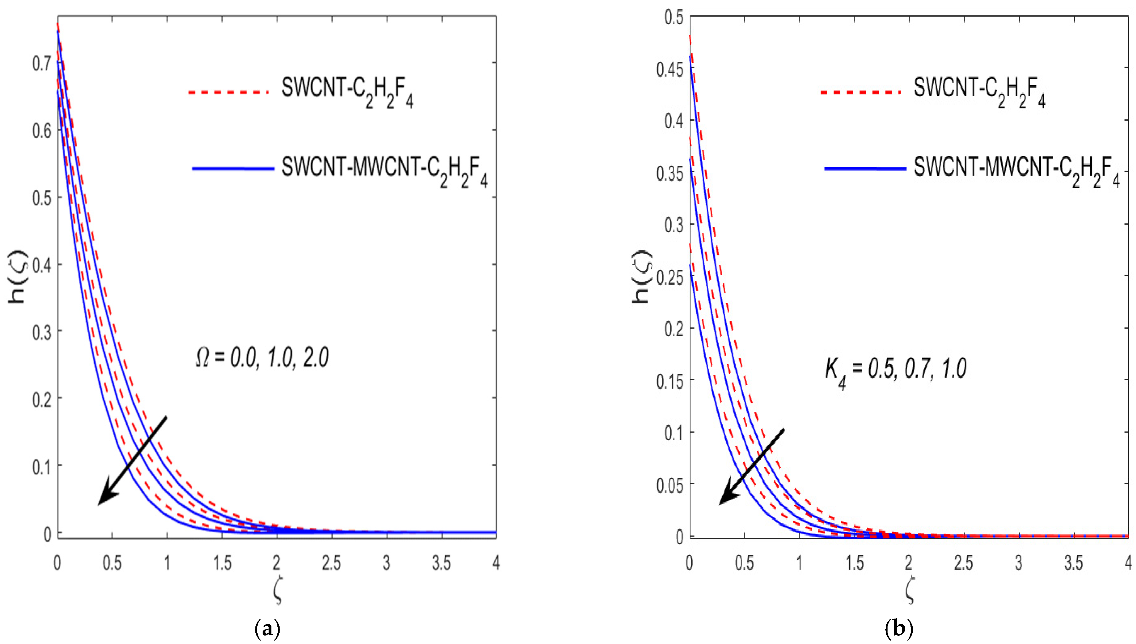
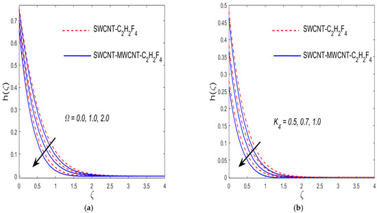
3.3. Variation in Microorganism Profile against Various Parameters
4. Concluding Remarks
- ➢
- The stronger values of provided the retardation effect, which declines the liquid velocity for and cases.
- ➢
- By escalating , the liquid viscosity decreases; as a result, the fluid velocity increases for and .
- ➢
- The larger values of improve the momentum and velocity boundary layer.
- ➢
- The temperature of the fluid increases due to the higher values of and for both and cases.
- ➢
- The concentration distribution is boosted with the enlargement of and for both and .
- ➢
- The growing values of and reduce the microorganism density for both and .
- ➢
- By enhancing , the skin friction is the boost in the y and x directions, while the against behavior is noted for the mixed convection parameter.
- ➢
- The Nusselt number shows decreasing behavior for the larger estimation of .
- ➢
- The mass transfer rate improves due to the improvement of .
- ➢
- A bigger amount of the mixed convection characteristic improves the microorganism rate of transport.
Author Contributions
Funding
Data Availability Statement
Acknowledgments
Conflicts of Interest
References
- Khan, U.; Ahmed, N.; Mohyud-Din, S.T. Numerical investigation for three dimensional squeezing flow of nanofluid in a rotating channel with lower stretching wall suspended by carbon nanotubes. Appl. Therm. Eng. 2017, 113, 1107–1117. [Google Scholar] [CrossRef]
- Hayat, T.; Haider, F.; Muhammad, T.; Alsaedi, A. On Darcy-Forchheimer flow of carbon nanotubes due to a rotating disk. Int. J. Heat Mass Transf. 2017, 112, 248–254. [Google Scholar] [CrossRef]
- Rahmati, A.R.; Reiszadeh, M. An experimental study on the effects of the use of multi-walled carbon nanotubes in ethylene glycol/water-based fluid with indirect heaters in gas pressure reducing stations. Appl. Therm. Eng. 2018, 134, 107–117. [Google Scholar] [CrossRef]
- Shahzadi, I.; Sadaf, H.; Nadeem, S.; Saleem, A. Bio-mathematical analysis for the peristaltic flow of single wall carbon nanotubes under the impact of variable viscosity and wall properties. Comput. Methods Programs Biomed. 2017, 139, 137–147. [Google Scholar] [CrossRef]
- Hofmann, S.; Sharma, R.; Ducati, C.; Du, G.; Mattevi, C.; Cepek, C.; Cantoro, M.; Pisana, S.; Parvez, A.; Cervantes-Sodi, F.; et al. In situ observations of catalyst dynamics during surface-bound carbon nanotube nucleation. Nano Lett. 2007, 7, 602–608. [Google Scholar] [CrossRef] [PubMed]
- Ramasubramaniam, R.; Chen, J.; Liu, H. Homogeneous carbon nanotube/polymer composites for electrical applications. Appl. Phys. Lett. 2003, 83, 2928–2930. [Google Scholar] [CrossRef]
- Khan, W.A.; Khan, Z.H.; Rahi, M. Fluid flow and heat transfer of carbon nanotubes along a flat plate with Navier slip boundary. Appl. Nanosci. 2014, 4, 633–641. [Google Scholar] [CrossRef] [Green Version]
- Raju, C.S.K.; Priyadarshini, P.; Ibrahim, S.M. Multiple Slip and Cross Diffusion on MHD Carreau–Cassonfluid over a Slendering Sheet with Non-uniform Heat Source/Sink. Int. J. Appl. Comput. Math. 2017, 3, 203–224. [Google Scholar] [CrossRef]
- Rahman, J.U.; Khan, U.; Ahmad, S.; Ramzan, M.; Suleman, M.; Lu, D.; Inam, S. Numerical simulation of Darcy–Forchheimer 3D unsteady nanofluid flow comprising carbon nanotubes with Cattaneo–Christov heat flux and velocity and thermal slip conditions. Processes 2019, 7, 687. [Google Scholar] [CrossRef] [Green Version]
- Hussain, Z.; Hayat, T.; Alsaedi, A.; Ahmad, B. Three-dimensional convective flow of CNTs nanofluids with heat generation/absorption effect: A numerical study. Comput. Methods Appl. Mech. Eng. 2018, 329, 40–54. [Google Scholar] [CrossRef]
- Koriko, O.K.; Shah, N.A.; Saleem, S.; Chung, J.D.; Omowaye, A.J.; Oreyeni, T. Exploration of bioconvection flow of MHD thixotropic nanofluid past a vertical surface coexisting with both nanoparticles and gyrotactic microorganisms. Sci. Rep. 2021, 11, 16627. [Google Scholar] [CrossRef]
- Khan, M.N.; Ahmad, S.; Nadeem, S. Flow and heat transfer investigation of bio–convective hybrid nanofluid with triple stratification effects. Phys. Scr. 2021, 96, 065210. [Google Scholar] [CrossRef]
- Zehra, I.; Abbas, N.; Amjad, M.; Nadeem, S.; Saleem, S.; Issakhov, A. Casson nanoliquid flow with Cattaneo-Christov flux analysis over a curved stretching/shrinking channel. Case Stud. Therm. Eng. 2021, 27, 101146. [Google Scholar] [CrossRef]
- Mathew, A.; Areekara, S.; Sabu, A.; Saleem, S. Significance of multiple slip and nanoparticle shape on stagnation point flow of silver-blood nanofluid in the presence of induced magnetic field. Surf. Interfaces 2021, 25, 101267. [Google Scholar] [CrossRef]
- Devi, S.A.; Prakash, M. Temperature dependent viscosity and thermal conductivity effects on hydromagnetic flow over a slendering stretching sheet. J. Niger. Math. Soc. 2015, 34, 318–330. [Google Scholar] [CrossRef] [Green Version]
- Babu, M.J.; Sandeep, N. MHD non-Newtonian fluid flow over a slendering stretching sheet in the presence of cross-diffusion effects. Alex. Eng. J. 2016, 55, 2193–2201. [Google Scholar] [CrossRef] [Green Version]
- Nandi, S.; Kumbhakar, B.; Seth, G.S.; Chamkha, A.J. Features of 3D magneto-convective nonlinear radiative Williamson nanofluid flow with activation energy, multiple slips and Hall effect. Phys. Scr. 2021, 96, 065206. [Google Scholar] [CrossRef]
- Gayatri, M.; Jayaramireddy, K.; Jayachandra Babu, M. Nonlinear convective flow of Maxwell fluid over a slendering stretching sheet with heat source/sink. J. Appl. Comput. Mech. 2019, 8, 60–70. [Google Scholar]
- Lanjwani, H.B.; Saleem, S.; Chandio, M.S.; Anwar, M.I.; Abbas, N. Stability analysis of triple solutions of Casson nanofluid past on a vertical exponentially stretching/shrinking sheet. Adv. Mech. Eng. 2021, 13. [Google Scholar] [CrossRef]
- Reddy, J.V.R.; Sugunamma, V.; Sandeep, N. Effect of frictional heating on radiative ferrofluid flow over a slendering stretching sheet with aligned magnetic field. Eur. Phys. J. Plus 2017, 132, 7. [Google Scholar] [CrossRef]
- Kumar, R.V.M.S.S.K.; Kumar, G.V.; Verma, S.V.K. Unsteady magnetohydrodynamic stagnation point flow of a nanofluid over a slendering stretching sheet using Buongiorno’s model. Int. J. Res. Ind. Eng. 2018, 7, 84–105. [Google Scholar]
- Alzahrani, F.; Abbas, I.A. Generalized thermoelastic interactions in a poroelastic material without energy dissipations. Int. J. Thermophys. 2020, 41, 95. [Google Scholar] [CrossRef]
- Alzahrani, F.; Hobiny, A.; Abbas, I.; Marin, M. An eigenvalues approach for a two-dimensional porous medium based upon weak, normal and strong thermal conductivities. Symmetry 2020, 12, 848. [Google Scholar] [CrossRef]
- Mabood, F.; Ashwinkumar, G.P.; Sandeep, N. Simultaneous results for unsteady flow of MHD hybrid nanoliquid above a flat/slendering surface. J. Therm. Anal. Calorim. 2021, 146, 227–239. [Google Scholar] [CrossRef]
- Ahmad, S.; Khan, M.N.; Nadeem, S.; Rehman, A.; Ahmad, H.; Ali, R. Impact of Joule heating and multiple slips on a Maxwell nanofluid flow past a slendering surface. Commun. Theor. Phys. 2021. [Google Scholar] [CrossRef]
- Reddy, M.G.; Reddy, K.V. Influence of Joule heating on MHD peristaltic flow of a nanofluid with compliant walls. Procedia Eng. 2015, 127, 1002–1009. [Google Scholar] [CrossRef] [Green Version]
- Hayat, T.; Khan, S.A.; Alsaedi, A.; Zia, Q.M.Z. Irreversibility analysis in Darcy-Forchheimer flow of CNTs with dissipation and Joule heating effects by a curved stretching sheet. Appl. Nanosci. 2021, 11, 187–198. [Google Scholar] [CrossRef]
- Ghadikolaei, S.; Hosseinzadeh, K.; Ganji, D. Numerical study on magnetohydrodynic CNTs-water nanofluids as a micropolar dusty fluid influenced by non-linear thermal radiation and Joule heating effect. Powder Technol. 2018, 340, 389–399. [Google Scholar] [CrossRef]
- Zhang, X.-H.; Abidi, A.; Ahmed, A.E.-S.; Khan, M.R.; El-Shorbagy, M.; Shutaywi, M.; Issakhov, A.; Galal, A.M. MHD stagnation point flow of nanofluid over a curved stretching/shrinking surface subject to the influence of Joule heating and convective condition. Case Stud. Therm. Eng. 2021, 26, 101184. [Google Scholar] [CrossRef]
- Ijaz, M.; Yousaf, M.; El Shafey, A.M. Arrhenius activation energy and Joule heating for Walter-B fluid with Cattaneo–Christov double-diffusion model. J. Therm. Anal. Calorim. 2021, 143, 3687–3698. [Google Scholar] [CrossRef]
- Abbas, I.A.; Kumar, R. Deformation due to thermal source in micropolar generalized thermoelastic half-space by finite element method. J. Comput. Theor. Nanosci. 2014, 11, 185–190. [Google Scholar] [CrossRef]
- Abbas, I. Eigenvalue approach on fractional order theory of thermoelastic diffusion problem for an infinite elastic medium with a spherical cavity. Appl. Math. Model. 2015, 39, 6196–6206. [Google Scholar] [CrossRef]
- Abbas, I.A.; Kumar, R. 2D deformation in initially stressed thermoelastic half-space with voids. Steel Compos. Struct. 2016, 20, 1103–1117. [Google Scholar] [CrossRef]
- Abbas, I.A.; Marin, M. Analytical solutions of a two-dimensional generalized thermoelastic diffusions problem due to laser pulse. Iran. J. Sci. Technol. Trans. Mech. Eng. 2018, 42, 57–71. [Google Scholar] [CrossRef]
- Xia, W.-F.; Hafeez, M.U.; Khan, M.I.; Shah, N.A.; Chung, J.D. Entropy optimized dissipative flow of hybrid nanofluid in the presence of non-linear thermal radiation and Joule heating. Sci. Rep. 2021, 11, 16067. [Google Scholar] [CrossRef]
- Moradi, A.; Ahmadikia, H.; Hayat, T.; Alsaedi, A. On mixed convection–radiation interaction about an inclined plate through a porous medium. Int. J. Therm. Sci. 2013, 64, 129–136. [Google Scholar] [CrossRef]
- Ahmad, S.; Nadeem, S.; Khan, M.N. Mixed convection hybridized micropolar nanofluid with triple stratification and Cattaneo–Christov heat flux model. Phys. Scr. 2021, 96, 075205. [Google Scholar] [CrossRef]
- Joshi, N.; Bisht, V.; Bhakuni, A.S.; Pathak, G. Effect of mass transfer and radiation on mixed convection boundary layer flow over a permeable vertical cylinder with surface heat flux and mass flux. Int. J. Comput. Methods Eng. Sci. Mech. 2021, 22, 216–224. [Google Scholar] [CrossRef]
- Abbas, A.; Ashraf, M.; Chamkha, A.J. Combined effects of thermal radiation and thermophoretic motion on mixed convection boundary layer flow. Alex. Eng. J. 2021, 60, 3243–3252. [Google Scholar] [CrossRef]
- Nadeem, S.; Ahmad, S.; Khan, M.N. Mixed convection flow of hybrid nanoparticle along a Riga surface with Thomson and Troian slip condition. J. Therm. Anal. Calorim. 2021, 143, 2099–2109. [Google Scholar] [CrossRef]
- Khan, J.A.; Mustafa, M.; Hayat, T.; Alsaedi, A. On three-dimensional flow and heat transfer over a non-linearly stretching sheet: Analytical and numerical solutions. PLoS ONE 2014, 9, e107287. [Google Scholar] [CrossRef]
- Hussain, F.; Saleem, S.; Nazeer, M.; Al-Mubaddel, F.S.; Ali, A.; Saleem, A.; Saleem, M. Mathematical modeling and numerical solution of cross-flow of non-Newtonian fluid: Effects of viscous dissipation and slip boundary conditions. ZAMM-J. Appl. Math. Mech. Z. Angew. Math. Mech. 2021, e202100130. [Google Scholar] [CrossRef]












| Physical Properties | Nanoparticles | BASE FLUID | |
|---|---|---|---|
| SWCNTs | MWCNTs | ||
| (kg/m3) | 2600 | 1600 | 1199.7 |
| (J/kg K) | 425 | 796 | 1432 |
| (W/mK) | 6600 | 3000 | 0.0803 |
| Properties | |
| Viscosity | |
| Density | |
| Conductivity | |
| Heat capacity | |
| Properties | |
| Viscosity) | |
| Heat capacity | |
| Density) | |
| Thermal conductivity) |
| Nandi et al. [17] | Khan et al. [41] | Presents Results | |||||
|---|---|---|---|---|---|---|---|
| 1.0 | 0.0 | −1.000007 | 0.00000 | −1.000000 | 0.00000 | −1.000008 | 0.00000 |
| 1.0 | 0.5 | −1.22476 | −0.612373 | −1.224745 | −0.612372 | −1.22478 | −0.612374 |
| 1.0 | 1.0 | −1.414422 | −0.414212 | −1.414214 | −0.414214 | −1.414424 | −0.414215 |
| 3.0 | 0.0 | −1.624357 | 0.00000 | −1.624356 | 0.00000 | −1.624355 | 0.000000 |
| 3.0 | 0.5 | −1.989423 | −0.994711 | −1.989422 | −0.994711 | −1.989425 | −0.994713 |
| 3.0 | 1.0 | −2.297188 | −2.297188 | −2.297186 | −2.297186 | −2.2297186 | −2.297186 |
| PCM | Bvp4c | Absolute Error | |
|---|---|---|---|
| 1.0 | 1.00000 | 1.00000 | 4.06320 × 10−12 |
| 1.2 | 1.17783 | 1.17783 | 3.387721 × 10−8 |
| 1.4 | 0.97745 | 0.97745 | 3.845461 × 10−8 |
| 1.6 | 0.89718 | 0.89718 | 3.813381 × 10−8 |
| 1.8 | 0.53399 | 0.53399 | 2.287861 × 10−8 |
| Simple Nanofluid | Hybrid Nanofluid | Simple Nanofluid | Hybrid Nanofluid | |||||
|---|---|---|---|---|---|---|---|---|
| 0.2 | 0.01 | 0.5 | 0.3 | 0.5 | 0.49483 | 0.52983 | 0.36206 | 0.38382 |
| 0.3 | 0.53822 | 0.57076 | 0.37207 | 0.39411 | ||||
| 0.4 | 0.57638 | 0.60763 | 0.38158 | 0.40399 | ||||
| 0.02 | 0.50490 | 0.54041 | 0.36844 | 0.39046 | ||||
| 0.03 | 0.51514 | 0.55117 | 0.37500 | 0.39730 | ||||
| 0.05 | 0.52557 | 0.56213 | 0.38174 | 0.40433 | ||||
| 0.1 | 0.74357 | 0.78367 | 0.55614 | 0.57702 | ||||
| 1.5 | 0.20619 | 0.23658 | 0.15713 | 0.19916 | ||||
| 3.0 | 0.10475 | 0.13572 | 0.09362 | 0.11968 | ||||
| 0.1 | 0.38125 | 0.40335 | 0.27602 | 0.30811 | ||||
| 0.5 | 0.47342 | 0.50139 | 0.33129 | 0.36567 | ||||
| 0.7 | 0.50241 | 0.53495 | 0.35156 | 0.38125 | ||||
| 0.1 | 0.70123 | 0.73127 | 0.33245 | 0.36431 | ||||
| 0.3 | 0.63523 | 0.65125 | 0.31722 | 0.35543 | ||||
| 0.5 | 0.51345 | 0.52917 | 0.30125 | 0.33175 | ||||
| Simple Nanofluid | Hybrid Nanofluid | |||||
|---|---|---|---|---|---|---|
| 0.02 | 0.1 | 0.1 | 0.1 | 0.1 | 1.09860 | 1.23250 |
| 0.03 | 1.14231 | 1.28112 | ||||
| 0.04 | 1.18801 | 1.33190 | ||||
| 0.3 | 1.10492 | 1.24482 | ||||
| 0.4 | 1.10433 | 1.24425 | ||||
| 0.5 | 1.10375 | 1.24374 | ||||
| 0.2 | 1.18454 | 1.33462 | ||||
| 0.3 | 1.18403 | 1.33401 | ||||
| 0.4 | 1.18362 | 1.33365 | ||||
| 0.2 | 1.16521 | 1.28521 | ||||
| 0.3 | 1.18963 | 1.30961 | ||||
| 0.4 | 1.20362 | 1.32361 | ||||
| 1.0 | 1.15358 | 1.33358 | ||||
| 1.5 | 1.10680 | 1.26680 | ||||
| 2.0 | 1.05045 | 1.20002 | ||||
Publisher’s Note: MDPI stays neutral with regard to jurisdictional claims in published maps and institutional affiliations. |
© 2021 by the authors. Licensee MDPI, Basel, Switzerland. This article is an open access article distributed under the terms and conditions of the Creative Commons Attribution (CC BY) license (https://creativecommons.org/licenses/by/4.0/).
Share and Cite
Hou, E.; Wang, F.; Khan, M.N.; Ahmad, S.; Rehman, A.; Almaliki, A.H.; Sherif, E.-S.M.; Galal, A.M.; Alqurashi, M.S. Flow Analysis of Hybridized Nanomaterial Liquid Flow in the Existence of Multiple Slips and Hall Current Effect over a Slendering Stretching Surface. Crystals 2021, 11, 1546. https://doi.org/10.3390/cryst11121546
Hou E, Wang F, Khan MN, Ahmad S, Rehman A, Almaliki AH, Sherif E-SM, Galal AM, Alqurashi MS. Flow Analysis of Hybridized Nanomaterial Liquid Flow in the Existence of Multiple Slips and Hall Current Effect over a Slendering Stretching Surface. Crystals. 2021; 11(12):1546. https://doi.org/10.3390/cryst11121546
Chicago/Turabian StyleHou, Enran, Fuzhang Wang, Muhammad Naveed Khan, Shafiq Ahmad, Aysha Rehman, Abdulrazak H. Almaliki, El-Sayed M. Sherif, Ahmed M. Galal, and Maram S. Alqurashi. 2021. "Flow Analysis of Hybridized Nanomaterial Liquid Flow in the Existence of Multiple Slips and Hall Current Effect over a Slendering Stretching Surface" Crystals 11, no. 12: 1546. https://doi.org/10.3390/cryst11121546
APA StyleHou, E., Wang, F., Khan, M. N., Ahmad, S., Rehman, A., Almaliki, A. H., Sherif, E.-S. M., Galal, A. M., & Alqurashi, M. S. (2021). Flow Analysis of Hybridized Nanomaterial Liquid Flow in the Existence of Multiple Slips and Hall Current Effect over a Slendering Stretching Surface. Crystals, 11(12), 1546. https://doi.org/10.3390/cryst11121546

